【引言】
随着硅晶体管的减小,计算速度也得到很大提高,但对目前发展的硅晶体管而言,已经接近了它的极限尺寸。要想进一步设计微型晶体管,就要尝试减小其组件的尺寸。对于半导体电子设备线路的研究,最大的挑战在于要减小晶体管线路使其所用部件尺寸缩减至40 nm。因此研究者们尝试将碳纳米管应用于晶体管中,而主要的困难则是要提高性能,同时目前纳米管晶体管尺寸在100纳米左右,较硅晶体管要大。
【成果简介】
IBM研究中心曹庆(通讯作者)等人研制出最小的P通道碳纳米管晶体管,尺寸仅40 nm。基于一个半导体性的碳纳米管,所占据的空间小于硅晶体管的一半,却表现出相当高的归一化电流密度,在低的供给电压0.5 V,亚阈值摆幅85 mV/dec下,电流密度高于0.9 mA/μm。此外,在超负荷运算工作下,基于高密度纳米管阵列线路制备的晶体管较最佳集成的硅电子设备能传输更高的电流。相关研究成果以题为“Carbon nanotube transistors scaled to a 40-nanometer footprint”在线发表于Science上,同期,Science期刊自由撰稿人Matthew Hutson为此项研究发表了题为“Scientists use carbon nanotubes to make the world's smallest transistors”(Science,2017,DOI: 10.1126/science.aan7042)的评述。
【图文导读】
图一、单个s-CNT晶体管的原理图以及显微图

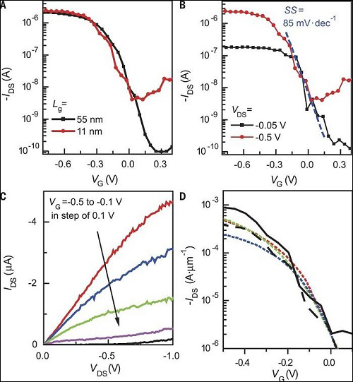
图二、线路尺寸减小至40 nm单个s-CNT晶体管的电学性质

图三、基于s-CNT阵列的高性能晶体管的原理图、显微图以及电学性质

文献链接:Carbon nanotube transistors scaled to a 40-nanometer footprint(Science,2017,DOI:10.1126/science.aan2476)
更多关于材料方面、材料腐蚀控制、材料科普等方面的国内外最新动态,我们网站会不断更新。希望大家一直关注中国腐蚀与防护网http://www.ecorr.org
责任编辑:殷鹏飞
投稿联系:编辑部
电话:010-62313558-806
中国腐蚀与防护网官方 QQ群:140808414
免责声明:本网站所转载的文字、图片与视频资料版权归原创作者所有,如果涉及侵权,请第一时间联系本网删除。
相关文章
官方微信
《中国腐蚀与防护网电子期刊》征订启事
- 投稿联系:编辑部
- 电话:010-62316606-806
- 邮箱:fsfhzy666@163.com
- 中国腐蚀与防护网官方QQ群:140808414
点击排行
PPT新闻
“海洋金属”——钛合金在舰船的
点击数:8125
腐蚀与“海上丝绸之路”
点击数:6461



