0 前沿
随着科技的发展,在国民经济的各领域中,诸如船舶、工程机械、核电设备、飞机等高端机械装备得到了越来越广泛的应用。与此同时,大量的高端机械装备在达到报废标准后将被淘汰,新增的退役装备还在大量增加。因此,实施高端机械装备再制造,不仅能为国家节省大量资源,而且具有显着的经济效益。再制造工程作为一项战略性新兴产业,是针对废旧产品进行产业化的高技术修复、改造,具有显着的节约资源及保护环境效果。
如今再制造作为一项新兴产业,其全球总产值已达到上千亿美元,在欧美等发达国家中,汽车、工程机械等高端机械装备的再制造产值,更是达到了500 亿美元左右。在重大国防装备的再制造中,美军始终走在前列,并成立了相应的政府管理部门,专款专用于国防工业的再制造技术的研究。而作为东亚邻国的日本,更是在工程机械的再制造中,获得了丰厚的利润,其再制造产品,绝大部分供国内使用,另有三分之一左右出口国外,其余部分则作为配件进行出售。欧洲更是将汽车废旧零部件的回收再制造作为一项法规强制执行,据不完全统计,大众汽车集团所生产的汽车中,有90%以上零部件都是经过再制造而重新利用的。因而再制造不仅作为保护环境的一项技术手段,更是作为一项高新技术产业推动了全球经济的发展,未来随着技术水平的进一步提高,其必将拥有更广阔的应用前景。
由于再制造毛坯的损伤失效形式复杂多样,残余应力、内部裂纹的存在导致再制造毛坯的寿命预测比新产品的寿命预测更加困难。目前,在实际再制造生产中,或者沿用传统的寿命预测方法,或者取消寿命预测环节,给再制造产品的服役安全带来极大的隐患。回收的旧机械零件经过一个服役周期后,每个零件的损伤程度存在很大差异,而传统的寿命预测方法无法体现这种损伤的复杂性和不确定性。因此,建立基于实际损伤度的再制造毛坯的寿命预测模型是非常必要的。然而,缺乏有效定量评价微小损伤的无损检测技术和方法,成为再制造毛坯剩余寿命评估,评判其能否再制造的关键难题。研究高灵敏度、自动化以及易于量化表征的无损检测技术及方法,是机械装备再制造无损检测领域迫切需要解决的课题。
近年来,随着我国对国防领域投入的逐年增多,国防实力的增强,不可避免地将要面临废旧军用飞机、坦克、装甲车等武器装备维修和再制造的问题,而这些武器装备服役条件极其复杂,对其进行损伤检测具有较高的难度,一旦出现漏检、误检等失误,将会造成巨大损失,因此,这也对无损检测技术提出了更高的要求,检测结果的可靠性,检测的高效性,以及损伤的可预见性都是当前急需解决的重大基础性课题。
因此,本文主要针对高端机械装备再制造无损检测的研究进行综述,介绍能够进行表面、表面/近表面、表面/内部、内部损伤检测的无损检测方法,并将其进行比较分析,同时对当前一些并未大范围应用的检测技术进行了简要的探讨。分析并总结了机械装备再制造无损检测的研究热点、存在的问题以及发展趋势。
1 高端机械装备再制造无损检测特点
高端机械装备是指传统制造业的高端部分,也包括新兴产业的高端部分。通常为国民经济的重要行业,如船舶行业、工程机械、核电航空航天等,其具体表现为技术上高端,为知识、技术密集,体现多学科和多领域高、精、尖技术的交叉与集成;价值链高端,具有高附加值特征;产业链的核心部位,发展水平决定产业链的整体竞争力。
