导读:有些钢材知识会因为太过于专业,显得枯燥难理解,我们用一些生活中的常见事物去帮助理解,说不定会更生动一些,比如我们之前解读过的《“蒸花卷”和“下面条”——舌尖上的退火工艺》,本期我们以面食制作来解读一个比较枯燥的钢材性能——Z向性。
在厚板贸易的中,经常会遇到Z15\Z25\Z35这样的性能要求,有的直接在牌号上就已经标明,比如GB/T 19879-2005《建筑结构用钢板》里的Q345GJC-Z25:

带有这种后缀的钢一般称为Z向钢,又称“抗层状撕裂钢?(lamellar?tearing?resistant?steel)”。Z向性能(厚度方向性能),这个性能好坏对钢材使用有什么影响?所谓的断面收缩率是什么意思?可能会有很多疑问出现在我们脑海中。
1、Z向性能好坏对钢材使用有什么影响?
随着高层建筑钢结构、海上采油在这类建(构)筑物中因结构承载力的需要,常常采用厚板焊接结构,厚板结构在制造焊接中,由于钢材质量和焊接构造等原因,厚板容易出现层状撕裂,这对沿厚度方向受拉的接头来说是很不利的。所以提出了抗层状撕裂钢的概念。
为什么厚板易出现层状撕裂呢?这是因为我们现有的钢铁制造技术中,炼钢、连铸机、轧机大小及技术都是有一定极限。
(从专业到通俗,实在太难,太费时间,如果钢铁技术基础好的绕过以下橙色字段)
打个比方,我们要做饺子皮我们从面粉、和面、揉面、擀面都可以在家中轻易实现。

但是如果我们要做一个10厘米厚,1米直径的饺子皮就很难家中实现。因为家里够大的盆将面和均匀,双手不能将面揉的够劲道,擀面杖也擀不了那么厚,如果强行做一个,会发现有的地方还是一块面粉,而细微之处也会有干面粉,这块饺子皮就出现了分层、夹杂、气泡等情况。而分层的饺子皮包出的饺子,最终是要露馅的。

我们的钢板也是这样的,只有足够大的炼钢炉去炼足够多的、成分均匀的钢水,同时也要有足够大的连铸机或铸造设备去铸造一个够大够厚的坯,然后还要一个够大的轧机去压缩厚度,否则容易有分层、夹杂、气泡等缺陷严重。
当然,从专业上这么解释是不严谨的,这只是方便非专业人士理解,才做这样的解答。
而Z向性能不好到底对钢材有什么影响呢,为了方便理解,我们还是以面做比喻,不过这回是面饼。抗层状撕裂不好的钢就像千层饼,手轻轻一撕就可以撕下一层。

而我们钢可不希望轻轻容易就撕下一层,我们希望他犹如新疆的囊一样,够硬,够有嚼劲,不像千层饼一样拿着都能掉渣,否则就是豆腐渣工程。

(为了解释这一段,小编晚上9点还没吃饭,却还要说各种饼,看各种美味的图片,饿!!!)
2、Z向性能具体要求
从知钢的查询看,Z25就是指厚度方向的性能,断面收缩率的特殊要求。比如GB/T 19879-2015《建筑结构用钢板》里的要求:

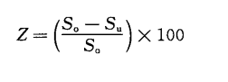
断面收缩率Z等于原始横截面积S0减掉断后最小横截面积SU,再除以S0,乘与100得到的百分数。这个值越大,说明这块钢越好。

这里可能你不理解为何这个值为什么越大,钢越好,还是以面食为例子。我们自己在家和面做个面条,因为缺少压面工具和一定的技术,顶多拉个粗面。

而兰州拉面店里因为有压面的设备以及好的技术,面拉的很细。

当然,做兰州拉面不是仅对拉的技术有要求,对面也有要求,对发面及添加剂也有要求。
而我们的Z向钢也对钢化学成分又要求,Z向钢要求硫含量比非Z向钢要求要严格,要求低硫含量,以减少钢种的夹杂物等缺陷。具体要求见下表:

而且在实际生产中,对钢水纯净度也要求很高(就像兰州拉面需要高筋面粉),同时需要添加各种合金(Mn、AL、Nb、V、Ti等)以提高强度、细化晶粒、降低硫化物夹杂等,提高钢材Z向性能(就像兰州拉面实际需要添加一些可食用的添加剂)。

合金的添加量,标准中只给了各种元素的上限(详见标准表1),至于各个钢厂要添加几种合金,各添加多少,就要看各个钢厂的技术了,不过也不是无限制的往上限靠,它总含量还是受焊接裂文敏感系数Pcm和碳当量CEV的上限限制的(见下图的表3)。这就像兰州拉面一样,添加剂不能无限制的放,放多了对人身体有害,而且也不一定能拉的细。

本期以面食来解读Z向性能的重要性及具体要求,下期我们将介绍一下Z向性能的取样、制样及实验方法。Z向性能也是拉伸试验,但这个可不想普通板材做拉伸那么常见,具体哪里不常见,我们下期在见。
免责声明:本网站所转载的文字、图片与视频资料版权归原创作者所有,如果涉及侵权,请第一时间联系本网删除。
相关文章
无相关信息
官方微信
《中国腐蚀与防护网电子期刊》征订启事
- 投稿联系:编辑部
- 电话:010-62313558-806
- 邮箱:fsfhzy666@163.com
- 中国腐蚀与防护网官方QQ群:140808414
点击排行
PPT新闻
“海洋金属”——钛合金在舰船的
点击数:5768
腐蚀与“海上丝绸之路”
点击数:4763



