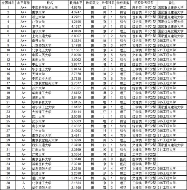
教师学术水平是大学各项办学指标中最重要的指标之一。2017年,在这项指标的竞争中,有15所大学获得A++级的最高等级,中国科学技术大学以4.8675分获第1名,南京大学4.3247分得第2名,浙江大学4.2761分取第3名。
获得第4名至第15名的A++级大学分别是:第4名北京大学,第5名复旦大学,第6名清华大学,第7名上海交通大学,第8名南开大学,第9名北京师范大学,第10名北京化工大学,第11名中国人民大学,第12名东南大学,第13名中山大学,第14名华东理工大学,第15名天津大学。
本排行榜源于中国管理科学研究院《中国大学评价》课题组组长武书连着、中国统计出版社2017年1月出版的《挑大学选专业—2017高考志愿填报指南》。
中国大学2017年教师学术水平评价采用百分比法,用A++、A+、A、B+、B、C+、C、D+、D、E+、E,共5等11级表示教师学术水平。各等级定义如下:
A等:前10%为A等;其中学术水平最高的前2%是A++级,介于2%~5%(含,以下同)之间的是A+级,5%~10%为A级。
B等:介于10%~30%之间为B等,占20%;其中 10%~20%为B+级,20%~30%为B级。
C等:介于30%~50%之间为C等,占20%;其中 30%~40%为C+级,40%~50%为C级。
D等:介于50%~70%之间为D等,占20%;其中50%~60%为D+级,60%~70%为D级。
E等:最后的30%为E等;其中70%~85%为E+级,85%~100%为E级。
教师学术水平排名计算方法:将每所大学在综合实力排行榜中的科研得分,除以投入的科研当量人数,并将结果降序排列,得到在同一标准下,全国721所大学的教师学术水平排名。科研当量人数包括专任教师、专职科研人员、附属医院高级职称人员、博士研究生、硕士研究生。其中专任教师和专职科研人员每1人折合1人,附属医院高级职称人员每6人折合1人,博士研究生每3人折合1人,硕士研究生每30人折合1人。
1.普通高校38所985工程大学中,有9所没有进入教师学术水平前38名
普通高校38所985工程大学(含国家优先发展大学、国家重点建设大学),有29所进入教师学术水平前38名,占985工程大学的76.32%。9所没有进入教师学术水平前38名的985工程大学是:中央民族大学、东北大学、中国海洋大学、电子科技大学、吉林大学、中南大学、西北农林科技大学、西北工业大学、重庆大学。
有6所211工程大学进入前38名,依次是:北京化工大学、华东理工大学、苏州大学、南京农业大学、南京航空航天大学、江南大学。
有3所既非985、也非211的大学进入教师学术水平前38名,依次是:江苏大学、南京医科大学、首都医科大学。
2.普通高校112所211工程大学,有30所没有进入教师学术水平前112名
普通高校112所211工程大学(含985工程大学),有30所没有进入教师学术水平前112名,占211工程大学的26.79%。30所没有进入教师学术水平前112名的211工程大学是:
青海大学、延边大学、西藏大学、宁夏大学、海南大学、内蒙古大学、贵州大学、北京体育大学、辽宁大学、石河子大学、太原理工大学、河北工业大学、南昌大学、大连海事大学、郑州大学、东北农业大学、长安大学、广西大学、新疆大学、中央民族大学、中国地质大学(武汉)、北京中医药大学、中国石油大学(华东)、西南财经大学、四川农业大学、西南交通大学、云南大学、东北林业大学、中南财经政法大学、中国政法大学。
30所非211工程大学进入教师学术水平前112名,依次是:江苏大学、南京医科大学、首都医科大学、浙江师范大学、南京工业大学、浙江工业大学、南京信息工程大学、南京邮电大学、宁波大学、湘潭大学、首都师范大学、温州大学、扬州大学、浙江理工大学、燕山大学、上海理工大学、重庆医科大学、中国医科大学、西北师范大学、常州大学、沈阳药科大学、上海师范大学、上海中医药大学、上海音乐学院、杭州师范大学、浙江海洋大学、浙江工商大学、安徽医科大学、中国计量大学、福建师范大学。
武书连2017中国721所大学教师学术水平排行榜
(以下表格总结了B+及以上学校排名,表中“教师水平”一栏的数据,是以全国721所大学的教师学术水平为1计算的)




责任编辑:景隽
免责声明:本网站所转载的文字、图片与视频资料版权归原创作者所有,如果涉及侵权,请第一时间联系本网删除。
官方微信
《中国腐蚀与防护网电子期刊》征订启事
- 投稿联系:编辑部
- 电话:010-62316606-806
- 邮箱:fsfhzy666@163.com
- 中国腐蚀与防护网官方QQ群:140808414



