主要内容
积冰给人类日常生活带来不便,于电力传输、通信领域甚至造成严重后果。为解决这一难题,目前已有研究者开发出冰粘附强度低于100 kPa的疏冰表面,但是延长现有技术的疏冰寿命仍然是一个亟待解决的关键问题。

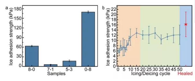
挪威科技大学Jianying He及Zhiliang Zhang等人设计了一种机械耐久的疏冰材料,其设计思路是将互穿聚合物网络(IPN)集成到自主自修复弹性体中以提高机械耐久性;分别测试了该材料的分子结构,表面形貌,力学性能和耐久性;考察了自修复憎冰材料的蠕变行为;值得注意的是,这种材料在超低冰粘合强度6.0±0.9 kPa的防冰应用中表现出巨大潜力,超越了许多其他的憎冰表面,其表现出非凡的耐久性,在50次结冰/除冰循环后仍保持非常低的?12.2kPa长期冰附着强度;最重要的是,该材料能够在足够短的时间内表现出机械损伤的自愈性能,这在实际应用中对于延长憎冰寿命是非常必要的。
图文赏析

图1.由Fe-Py-PDMS和Sylgard 184组成的自修复IPN弹性体的设计方案。Sylgard 184通过共价键交联,而Fe-Py-PDMS通过金属 - 配体配位键交联。

图2.(a)250-750cm-1范围内Py-PDMS与Sylgard 184重量比为0-8、5-3、7-1,8-0的Fe-Py-PDMS样品的拉曼光谱;(b)1750-1500cm -1范围内Py-PDMS与Sylgard 184重量比为8-0和7-1的Fe-Py-PDMS样品的FT-IR光谱。

图3.(a)7-1样品的数码照片展示了所有自愈合弹性体样品的橙红色和透明度。(b)7-1的SEM图像代表性显示了光滑且致密的表面;(c)7-1的EDX谱线扫描显示出了感兴趣的元素(C,O,N,Si,Fe和Cl);(d)扫描尺寸为500×500nm2的8-0,7-1,5-3和0-8样品的AFM三维高度图像。

图4.(a)8-0,7-1,5-3和0-8样品平面冲压纳米压痕测试的的载荷 - 位移曲线;(b)纳米压痕测试样品降低的模量;(c)在蠕变可视化测试之前8-0,7-1,5-3和0-8样品的数字照片;(d)蠕变可视化测试后8-0,7-1,5-3和0-8样品的数字照片。

图5. 力作用下金属 - 配体配位络合物破裂和聚合物链滑移,以及金属 - 配体配位络合物的重排示意图。

图6. 8-0,7-1和5-3的自愈过程的光学显微镜图像。比例尺:200μm。

图7.(a)8-0,7-1,5-3和0-8样品涂层的冰粘合强度;(b)7-1样品在结冰/除冰循环中自愈后的冰粘附强度。
参考文献
ACS Appl. Mater. Interfaces2018, 10, 11972?11978.
更多关于材料方面、材料腐蚀控制、材料科普等方面的国内外最新动态,我们网站会不断更新。希望大家一直关注中国腐蚀与防护网http://www.ecorr.org
责任编辑:王元
《中国腐蚀与防护网电子期刊》征订启事
投稿联系:编辑部
电话:010-62313558-806
邮箱:fsfhzy666@163.com
中国腐蚀与防护网官方 QQ群:140808414
免责声明:本网站所转载的文字、图片与视频资料版权归原创作者所有,如果涉及侵权,请第一时间联系本网删除。
官方微信
《中国腐蚀与防护网电子期刊》征订启事
- 投稿联系:编辑部
- 电话:010-62313558-806
- 邮箱:fsfhzy666@163.com
- 中国腐蚀与防护网官方QQ群:140808414



