前言
飞机结构表面有机涂层主要起着抑制腐蚀和隔离金属基体与腐蚀介质的作用,以达到防止金属腐蚀的目的。随着飞机服役时间的延长,有机涂层自身性能不断下降,宏观上呈现出褪色、粉化、龟裂和起泡等现象,最终会导致涂层与金属基体在界面处剥离,丧失腐蚀防护能力。
大量事实表明,沿海地区服役的海军飞机,长期暴露在高温、高湿、高盐分和含酸性气体的恶劣环境中,加剧结构表面有机涂层的老化,涂层失效后腐蚀介质直接侵蚀金属表面,引起飞机结构件腐蚀,使得结构件使用寿命显着降低,导致结构件萌生疲劳裂纹而发生断裂失效,有的甚至影响飞机战训任务的正常遂行。
因此,有机涂层作为飞机结构防腐蚀的主要措施,对服役于严酷海洋环境下的海军飞机的可靠性和安全性至关重要。
本文基于涂层老化物理机制,运用热力学理论建立了紫外线辐照条件下当量加速系数理论模型,通过对某地区关键环境数据的统计分析,编制了有机涂层加速老化实验谱;并针对聚氨酯有机涂层进行了0-9个周期的加速老化实验,借助多种手段分别从表面形貌、失光率、色差、粘附性能和电化学阻抗等多个方面比较全面地表征了涂层老化规律,得到了服役于该地区的海军飞机铝合金结构件表面聚氨酯涂层的使用寿命,为现役军用飞机的腐蚀防护与控制工作提供技术支持。
一、加速老化谱编制方法
1.1紫外线辐照折算系数理论模型
涂层抗老化性能与其活化能有着直接关系,活化能越大,涂层降解老化所需的能量越大,涂层使用寿命越长。活化能是涂层的固有属性,每种涂层活化能是一定的,提高温度会促进涂层内部的降解反应,加速涂层老化。
根据热力学理论及Arrhenius公式,建立温度与涂层寿命的数学关系,见下式:
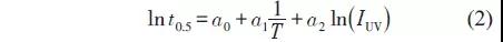
式中,t0.5为涂层的中位寿命,A为常数,且A>0;K为Boltzmann常数,取值8.617×10-5eV/℃;T为温度,单位为K;Eα为活化能,与材料有关,单位为eV。
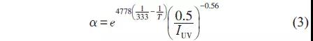
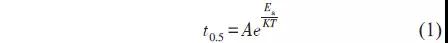
根据式(1),借鉴Guseva等提出的紫外线辐照强度与涂层性能的关系模型,假设涂层寿命服从对数正态分布,建立涂层使用寿命与环境温度、紫外线辐照强度的对应关系:
式中,α0、α1和α2为待定系数;IUV为紫外线辐照强度,单位为W/m2。
通过调整紫外线辐照试验箱中参数,将T设为60℃,IUV设为0.5 W/m2,并假设该实验条件的折算系数α=1.0,得到不同温度和紫外线辐照强度条件下折算系数的计算公式,见下式:

按照式(3)计算得到不同温度和紫外线辐照强度条件下的折算系数,计算结果见表1。

表1 不同温度与紫外线辐照强度的折算系数
1.2紫外线辐照环境谱块
某地区属暖温带亚湿润季风气候,具有显着的海洋性气候特点。通过对环境数据的分析研究可知,该地区年平均温度为13.9℃;年平均日照时数达到2541.1h,5月份最多为257.2h,10月份次多为244.8 h,12月份最少为178.5h,日平均日照时数为7h;紫外线年均辐照强度约为0.2 W/m2。
通过统计分析,得到该地区全年“紫外线辐照强度-温度-作用时间”数据集,按照表1所示的折算系数,实验室条件下(温度为60℃、辐照强度为0.5 W/m2)紫外线辐照总时间为各作用时间与折算系数乘积的总和,计算公式如下:

式中,tsum为加速实验总作用时间,tij为不同紫外线辐照强度与温度下的作用时间,aij为同紫外线辐照强度与温度下的当量折算系数。经计算可知,紫外线辐照总作用时间tsum为167.4h。
所以,服役某地区的海军飞机铝合金结构表面聚氨酯涂层,在外场曝晒1a太阳光中紫外线造成的涂层老化损伤与实验室条件(温度为60℃、辐照强度为0.5 W/m2)辐照167.4 h老化损伤程度相当。
1.3盐雾谱块
根据腐蚀损伤模式一致和腐蚀损伤等效的原则,即自然环境暴露条件和实验室加速实验条件下两者腐蚀电量相等,据当量加速系数,计算出盐雾谱块作用时间,结果见图1。