由于高端机械装备的服役条件极其复杂,其损伤类型大致可分为工艺缺陷、疲劳损伤和应力损伤等类型,其再制造无损检测也有其特殊性,主要包括:① 结构复杂,很多情况下检测的可达性差,比如离心式压缩机叶片、飞机发动机压气机盘和涡轮盘等部位,给检测工作带来很大困难;② 材料范围广,包括铝合金、钛合金、高强度钢、复合材料等,检测复杂,如复合材料的缺陷一般为分层、基体开裂和纤维断裂,因声波各向异性且声波衰减系数很大,给常规超声检测带来了很大困难。钛合金是非磁性材料,属于粗晶结构,采用超声和涡流检测都面临挑战;③ 微小损伤的检测,很多高端机械装备寿命很长,其构件的疲劳特性属于高周疲劳甚至超高周疲劳,这类构件的裂纹扩展寿命占总寿命的比例很小,因此,即使构件中存在微小裂纹,仍然可能使得构件不能完成一个服役周期,给再制造产品服役安全带来极大隐患,因此,检测出微小裂纹对于高端机械装备再制造是非常必要的;④ 损伤定量检测。要确定构件能否再制造,需要量化评价构件的损伤程度,确保服役安全。
2 再制造无损检测技术概况
目前,国内外普遍采用超声检测、射线检测、涡流检测、磁粉检测、渗透检测等五大常规检测技术对再制造毛坯进行无损检测。随着无损检测技术的发展,涌现出了许多新型检测技术如金属磁记忆、声发射技术、红外检测、激光超声检测等。按照检测深度的不同,可将无损检测方法分为表面、表面/近表面、表面/内部、内部四种类型。当然,以上分类不是绝对的,如常规超声探伤仪可以检测材料表面缺陷,也可以检测材料内部缺陷。但由于超声检测存在近场盲区,检测表面缺陷效果不如其他检测方法,因此,把超声检测归类为适于检测内部缺陷。
现阶段无损检测已进入无损评价的发展阶段中,在这个阶段中,不仅要对缺陷的定性、定量、定位的三定问题进行检测,同时还要进一步根据所检测出的缺陷来评价其对被检件性能的影响,来实现对评价对象寿命评估的目的。未来随着技术水平的逐渐提高,再制造无损检测将主要有装备的早期诊断、原位检测、网络化检测三大发展方向。
2.1 表面检测方法
表面检测是指能够对材料表面损伤的情况进行检测的方法。目前的常规检测方法几乎都能检测材料表面缺陷,而渗透检测是唯一只适用于表面缺陷检测的常规方法。渗透检测是利用渗透液将试件内的缺陷进行放大显示,从而实现用肉眼观察试件表面开口缺陷的无损检测方法。渗透检测可按渗透剂、显像剂和去除剂等的不同进行分类。渗透剂有荧光渗透剂和着色渗透剂两种;显像剂有干式显像、湿式显像、快干式显像和无显像剂式;而去除剂则包括用水去除、溶剂去除和后乳化三种[5]。当前渗透检测主要应用于非铁金属和钢铁材料的铸件、锻件等再制造毛坯的表面缺陷检测。渗透检测的优势是,检测设备及工艺简单、对人员的要求不高、缺陷显示直观、检测灵敏度较高。渗透检测的局限是,只能检测表面开口缺陷、对多孔性材料检测困难、检测结果受检测人员的影响较大。为适应绿色再制造的要求,研究高灵敏度、环保和低价的渗透剂、显像剂和去除剂,并提高检测自动化和智能化是渗透检测技术未来的研究方向。
在船用柴油机的安全监测和检测中渗透法得到了广泛的应用,如检查螺栓的各圆角、螺纹之间以及螺纹与螺杆之间的过渡区有无裂纹,轴瓦以及各种中间轴和尾轴的轴瓦的表面状况,通过对柴油机的服役状况进行检测不仅延长了轴承使用寿命,确保了柴油机运行的安全性和可靠性,同时也提高了船舶营运的经济效益。
2.2 表面/近表面检测
表面/近表面检测是指能够对材料表面/近表面损伤的情况进行检测的方法,常规无损检测方法中当前多采用磁粉检测、涡流检测、红外检测等方法实现表面/近表面损伤的检测。
2.2.1 磁粉检测
