【引言】
一个令人津津乐道材料研究,往往要同时具备“形”和“神”。这里的“形”指得是好的材料性能,好的性能数据是通向顶级刊物的敲门砖和必要条件。然而好的文章同样还需要具备好的灵魂,也就是前面说的“神”。好的研究的“神”指的就是相关的机理性解释,而具有说服力的和指导意义的机理解释,都是来自于好的模型和理论。近年来,一篇成功的论文上面少不了实验和理论模拟的结合,即使很多本身不做任何计算模拟的课题组,都通过各种各样的渠道寻找资源要给自己的研究成果找来这点睛的一笔。而第一性原理计算,因为对材料性质相对全能的预测能力,以及几乎不依赖任何经验参数的特性,逐渐为越来越多的科研工作者采用辅助和解释实验现象。
然而, 实验与第一性原理计算相结合最大的问题在于其匹配程度。一个失败的文章往往理论部分和实验部分驴唇不对马嘴。有些只是生搬硬套,而另外有些很难说服读者理论模型反映了实验中的真实的情况。这一方面因为第一性原子是基于指定的原子结构和原子对应的电子或电荷数量进行的计算模拟,而实验上无论是原子结构还是电子结构都很难直接用肉眼看到。同时,虽然微观尺度上的原子及电子的行为最终会影响材料性质。可是当我们得到一种材料性能之后,他可能的原子及电子的行为却可能有很多种可能。一个好的理论与实验结合的工作,必须解决的一个重要问题就是如何证明理论模型和实验结果的相关性。
那么有什么方法能够直接证明计算的模型和实验的相关性呢?当然就是直接根据计算模型的参数去模拟出实验表征的图像。如果模拟出来的表征图像和实验相匹配,那么理论模型的合理性也就毋庸置疑。而在第一性原理的计算软件之中,VASP具备相对全面的功能模块以及鲁棒性,以及大量的用户社群资源,从而是材料表征模拟的理想选择1。利用VASP进行第一性原理计算,主要能够模拟以下几种实验表征手段。
1.晶体结构的表征
比如XRD,TEM和STEM等等,这类表征的基本原理便是通过测量X射线或者电子束与晶体结构的相互作用来获得材料晶体内部的原子排布信息。此类的图像模拟主要在于预测原子组成的晶体结构(Crystal Structure),点阵(Lattice)以及占位情况(Occupancy)。最后可能还需要辅助一些成像的衬度模拟就可以重复出对应材料在实验中的成像情况。以XRD成像为例,XRD 的衍射峰的位置与材料某个晶面群(hkl)中的层间距满足Bragg's Law:

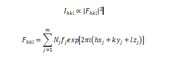
同时XRD衍射的强度与结构因子满足关系:

其中表示原子j的在晶格位置xj, yj, zj上的占位比例。是原子j对X射线的散射因子(scattering factor),与原子所带电子数直接相关。由上式可以发现,如果通过模拟的手段建立了原子模型,可以通过模拟其XRD衍射谱来直接确定这个相是否在实验上观测到了。对于实验中发生的新相,可以通过与各大材料计算以及实验的晶体材料数据库找到所有可能的晶体结构,再利用DFT计算得到最优结构,最后将XRD衍射模拟和实验图谱进行对比。
2.电子结构表征
相对晶体结构表征的直接,电子结构表征在检查材料结构的同时也揭露了材料的基本性质。电子结构往往决定了材料的很多性质,比如导电性,催化活性,磁性,吸附能力等等。两种典型的的电子结构表征手段有比如扫描隧道显微镜(STM),角分辨光电子能谱(ARPES)。其中STM主要用来表征材料表面的电子结构信息。比如在Horacio的文章中2,STM就被运用在材料表征MoS2 和graphene的的异质结结构。在graphene/MoS2的界面中,因为相对的旋转,二者的周期性结构会发生不同程度的相互重叠,从而会在相对更大的尺度上产生新的周期性复合结构,这种结构被称作Moire Pattern。Moire Pattern周期性的调控则会密切影响异质结构的电子性能。如果能够建立相应的原子结构模型,就能系统的研究不同的旋转角度以及界面结构对Moire Pattern的成像以及电子结构的影响。

相对于STM的材料表面电子结构表征,ARPES则可以得到材料内部的“经脉”—能带结构。比如在Alidoust等人的工作中3,ARPES则被利用在表征MoSe2的能带信息以及因为过渡金属原子导致的自旋轨道分裂。在过渡金属的氧族化合物中,由spin oribital interaction导致的自旋轨道分裂是一种常见的现象,而被认为可以运用在valleytronics相关的电子元器件中。第一性原理计算模拟结合实验的ARPES表征,则能够很好的运用在此类分析上。这篇文章也很好的展示了如何讲VASP计算模拟出的ARPES图像和实验进行对比分析。

而这两类实验表征,都可以通过DFT计算的电子结构与本征态信息,结合表征的基本原理而模拟出具备特定电子结构材料应有的表征图像。
3.材料光谱表征
相对于材料的静态电子结构,有时候我们可能对材料的激发态性能更感兴趣。为了表征材料的激发态的性能,各种各样的光谱表征被广泛应用。光谱表征的本质都是用不同的光源照射特定处理过的材料,通过接受处理光源与材料作用之后的信号而获取材料的激发态性能。在所有的光谱表征分析中,光吸收谱和拉曼/红外光谱是被运用的较多的两种。光吸收谱可以得到材料的电子激发态信息,从而推测出材料的光吸收能力,能带结构信息和电子激发态性质。 另一方面,拉曼/红外光谱测量到的则是材料的声子激发态信息,从而可以推测出材料的局域上的原子振动情况以及原子结合情况。比如在Lee等人的文章中4,拉曼表征则被很好的运用在测量多层二维材料的厚度上。在诸如MoS2一类的二维材料中,原子振动频率会随着厚度的变化而发生相应的变化,因此,具备拉曼活性的振动评率则可以很好的用来表征实验合成的材料厚度情况。而通过VASP计算对应材料的动力学矩阵以及对称性分析,也可以模拟出特定原子结构对应的拉曼/红外光谱。从而达到可以直接从光谱信息直接反推出原子结构的目的。而特定的具备拉曼活性和红外活性的峰,则很好的作为材料特性的“指纹”,通过追踪这个“指纹”在各种材料改性条件下的变化,则可以很好的给最终的理论预测结果提供实验验证依据。

更多关于材料方面、材料腐蚀控制、材料科普等方面的国内外最新动态,我们网站会不断更新。希望大家一直关注中国腐蚀与防护网http://www.ecorr.org
责任编辑:王元
《中国腐蚀与防护网电子期刊》征订启事
投稿联系:编辑部
电话:010-62313558-806
邮箱:fsfhzy666@163.com
中国腐蚀与防护网官方 QQ群:140808414
免责声明:本网站所转载的文字、图片与视频资料版权归原创作者所有,如果涉及侵权,请第一时间联系本网删除。
官方微信
《中国腐蚀与防护网电子期刊》征订启事
- 投稿联系:编辑部
- 电话:010-62313558-806
- 邮箱:fsfhzy666@163.com
- 中国腐蚀与防护网官方QQ群:140808414



