含裂纹材料的抵抗断裂能力,可以用断裂韧性KIC值表征。根据航天工业的损伤容限设计原则,断裂韧性KIC是飞行器材料选择和构件设计的一个重要指标。目前,国内普遍接受的测量金属材料平面应变断裂韧性KIC的方法是GB/T 4161-2007“金属材料平面应变断裂韧度KIC试验方法”。但是,用于测量断裂韧性KIC试样的尺寸必须满足条件
![]()
式中B为样品厚度,σy为屈服强度。
表1给出了几种钢铁材料的屈服强度和断裂韧性KIC值。根据式(1),可计算出准确测量断裂韧性KIC所需的样品尺寸(表1)。对于高断裂韧性KIC的材料,所要求的样品厚度达到了793 mm。而实际情况是,很多构件都不能加工成符合式(1)所要求的试样。如果试样的尺寸满足要求,进行断裂韧性KIC试验所需的载荷为
![]()
式中Fmax为所需载荷,B为样品厚度。将表1中的断裂韧性KIC值和样品的厚度代入式(2),可计算出开展断裂韧性KIC试验所需的载荷(表1)。由表1可以看出,即使试样的尺寸满足要求,常规试验机的吨位也不能满足开展断裂韧性KIC试验的载荷需求。因此,对于高断裂韧性KIC的材料,用GB/T 4161-2007“金属材料平面应变断裂韧度KIC试验方法”准确测量其断裂韧性KIC有两个极大的困难:其一是要求的样品尺寸过大,很多构件无法加工出符合条件的断裂韧性KIC试样;另一个是,即使试样尺寸满足要求,常规试验机的吨位也不能满足开展断裂韧性KIC试验的载荷需求。那么,能否使用小尺寸试样测出材料的断裂韧性KIC值, 鉴于此,本文建立一个材料断裂韧性KIC的小尺寸试样评价方法,选取0Cr13Ni8Mo2Al沉淀硬化不锈钢为对象,加工出不同尺寸的试样,分别测试其断裂韧性KIC并观察断口的宏观和微观形貌。

1 实验方法
实验用材料0Cr13Ni8Mo2Al沉淀硬化不锈钢的屈服强度(σy)为1560 MPa,抗拉强度(σb)为1584 MPa。使用三点弯曲试样测量0Cr13Ni8Mo2Al沉淀硬化不锈钢的断裂韧性KIC,试样尺寸列于表2。

根据GB/T 4161-2007“金属材料平面应变断裂韧度KIC试验方法”测量断裂韧性KIC。先在Instron 8801疲劳试验机上进行疲劳裂纹的预制,载荷比R(Fmin/Fmax)为0.1,预制的裂纹长度约为0.5 W。然后在Instron 5982电子万能材料试验机上将样品压断,压缩速率为0.5 mm/min。使用光学读数显微镜测量预制的裂纹长度。分别用Keyence VHX-1000E体视显微镜和Leo Supra35扫描电子显微镜观察断口的宏观和微观形貌。
2 结果和讨论
2.1 断裂韧性
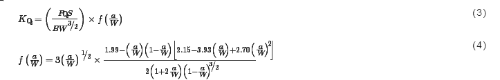
图1给出了不同尺寸断裂韧性试样的力-位移曲线。图1给出的不同尺寸断裂韧性试样的FQ值,如表3所示。表3还给出了预制裂纹的长度(a)。将表2中的试样尺寸与表3中的FQ与a值代入式(3)和(4),可计算出断裂韧性条件值KQ。

式中S为跨距,B为样品厚度,W为样品宽度,具体数值列于表2。由式(3)和(4)计算出的断裂韧性条件值KQ,列于表3。最后,根据判据
![]()
就可以判定断裂韧性条件值KQ是否为有效的断裂韧性KIC值,结果如表3所示。式中B为样品厚度,a为预制的裂纹长度,W为样品宽度,σy为屈服强度。由表3可以看出,样品的厚度为25 mm时,断裂韧性条件值KQ为有效的断裂韧性KIC值;也就是说,0Cr13Ni8Mo2Al沉淀硬化不锈钢的断裂韧性KIC值为118 MPa.m1/2。

2.2 断口的形貌
图2给出了不同尺寸断裂韧性试样的宏观断口形貌。从图2可以看出,断口表面可分为预制裂纹区和拉断区,拉断区又可分为正断区和剪断区(剪切唇区),而正断与剪断共存与竞争现象也出现在高强钢的冲击断口和拉伸断口中。以上结果说明,高强度金属材料的断裂能包括正断能和剪切能两部分。由图2还可以看出,不同尺寸断裂韧性试样的剪切唇形状基本相同,且对称分布于试样两侧。图3给出了断裂韧性试样的微观断口形貌,可见在拉断区内断口的形貌特征有所不同。在靠近预制裂纹区的区域内可观察到许多光滑的解理小平面,而该区域的宽度da只有几十个微米,如图3所示;而在距离预制裂纹区较远的区域内,断口表面则主要是由韧窝组成(图3)。韧窝的出现,意味着样品将很快断裂。