图1 聚氨酯涂层加速实验流程
1.4当量加速老化谱
导致飞机结构表面聚氨酯涂层发生老化的因素除了紫外线辐照之外,主要还包括湿热暴露、飞机飞行时的热冲击、高空飞行时低温环境和疲劳载荷联合作用的低温疲劳、海洋环境的盐雾侵蚀等,在这些因素中占主要地位的是紫外线辐照和盐雾侵蚀。
据CASS谱,在获得了涂层当量加速老化系数和该地区的紫外线辐照谱、温度、湿度和盐雾作用时间等环境数据的基础上,分别得到了紫外线辐照和盐雾的作用时间,对CASS谱中的紫外线辐照谱块和盐雾实验谱块进行修正,得到了如图1所示的该地区聚氨酯涂层加速实验谱。
二、当量加速老化实验
试样基体材料为新型高强度7B04铝合金,主要化学成分(质量分数,%)为:Zn 6.23,Mg 2.88,Cu 1.58,Mn 0.31,Fe 0.15,Si 0.05,Al余量。试样为长200mm、宽100mm、厚2mm的板材。涂层包括底漆和面漆,其中底漆为TB06-9锌黄涂层,面漆为TS70-1聚氨酯涂层。按照国标GB1727-92要求,将7B04铝合金板材用砂纸打磨后,依次用丙酮、酒精除油并清洗表面,然后进行表面阳极氧化处理。
先喷涂配比好的锌黄底漆,待完全固化后,再喷涂面漆,涂层厚度控制在(50±3)μm范围内,放置在干燥器皿中在常温下固化。试验件涂层制备工艺与服役于该地区的海军飞机铝合金结构涂层工艺一致。
根据编制的涂层加速老化实验谱,进行了0-9周期的加速老化实验。其中,紫外线辐照实验使用CHANLLENGE 250紫外线辐照试验箱完成。低温疲劳实验使用CHANLLENGE 1200高低温交变湿热试验箱和MTS 810疲劳试验机完成。
使用FEIQuanta200 FEG型扫描电子显微镜(SEM)对不同老化周期的涂层微观形貌进行观察;
依据国标GB/T1766-2008《色漆和清漆涂层老化的评级方法》,采用XGP型便携式镜向光泽度计,对不同老化周期的涂层试验件进行光泽度测量,在每个试样表面选择3处测试并取平均值;
根据CIE1976 L*a*b表色系统,采用SPEC精密色差仪测量不同老化周期后的涂层色差;
采用PosiTest拉拔式附着力测试仪,测量不同老化周期涂层/金属基体界面的附着力,每件试样取3个不同位置,取平均值;
涂层阻抗的测量采用Ametek公司的PARSTAT 4000电化学工作站及经典三电极体系,涂层试样为工作电极,面积为1cm2,参比电极为饱和甘汞电极(SCE),对电极为石墨电极,电解液为3.5%(质量分数)NaCl溶液,测试频率为105-10-2Hz,测量信号为10mV的正弦波。
三、老化规律
3.1宏观形貌
采用光学显微镜对涂层的表面老化形貌进行观测,如图2所示。

图2 不同老化周期涂层表面老化形貌
可以看出,不同老化周期的涂层试样表面变化明显,第5个周期时涂层试样表面开始起泡;到第8个周期时试样局部起泡数量增多,尺寸明显增大,且气泡破裂处有腐蚀产物析出;老化至第9个周期时,涂层试样局部起泡更为严重,气泡相互交联贯穿,腐蚀产物明显增多,可以初步判断涂层在老化第8-9个周期已经局部失效。
3.2微观形貌
对经过不同周期老化实验的涂层试样进行喷金处理,并采用SEM对涂层微观形貌进行观测,如图3所示。

图3 涂层经不同周期老化实验后表面的微观形貌
可知,老化前试样表面有少量直径约5μm的孔隙。第3和6个周期,孔隙的数量明显增多,孔隙与深坑直径扩展并相互连接。至第9个周期,涂层表面生成了腐蚀产物导致部分孔隙被阻塞,此外还产生微小气泡。
经分析知,随着老化时间的延长,引起涂层孔隙变大增多的原因,一方面是由于涂层表面颜料颗粒不断脱落,干湿交替作用使得先前形成的深坑和起泡皱缩,同时伴随新的深坑及起泡的生成;另一方面,在涂层老化过程中聚合物不断降解,孔隙逐渐增大,促进离子渗入,加剧老化过程。
3.3失光率
通过对第0-9个周期的涂层光泽度进行测量,得到图4所示的变化规律。