磁粉检测是指利用磁粉在缺陷漏磁场处的聚集效应,将材料的缺陷实现放大且对比度提高,以磁痕的形式显示材料中缺陷的无损检测方法。当前多数中小型再制造企业多采用磁粉检测的方法来对试件表面及近表面的缺陷进行检测,常使用如CJW-9000 型交流固定式磁粉探伤机等设备。由于磁粉检测结果直观,工艺简单,且灵敏度较高,在工业企业中得到了广泛应用。磁粉检测虽应用较广泛,但仍处在不断进步和发展之中,当前主要有以下几个热门研究方向,包括对环保价廉的高性能磁痕显示介质的研究;轻便智能磁粉探伤仪的研究;利用CCD 设备对磁痕的智能化评定和检测灵敏度的理论模型的建立。当前磁粉探伤仪由于其检测结果的直观和准确,已在工业领域获得了较大范围的应用,甚至在军用飞机结构件的损伤检测中也得到了很好的效果。
2.2.2 涡流检测
涡流检测是利用电磁感应原理,通过测定被检导电工件在交变磁场激励作用下所感生的涡流特征,来无损地检测该试件中有无缺陷或评定其技术状态的无损检测方法。但常规的涡流检测方法对缺陷的定性、定位、定量都比较困难。随着计算机信号处理与分析技术的发展,其在涡流检测领域得到了广泛的应用,其中小波包分析和小波变换的方法主要用于采集到的信号的降噪处理,人工神经网络和最小二乘法多用于多层试件的厚度测量,主元分析法则广泛用于裂纹的类型识别与分类中。基于各种算法的脉冲涡流信号的分析与处理技术的引入,大大促进了涡流检测技术在降噪、测厚和裂纹模式识别等方向的发展。随着对涡流检测技术研究的深入,出现了远场涡流、脉冲涡流、多频涡流等新技术。国防科技大学杨宾峰等利用脉冲涡流检测技术实现了对飞机多层结构的第二层中的腐蚀缺陷的定量检测,由于脉冲涡流检测技术具有定量化和高效的优点,因此其在飞机结构的腐蚀检测中必定有较广阔的应用前景。
2.2.3 红外检测
红外无损检测利用红外热像设备,通过测量被检对象表面的红外辐射能,并将其转换为可用于试验分析的电信号,将其温度场以彩色图或灰度图的方式显示出来,根据其温度场的分布情况,来推算被检试件是否存在缺陷。红外无损检测对材料表面的缺陷比较敏感,但是受其原理影响对内部缺陷的检测有一定的困难,同时由于红外无损检测当前并未获得较大范围的应用,仪器设备的成本较高,并且这种检测手段需要被检试件具备较高的发射率和较低的导热性,因此有一定的局限性。近年来根据红外检测主动激励方式的不同,学者们提出许多新方法,包括振动热像法、调制热像法和红外热波法等。其中红外热波检测技术在再制造无损检测领域的应用前景被看好。ZWESCHPER 等用同步热成像法对CFRP 航天器构件进行了无损检测。表1 为几种主要用于表面及近表面无损检测方法的比较。

2.3 表面/内部
表面/内部检测是指既能够实现对试件表面损伤的检测,同时也可以检测内部缺陷的无损检测方法。

2.3.1 声发射检测
材料局部能量的快速释放就会产生声发射信号,声发射信号中包含着有关声发射源特性的重要信息。通常释放能量的区域为应力集中区域,通过仪器检测、记录并分析该信号,可以推算出声发射源的位置,进而寻找到应力集中区域,实现缺陷检测的目的。
当前对于声发射技术的研究主要集中在声发射源的识别与评价、检测传感器以及检测系统仪器的研制。目前的理论研究热点是声发射源的建模以及声发射现象的物理机制的深入探索。声发射检测由于其检测原理的特殊性,非常适合大型复杂再制造产品的实时在线无损监测;并且由于其为非接触式检测,可在极其复杂和极端的环境下进行检测;通过研究高效率、高精度、高稳定性的传感器,声发射将在再制造无损检测领域承担越来越重要的角色。FINLAYSON 等将声发射技术应用于航天器的无损检测和质量监控之中,收到了很好的效果,结果表明使用声发射技术能够检测出航天器结构中的裂纹和脱层缺陷等。