2.3 小尺寸试样评价方法
Duan等在高强钢的冲击断口上发现,在靠近缺口根部的位置有一个光滑区。他们认为,该区域是试样在冲击载荷的作用下裂纹沿最大切应力方向萌生而形成的初始断裂区。因此,该区域又可称为裂纹萌生区。他们还发现,在冲击过程中外界输入的能量大部分消耗在裂纹萌生阶段。在此基础上,他们测量不同尺寸冲击试样的冲击功和断裂面总面积,就可以得到材料的本征冲击韧性。本文试样的拉断区又可分为裂纹慢速扩展区(解理区)和快速扩展区(韧窝区),如图3所示。参考Duan等的观点,本文的断裂能主要消耗在裂纹慢速扩展区。根据断口的宏观与微观形貌(图2和3),裂纹慢速扩展区断裂面示意图可如图4所示。裂纹慢速扩展区也包括了正断区和剪切唇区。如前所述,断裂能(UT)包括正断能(UC)和剪切能(US),即

式(7)中KI为应力强度因子,E/在平面应力状态下等于E,而在平面应变状态下等于E/(1-ν2),E为杨氏模量,ν为泊松比;式(8~10)中KQ为断裂韧性条件值,该值与试样尺寸相关,AT为裂纹慢速扩展区的面积,KIC为材料的本征断裂韧性值,AC为裂纹慢速扩展区内的正断区面积,KS为材料的本征剪切韧性值,AS为裂纹慢速扩展区内的剪切唇区面积。而AT、AC和AS可分别表示为

式中B为样品厚度,S为剪切唇区的宽度,da为裂纹慢速扩展的距离,如图4所示。图2表明,不同尺寸断裂韧性试样的剪切唇形状基本相同,因此可以认为图4中的θ角基本相同,而S则可表示为
![]()
式中k为常数。同时,裂纹低速扩展的距离da与裂纹尖端塑性区尺寸(rp)成正比。而当裂纹低速扩展时,裂纹尖端的塑性区尺寸(rp)可表示为
![]()
式中α为常数,KQ为满足裂纹慢速扩展的临界外加应力强度因子,即断裂韧性条件值,σy为屈服强度。对于同一材料,屈服强度不变。因此,裂纹低速扩展的距离da可表示位
![]()
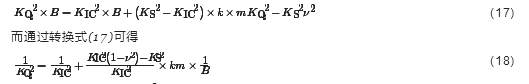
式中m为常数。将式(14)和(16)代入式(11)~(13)可得AT、AC和AS的表达式,再将AT、AC和AS的表达式代入式(8)~(10)可得UT、UC和US的表达式。最后,通过式(6)可得

由式(18)可以看出,1/KQ2与1/B成线性关系。当样品的厚度B非常大时样品的尺寸肯定满足式(1)的尺寸要求,此时1/B接近于0,1/KQ2等于1/KIC2。综上所述,可以用直线来拟合1/KQ2与1/B之间的关系,而该直线与纵坐标的交点即为1/KIC2。


图5给出了不同尺寸0Cr13Ni8Mo2Al沉淀硬化不锈钢断裂韧性试样厚度B与断裂韧性条件值KQ之间的关系图。可以看出,1/KQ2与1/B成良好的线性关系,而它们之间的关系可表示为
![]()
如前所述,拟合直线与纵坐标之间的交点就是1/KIC2,也就是说1/KIC2等于6.05×10-5。由此可得,0Cr13Ni8Mo2Al沉淀硬化不锈钢的断裂韧性KIC值为128.6 MPa?m1/2。同时,断裂韧性的结果表明,使用标准试样测得的断裂韧性KIC值为118 MPa?m1/2。这表明,使用小尺寸试样评价方法得出的断裂韧性KIC值与使用标准试样测试得出的断裂韧性KIC值之间的相对误差为9%,没有超过10%,说明用小尺寸试样评价方法来获得金属材料的断裂韧性还是十分可靠的。
3 结论
(1) 使用本文建立的小尺寸试样评价方法,只需得到不同尺寸试样的断裂韧性条件值KQ,通过直线拟合1/KQ2与1/B(B为试样厚度)之间的关系得到该直线与纵坐标之间的交点,该交点值就是1/KIC2。
(2) 根据小尺寸试样评价方法测出的断裂韧性KIC值与使用标准试样测试得出的断裂韧性KIC值之间的相对误差为9%,没有超过10%;这说明,使用小尺寸试样评价方法测量金属材料的断裂韧性KIC值是十分可靠的。
(3) 根据宏观形貌特征断裂韧性试样的拉断区可分为正断区和剪切唇区,而按照断裂机理又可分为裂纹慢速扩展区(解理区)和快速扩展区(韧窝区)。断裂能主要消耗在裂纹慢速扩展区,断裂能由正断能和剪切能组成。
更多关于材料方面、材料腐蚀控制、材料科普等方面的国内外最新动态,我们网站会不断更新。希望大家一直关注中国腐蚀与防护网http://www.ecorr.org
责任编辑:王元
《中国腐蚀与防护网电子期刊》征订启事
投稿联系:编辑部
电话:010-62313558-806
邮箱:fsfhzy666@163.com
中国腐蚀与防护网官方 QQ群:140808414
免责声明:本网站所转载的文字、图片与视频资料版权归原创作者所有,如果涉及侵权,请第一时间联系本网删除。
官方微信
《中国腐蚀与防护网电子期刊》征订启事
- 投稿联系:编辑部
- 电话:010-62313558-806
- 邮箱:fsfhzy666@163.com
- 中国腐蚀与防护网官方QQ群:140808414