图4 色差和失光率的变化失光率
在第0-3个周期,失光率增速较快,在第3-9个周期,失光率增速变慢,呈S形变化规律。
3.4色差
不同周期老化实验后涂层色差测量结果如图4所示。加速老化实验后色差等级有所增加,当量加速老化第9个周期时,色差等级为1.54,小于2。
根据国标GB/T 1766-2008,不属于变色,没有失效。若以失光率和色差为失效判据,根据GB/T1766-2008知聚氨酯涂层并未失效。
但是,根据涂层表面老化形貌分析可知,加速老化第8-9个周期后涂层起泡严重,并伴随腐蚀产物析出,这就说明用失光率和色差不能作为涂层老化的失效判据,应该基于涂层老化的物理机制选择更为合理的失效判据参数。
3.5粘附性能
不同周期老化实验后涂层/金属基体界面附着力的测量结果见图5。

图5 涂层附着力的变化
结果表明,随实验进行,涂层/金属基体界面的粘附性能不断下降,下降速率先快后慢;与初始附着力相比,老化至第8-9个周期后附着力约下降了65%。可见,粘附性能下降也是导致涂层失效的主要因素。
3.6电化学阻抗
不同周期老化实验后,带涂层试件的Nyquist图和Bode图分别如图6和7所示。

图6 涂层试样经不同周期老化后的阻抗复平面图

图7 经不同周期老化实验后涂层试样的Bode图
对比分析可知,在0-9个周期中,涂层老化大致分3个阶段:
第0-2个周期,阻抗复平面呈现一个半径很大的容抗弧,接近一条直线,低频阻抗|Z|0.01Hz为1010Ω·cm2量级,见图6a和7a,此时涂层具有很好的防护性能;第3-7个周期,涂层阻抗处在107-109Ω·cm2量级,分别见图6b,6c,7b和7c,此时Cl-已穿透内部含有微孔的涂层到达金属基体;老化至第8-9个周期时,Nyquist图发生明显变化,阻抗数量级下降到106Ω·cm2量级,见图6d和7d。
结合涂层附着力的变化可以判断,当老化至第8-9个周期时,涂层发生局部失效,即涂层寿命为第8-9个周期。
根据外场调研可知,服役于该地区的海军飞机服役约8a时,结构表面涂层发生局部鼓包、龟裂,局部铝合金结构发生腐蚀。可见加速老化实验结果与飞机实际服役情况比较吻合,在一定程度上证明编制的加速老化实验谱和得到的涂层老化规律是合理、可行的。
四、结论
(1)建立了外场自然老化与实验室加速老化的当量加速关系,编制了涂层加速老化实验谱。结果表明,涂层在外场曝晒1a与实验室加速老化实验(条件:温度为60℃,辐照强度为0.5 W/m2)167.4 h的损伤相当。
(2)失光率和色差不能作为评价涂层失效判据,涂层粘附性能和电化学阻抗能较好地表征涂层老化规律,得到的涂层老化规律与涂层表面老化形貌是吻合的,也符合涂层老化的物理机制。
(3)涂层老化过程大致可分成3个阶段,在初期(第0-2个周期)涂层表面完好,低频电化学阻抗|Z|0.01Hz在1010Ω·cm2以上量级,粘附性能下降速率较快;在中(第3-7个周期),电化学阻抗处在107-109Ω·cm2量级,涂层内部微孔增大增多,粘附性能下降幅度较大,抗腐蚀性能明显衰减;在后期(第8-9个周期),涂层表面出现局部鼓包,电化学阻抗处在106Ω·cm2量级,粘附性能仅为初始值的35%,涂层局部失效。
(4)经当量加速实验和相关测试表明,铝合金表面聚氨酯涂层在该地区使用寿命大约为8a,这与飞机实际服役情况相吻合。
更多关于材料方面、材料腐蚀控制、材料科普等方面的国内外最新动态,我们网站会不断更新。希望大家一直关注中国腐蚀与防护网http://www.ecorr.org
责任编辑:韩鑫
《中国腐蚀与防护网电子期刊》征订启事
投稿联系:编辑部
电话:010-62313558-806
邮箱:fsfhzy666@163.com
中国腐蚀与防护网官方 QQ群:140808414
免责声明:本网站所转载的文字、图片与视频资料版权归原创作者所有,如果涉及侵权,请第一时间联系本网删除。
相关文章
官方微信
《中国腐蚀与防护网电子期刊》征订启事
- 投稿联系:编辑部
- 电话:010-62313558-806
- 邮箱:fsfhzy666@163.com
- 中国腐蚀与防护网官方QQ群:140808414
点击排行
PPT新闻
“海洋金属”——钛合金在舰船的
点击数:5768
腐蚀与“海上丝绸之路”
点击数:4763