2.3.2 射线检测
射线检测是根据射线穿过物质时会因衰减而造成强度降低,其衰减程度取决于被检构件的材料、射线类型和穿透距离。当把强度均匀的射线照射到构件的一个侧面时,由于各部位对入射射线的衰减不同,透射射线的强度分布就会不均匀。这样,使用照相、荧光屏等观察手段,通过在检测构件另一侧的射线强度,便可推算出构件内部的缺陷的种类、大小及其分布情况。通常用于射线检测的射线类型主要有X 射线、γ 射线和中子射线三种类型。近年来随着信息传感技术、信号处理技术以及人工智能等学科的发展,新的射线检测技术层出不穷,如高能X 射线、射线实时成像以及工业射线CT 等,其中以工业射线CT 应用最为广泛。COOPER 等应用X射线照相检测法对飞机结构件中的腐蚀损伤进行了成功的定位检测,目前射线检测已成功地应用于航空航天、核工业、石油矿山、机械工程等领域,并在不断探索其他新的应用领域。
2.4 内部检测
内部检测是指既能够实现对试件表面损伤的检测,同时也可以检测内部缺陷的无损检测方法。超声检测的原理是使用发射探头将超声波发出,再利用接收探头对从缺陷处反射回来的超声波进行接收,通过与标准试块进行比较和分析,便可知道试件内部的损伤情况。超声检测具有成本低、操作方便的特点。但是常规的超声检测技术需要用到耦合剂或采用水浸法,在某些场合使用不方便。
同时由于超声检测存在近场盲区,从而仅能对试件内部的缺陷进行检测,而对盲区以内的缺陷则不能实现有效的检测。随着对超声检测研究的深入,针对常规超声因使用耦合剂带来的不便,研究工作者提出采用了空气耦合式超声和电磁超声等新方法,起到较好的效果。还有学者针对微小裂纹的检测提出了非线性超声的方法,这些新方法均大大拓宽了超声检测的应用范围。超声检测的优势是,检测成本低、设备轻便、操作安全、适用对象广、对平面型缺陷比较敏感、缺陷定位比较准确。常规超声检测的局限为,存在检测盲区、检测效率较低、缺陷定位还有待深入、缺陷定量也不够直观、一般需要耦合剂。中国船级社使用超声相控阵和TOFD 技术实现了对船舶结构和高应力区产生的疲劳裂纹的检测,有效地解决了大型船只的使用安全问题。
3 目前无损检测研究热点
虽然当前无损检测技术的种类已近上千种,但是随着工程实践要求的逐渐提高,对检测的水平提出了更高的要求,国内外众多学者提出了一些常规检测技术的新的研究方法和方向,以应对日益提高的检测要求。
3.1 非线性超声
传统超声检测观察时域信号,受波长等因素所限,对于微缺陷、微裂纹以及如粘接、分层等界面缺陷不敏感,同时对于金属疲劳等力学性能退化尚缺乏有效评价手段。然而随着高端机械装备的发展与广泛应用,对材料内部微裂纹的检测提出了越来越高的要求。非线性超声是根据超声波与裂纹、界面和接触面的应力应变非线性关系,从而反映出材料内部缺陷的特征,对微裂纹有较好的检出效果,对于克服传统超声的不足具有积极的意义,是传统线性超声检测手段的有效补充。下面简单介绍一下非线性超声检测裂纹的原理。
当超声波作用力小于外部静态加载压力时,将诱发裂纹区域部分闭合,这种变化将会对超声波产生一定的调制作用,产生高次谐波、分频波等现象称为弹性接触机制,为便于裂纹的定量计算,定义二次谐波幅值与一次谐波幅值的比值为二次谐波激发效率,即 A 2/ A 1,进而可得到谐波幅值的计算公式

激发的非线性应力与应变关系式为
![]()

当超声波作用力大于外部静态加载压力时,相互间的作用力将引起裂纹界面的不断张开与闭合,也会对超声波产生一定的调制作用,这种现象称为碰撞接触机制。其应力与应变的非线性关系为分段形式

