在化工领域,大家有时会想要关注反应容器内部的微粒及纳米颗粒分布情况。这些颗粒往往产生于被动混合器,例如有限冲击射流反应器(Confined impinging jet reactor,以下简称CIJR)、多入口涡流反应器中的沉淀过程。沉淀过程中,控制微粒的粒径分布,形状,形态及构成比较关键。利用CFD,可以对此类反应器进行设计、优化。因反应器尺寸小,工况复杂,转捩的存在,容器内部的流场及混合动力学十分复杂。且反应器中的湍流往往与化学反应,微粒的形成及其相互作用密切联系,因此CFD的首要任务就是获得相关流场流动特性。
研究此类反应器内部流场,常见的方法有RANS (雷诺时间平均法) 。RANS模型计算量需求较小,但忽略了流场中的非定常特性,而非定常特性在流场中存在化学反应时尤其重要。因而人们还会用DNS (直接数值模拟) 和 LES (大涡数值模拟)来捕捉流场的非定常特性。DNS需直接求解Navier-Stokers方程,在高雷诺数时所需计算资源异常庞大。 LES则利用亚格子模型 (SGS model),只求解包含绝大部分湍动能的大尺度涡结构。
这里采用LES方法模拟CIJR的内部流动,仿真的平台是商业软件TransAT。
TransAT的网格生成技术比较特殊,采用了浸入式边界法 (Immersed Surface Technique , IST),即CFD网格会与物体表面相交,这样生成的网格质量更高。
1物理模型
流体方程
为了模拟CIJR内部的单相流动,需要求解不可压的NS方程。
对于LES, 流场变量以滤波形式存在。例如速度:

其中G为滤波函数。最常见的是所谓的“盒子滤波”,直接利用有限体积法下的空间算子。
上述过滤速度代入动量方程后,会出现残余应力张量:
![]()
此项需要利用SGS模型与流场的宏观量来建模。最简单的模型即“constant Smagorinsky” 模型,残余应力张量被建模为:
![]()
其中是滤波器的带宽,是滤波应变率, 是它的范数,为Smagorinsky常数。其他的SGS模型还有Germano的 dynamic SGS model,可以动态预测不同流动阶段,从转捩到湍流充分发展。
2数值方法
TransAT利用有限体积法求解控制方程,而固体表面则采用浸入式边界法处理。
对于壁面无滑移条件,TransAT定义了一个level set函数 (),它是一个带正负号的距离函数,正号表示在固体内部,负号表示在流体内部,零则刚好在两者交界处。
固体和流体域的方程通过光滑Heaviside 函数结合在一起:

Heaviside函数在1 (液相) 和0 (固相)之间变化,并在液固有限界面厚度为处取一个中间值。最终的密度和速度可以定义为:

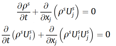
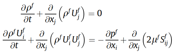
上标f表示流体的量,上标s表示固体的量。
对于固相,控制方程为:

对于静止物面的情况,固相速度被设为0, 则标准的Navier-Stokes方程用来描述液相:

方程右端最后一项表示交界面处的粘性剪切力。壁面剪切可以建模为:

表示固液交界面的法向,即代表交界面位置的Dirac函数。
因为壁面是处于方形网格内部,生成网格的工作量将大大减小。另外由于网格没有偏斜,偏斜导致的数值耗散也不存在。这两个特点使得IST方法在模拟复杂几何体的瞬态湍流流动时十分有优势。
速度-压力耦合方程的求解这里用的是SIMPLEC算法。时间离散采用的是三阶Runge-Kutta格式。对流项通过HLPA格式和QUICK格式离散。
SGS模型采用了Cs=0.08的Smagorinsky模型,并限制了近壁面处的扩散;另外为了比较不同模型对计算结果的影响,仿真还采用了Germano的“ dynamic SGSmodel” 模型,在壁面区域,采用了Werner-Wengle壁面函数和van Driest 衰减函数。
2工况及边界条件
CIJR的模型如下图所示,其包括一个圆柱形的反应室和圆管作为进出口。流体通过两个相对的直径为1mm的圆管,以平均流速uj进入反应器,而后从底部直径为2mm的圆形出口流出。反应器圆柱体直径为D=4.8mm. 反应器总容积约为V=1.73×10-7m3, 小容积意味着流体的平均驻留时间很短。

图1 CIJR模型
射流的雷诺数为:
流体的物理特性以实验为参考,这里选取了尿素的水溶液,密度ρf=1.141g/cm3,粘度 (选择该流体是因为其折射率与反应容器壁的折射率更为匹配)。此处研究了5个不同流率下对应不同流速uj,驻留时间和雷诺数Rej见下表。

雷诺数表明入口管内流体为层流,因此这里设置抛物型入口速度分布。实验数据只有前四个流率。额外加的流率150mL/min是为了研究高雷诺数下数值格式和SGS模型的表现。
计算域网格见下图。

进口边界的速度被叠加了谐波瞬态分量以模拟真实入口速度的波动。两个入口边界的速度波动被设置为相位相反,以突出瞬态反对称流动的效应。速度波动与入口的抛物型速度分布成正比,为定常速度值的10%,数据来自于试验测量得到的标准偏差。
CFD模拟用到了4核 CPU,2-2.5 天的CPU 时间,模拟了6个驻留时间内的流场。
3模拟结果与讨论
瞬时流动图3与图4展示了FR=90mL/min 时不同进口条件下反应器内部瞬时速度场分布。


左图的模拟对应恒定进口流率等于标定流率,可以看到容器内部速度出现了大尺度的脉动;右图的模拟对应更符合实际情况的震荡进口流率,可以看到反对称的速度进口条件带出了更多尺度的速度脉动,这些脉动在恒定进口流率的情况下即使加密网格也不能观测的到。
这些不同尺度的流动结构在图5的涡旋大小的分布图中更容易看出。涡量可以很好的反映出流动的结构、生成与耗散的尺度和它们与当地剪切流的相互作用。
详情请点击链接查看:TransAT | 射流反应器中湍流的LES预测验证
免责声明:本网站所转载的文字、图片与视频资料版权归原创作者所有,如果涉及侵权,请第一时间联系本网删除。
官方微信
《中国腐蚀与防护网电子期刊》征订启事
- 投稿联系:编辑部
- 电话:010-62313558-806
- 邮箱:fsfhzy666@163.com
- 中国腐蚀与防护网官方QQ群:140808414