当前非线性超声还处于发展阶段,得到广泛应用的是由MCCALL 等提出的P-M 空间模型,利用这个模型与超声波动方程相结合,可以得到超声相应特征与非线性系数之间的关系,进而获得非线性系数与分布参数间的关系,从而达到对材料进行损伤评价的目的。在非线性超声物理机制研究方面,SUTIN[利用界面开合现象对声调制进行了解析;PECORARI通过分析裂纹界面对超声波的影响,建立了二次谐波与裂纹界面粗糙度间的关系式。总之,现有的模型与理论仅能近似地对非线性超声现象进行解释,要完全实现对材料损伤的定量检测还需要进一步的研究。
3.2 远场涡流
面对常规涡流检测技术检测深度的限制问题,研究工作者提出了远场涡流检测,从而将涡流检测的范围从一定程度上扩大到了材料内部。
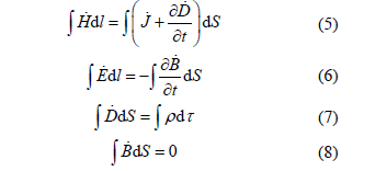
远场涡流的基本理论依据是麦克斯韦方程,其数学形式的积分表达式如下。

通过求解待研究区域麦克斯韦方程组,并确定定解条件,得到被检试件的内部缺陷、几何特性以及物理性质等因素同涡流磁场强度或者检测线圈的电参数变化之间的联系。
由于远场涡流检测的对象是金属导体,根据波动方程,并将其简化后可得如下电磁渗透方程

远场涡流检测的探头是由两个同轴的螺线管线圈组成,如图1 所示。其中一个是检测线圈,检测线圈不像常规涡流检测,检测线圈紧靠激励线圈,而是在远离激励线圈2~3 倍的管内径处,需要测量的不是检测线圈的阻抗而是检测线圈的感应电压的幅值和相位信号。另一个是激励线圈,通有低频正弦交流电。由于检测线圈所接收的磁通信号主要是两次穿越管壁后的信号,幅值很小,通常为几微伏至十几微伏,必须利用高增益的放大器才能检测到这种信号。

远场涡流最早是由美国人MACLEAN 于1951年申请专利时提出的。其后壳牌公司SCHMIDT研究出一套用于井下套管检测的系统,并得到了较好的效果。20 世纪80 年代开始,该项技术得到了许多发达国家的重视,并将计算机数值分析和有限元分析方法引入远场涡流信号的分析处理当中,使远场涡流的理论基础更加扎实。20 世纪90 年代之后远场涡流技术逐渐得到国内研究人员的重视。南京航空航天大学从理论基础和试验设计等方面,都取得了一些成果。清华大学、上海交通大学等高校也相继开展了相关工作,并取得了一定成绩。当前应用该项技术已可穿透厚度为18~25 mm 的飞机常用多层结构的进行损伤检测,并得到了较好的效果。
然而,远场涡流检测技术当前还主要应用于管道内外表面缺陷的检测,其在高端机械装备再制造无损检测中的应用还有待研究。同时其探头太长,难以通过管道弯曲部位;检测信号幅值过小,仅为几微伏至十几微伏,对信号接收过程中噪声的隔离提出了很高的要求。
3.3 激光超声
激光超声与传统的压电超声技术相比具有很多优点,如非接触式检测;抗干扰能力强;可远距离激发和接收,方便实现自动化检测;可对表面形状复杂的对象进行检测;当探测激光束被聚焦成10μm 的小点时,可实现数微米级的空间分辨率,利用超声波衍射方法可检测微小缺陷和裂纹;检测效率很高。然而由于其探测灵敏度低、检测系统复杂、设备昂贵和维护成本高等问题,当前并未得到广泛的应用。
激光超声的原理是将一定能量密度的脉冲激光照射到金属表面上,根据材料的热弹性效应,会有一部分能量被吸收并转化成热能,从而引起局部温度升高,由材料的热膨胀引起压力变化产生表面运动并产生超声波。超声波在材料中传播时,当经过声阻抗变化的区域时会受到某种调制作用,导致声场分布特征发生变化。通过对超声波进行接收并解调,可以获取材料内部的缺陷等信息。图2 为激光超声检测。

激光超声早起理论是基于弹性理论,周正干等将激光在试件上的作用等效为一个表面弹性力源,并建立了相应的点源模型和表面应力位移表达式。SUTIN 等利用积分变换,将公式进行了进一步的推导。但早期研究均为考虑介质的热扩散效应,BALTAZAR 等在这方面进行了尝试,但始终无法准确描述激光超声的理论模型。近年来有限元法的引入,推动了激光超声理论的发展,国内外许多学者利用基于有限元的数值模拟技术,在理论和试验层面都有了较大突破。
由于激光超声的波长仅为几微米,故其理论的检测极限较高, 可实现对微小缺陷的检测,PECORARI 等利用激光超声检测技术实现了缺陷位置的精确计算,当其与扫描探针显微镜一同使用时,甚至可对纳米尺度范围内的材料特性进行相应研究。同时由于其为非接触式检测,可在极端条件下对复杂零件进行检测。任吉林等利用激光超声实现了核反应堆中石墨相关特性的检测。
激光超声具有很多优异特性,但也存在一些亟待解决的问题,比如激光能量到超声能量的转换效率问题以及激光超声信号检测灵敏度问题等。虽然目前存在着一些技术难题,但是如果激光能量转换频率以及检测灵敏度进一步提高,激光超声无损检测技术必将会在高端机械装备再制造领域起到更加关键的作用。
3.4 金属磁记忆检测
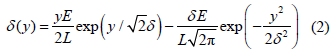
金属磁记忆检测的原理是,铁磁性试件在地球磁场的环境下,受到工作载荷作用时,应力集中处的磁畴组织会发生定向或不可逆的重新取向,从而导致应力或应变集中区域表面的漏磁场Hp 发生改变,出现法向分量Hp(y)“过零”及切向分量Hp(x)具有峰值的现象,如图3 所示。铁磁构件这种磁状态的不可逆变化在工件载荷消除后仍被保留。因此,利用测磁仪器,通过测定构件表面漏磁场法向分量Hp(y)过零点或梯度等,便可以推断出该工件的应力集中部位及预损伤区。金属磁记忆检测技术在铁磁构件早期诊断与寿命预判方面的应用前景,已得到了业界专家学者的普遍认可。

金属磁记忆检测技术较之其他常规无损检测技术而言是一项新技术,其理论基础还有待进一步完善。由于金属磁记忆检测方法属于弱磁信号检测,信号易受其他因素干扰,因此,金属磁记忆检测的重复性与可靠性有待进一步研究。国内各大高校和科研机构,如装甲兵工程学院徐滨士院士团队、南昌航空大学任吉林教授团队、清华大学等对金属磁记忆技术进行了深入的研究,并取得了显着的成果。随着国内外学者对金属磁记忆检测技术的不断深入研究,未来有望在金属磁记忆检测机理、磁记忆检测特征量的提取、损伤定量评价等方面取得突破性进展,使得该项技术在再制造毛坯可再制造性评价方面发挥重要作用。
4 当前再制造无损检测存在的问题与难点
不难看出,当前有关机械装备再制造无损检测的研究得到了国内外学者的广泛关注。许多新兴技术还处于理论探索阶段和试验研究阶段,距离工程应用还有相当一段差距。
当前国内外的众多学者在再制造无损检测技术研究方面,主要聚焦于研究对试件内部缺陷的检测,远场涡流、声发射、激光全息检测技术等都是顺应了这种要求提出的,但材料内部损伤情况极其复杂,同时受外界干扰较大,一些厚大零件损伤的检测更为困难。
微小裂纹的检测困难。材料的宏观缺陷多数都是从微小裂纹发展出来的,如果能够准确地检出微小裂纹,便使得准确判断高端设备能否进行再制造成为可能。但由于当前信息提取与分析水平的制约,对微小裂纹所得到微弱信号很难获取并解析,其受外部扰动的影响也较大,这都从一定程度上制约了对微小裂纹的检测。
损伤(尤其是微小损伤)定量评价一直是困扰再制造无损检测界的难题。损伤的定量化是评估再制造毛坯剩余寿命的基础,是决定其能否再制造的关键。前述非线性超声检测及激光超声检测技术有望解决这一问题,但仍有很长的路要走。一些学者尝试将多种无损检测技术进行相互融合,利用多种技术各自的优势进行互补,并对其检测结果进行信息融合,从而提高检测结果的可靠性。但由于融合技术目前还不够完善,多数的信息融合都仅停留在信息层融合,要想实现真正地信息互通与融合还需要进一步的研究。
5 高端机械装备再制造无损检测发展趋
势未来若干年的再制造无损检测仍然将以磁粉、超声、涡流、渗透、X 射线五大类检测方法占主导地位。但随着再制造产业的不断发展,再制造无损检测技术将向速度更快、灵敏度更高、自动化程度更高的方向发展。
传统的射线检测的缺陷比较明显,需要耗费大量的胶片和药液,工作程序复杂、底片不够清晰容易出现错误缺陷,而且探伤的时间比较长,评定质量比较低。因此,射线无损检测的未来发展趋势是利用数字成像的扫描系统来实施检测,以代替传统的胶片处理。射线实时成像、数字射线成像、工业CT 等新的射线检测技术,以其缺陷定位、定量评价方面的优势,将在机械装备再制造无损检测领域获得更广泛的应用。国外已开始以高分辨率 CT 为工具,以三维重构为手段,结合图像处理、数学分析、计算机模拟仿真等技术,进行材料疲劳微裂纹扩展等研究。
尽管超声波检测有许多的优点,但也有一些局限性。在检测过程中,对于材质的缺陷的精确度还有待加强,对于比较复杂的形状以及外形不规则的检测有一定困难;同时缺陷的具体位置以及形状、性质对检测有很大的影响,材质以及晶粒度也会降低检测的质量。因此,必须研究出更加先进的技术来弥补超声波检测的不足。激光超声无损检测技术,由于是非接触式检测,可对表面形状复杂的对象进行检测。而且,检测分辨率更高,可实现对微小缺陷的检测。超声相控阵技术是一种新的超声检测方法。与传统超声检测相比,由于声束角度可控和可动态聚焦,超声相控阵技术具有可检测复杂结构件和盲区位置缺陷和较高的检测频率等特点,可实现高速、全方位和多角度检测。
6 结论
本文总结了高端机械装备再制造无损检测的特点,对常规无损检测技术进行了分析与比较。介绍了几种无损检测技术研究热点,指出当前机械装备无损检测存在的问题与难点。阐述了高端机械装备再制造无损检测发展趋势。微小损伤的定量检测将成为再制造无损检测领域关注的焦点。高端机械装备再制造无损检测技术将向着图像化、数字化、自动化、高灵敏度方向发展。各种无损检测技术的发展以及新的无损检测技术的不断涌现,必将使其在机械装备再制造工程中发挥越来越重要的作用。
更多关于材料方面、材料腐蚀控制、材料科普等方面的国内外最新动态,我们网站会不断更新。希望大家一直关注中国腐蚀与防护网http://www.ecorr.org
责任编辑:王元
《中国腐蚀与防护网电子期刊》征订启事
投稿联系:编辑部
电话:010-62313558-806
邮箱:fsfhzy666@163.com
中国腐蚀与防护网官方 QQ群:140808414
免责声明:本网站所转载的文字、图片与视频资料版权归原创作者所有,如果涉及侵权,请第一时间联系本网删除。
官方微信
《中国腐蚀与防护网电子期刊》征订启事
- 投稿联系:编辑部
- 电话:010-62313558-806
- 邮箱:fsfhzy666@163.com
- 中国腐蚀与防护网官方QQ群:140808414



