2016 年上半年,全国造船完工1715 万DWT,承接新船订单1620 万DWT,截至6 月底,全国手持船舶订单11 926 亿DWT。出口船舶以散货船、油船和集装箱船为主导,分别占全国造船完工量、新接订单量、手持订单量的91. 2%、88. 4% 和94. 7%。船舶制造业是典型的战略性产业,有“综合工业之冠”之称。船舶制造业具有产业链条长、上下游关联度高、辐射带动作用大等特点。一艘完整的船离不开“材料”二字,只有将材料进行最优化组合,才能造出一艘高性能的船。因此,寻求适合的新型材料,研究其应用就成了船舶发展、进步的方向。
随着对船舶功能要求的提高,以及对低能耗等综合性能的追求,我国对船舶高新技术的发展给予了高度重视。高强度新型舰船结构材料对减轻船舶质量至关重要,并且性能优异的防污、防腐材料对降低船舶正常运行的维护成本也格外重要。
1 新型舰船结构材料
1. 1 HSLA、HY 高强钢
世界海洋强国一直在开发、研制新的舰船用结构材料,特别是航母用钢,它直接关系到航母作战平台能否适应现代化海上作战需求,是否具有安全可靠性。在保证大船安全的前提下,为了实现船只轻量化,美国海军在20 世纪50—70 年代逐步开发出以Ni-Cr-Mo-V 合金化且碳含量较高的马氏体相变强化型热处理钢———HY 系列钢。该系列钢具有较高的强度和优良的低温韧性,但其焊接性能却较差。HY 系列钢的C 含量一般大于0. 1% ( 质量分数,下同) ,通过间隙固溶强化和马氏体相变强化组织。随着板厚的增加,HY 钢中的C、Ni、Cr 和Mo的含量也会在一定程度上增加,从而导致其焊接性变差。目前,最低屈服强度为690 MPa 的HY-100钢已成为美国海军潜艇耐压壳的标准用钢,美国海军SSN21“海狼”级潜艇及最新型SSN774“弗吉尼亚”级核潜艇的耐压壳也都采用了HY-100 钢。
20 世纪80 年代后期,随着超纯净钢冶炼、微合金化、控制轧制与控制冷却等制造技术的发展,同时为了提高舰船用钢的焊接性能并降低焊接成本,美国率先提出了新一代HSLA( high strength low alloy)舰船用钢的开发计划,形成大型水面舰船结构用钢的新体系。HSLA 钢的C 含量一般低于0.06%,主要通过贝氏体相变强化和沉淀强化。HSLA系列钢通过低C 微合金化、控轧控冷等技术细化晶粒可获得优良的性能,其焊接性也得到了改善。
HSLA-115 钢和HSLA-65 钢是美国海军根据航母减重及重心降低的要求研制的,其屈服强度分别达785 和445. 9 MPa。将这种材料应用于甲板上,不仅可降低航母的重心,还可显著降低甲板厚度,从而减轻航母质量。HSLA-65 钢是低碳含锰钢,不需预热即可焊接。“福特”号航空母舰就采用HSLA-65 钢作为主壳体材料。HSLA-115 钢则主要被用于飞行甲板、栈桥甲板等承受大载荷的部位。
1. 2 高强钛合金
高强钛合金是指经热处理后抗拉强度大于1100 MPa 的钛合金,以热处理强化马氏体α + β 型合金、近亚稳β 型钛合金和亚稳β 型钛合金3 种类型为主。高强钛合金作为一种优异的船舶用金属,其最突出的特点是耐热、耐蚀性强,比强度高,结构有效性佳,同时还无磁性。中国船用钛合金体系将屈服强度大于790 MPa 的钛合金定义为高强钛合金。船用高强钛合金型号及其应用如表1 所示。

Ti80 合金是针对载人深潜器球壳,在美国深潜器球壳用材Ti6211 合金基础上,创新研制出的近α型合金。在焊接后,其焊接接头仍能保持良好的力学性能和耐腐蚀性能。2015 年5 月,我国首个国产4500 m 潜深载人潜水器耐压壳出厂,其球壳大小与“蛟龙”号所采用的耐压壳尺寸相当。该潜水器的耐压舱采用了由我国自主研发的Ti80 合金材料。
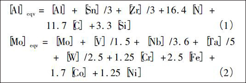
由于船用钛合金需要在海洋环境中长期服役,所以必须具备优良的应力腐蚀断裂韧性和良好的焊接性。因此,设计船用钛合金时需综合考虑钛合金的强度、应力腐蚀断裂韧性和焊接性等。Al 当量和Mo 当量是设计船用钛合金的主要准则之一,其计算公式分别为:

降低Al 当量可最大限度地防止钛合金在海水中发生应力腐蚀而开裂。Mo 当量对钛合金拉伸强度的影响主要有两个方面: 1) 退火钛合金的拉伸强度随着Mo 当量增加到10% ~ 11% 时而提高,此时合金组织大致为相等数量的α 相和β 相; 而当Mo 当量继续增加时则会导致拉伸强度降低。2) 固溶时效钛合金的拉伸强度随着Mo 当量增加到12%~ 14% 而提高。由于Mo 当量增加到临界浓度后,淬火时形成的亚稳态β 相的数量增加,因此,Mo 当量继续增加会导致拉伸强度下降。结果如图1 所示。

1. 3 EQ 钢
海洋平台是人类用于开发海洋资源的重要的超大型焊接钢结构。对于海洋平台,不仅要求其能够在苛刻条件下工作,还需要具备安全可靠性高、使用寿命长等特点,且其服役期比船舶类长50%,这些都决定了海洋平台用钢板必须具有高强度、高韧性、抗疲劳、抗层状撕裂及良好的焊接性和耐海水腐蚀等性能。目前,国际上生产海洋平台用钢板所采用的主要有BS7191、EN10225、API 与NORSOK 等通用标准。
EQ70 海洋平台用钢是近年来研发的一种低合金高强度钢,在保证焊接性能的同时,要求其屈服强度能达到690 MPa,抗拉强度达到770 MPa。为了满足上述要求,更好地控制EQ70 海洋平台用钢的组织和性能,一般可采用以下两种方法: 1) 轧后通过控制冷却速度,控制相变与组织,利用贝氏体相变强化; 2) 使用调质+ 回火热处理,利用马氏体进行强化。EQ70 海洋平台用钢典型相变产物的微观组织如图2 所示。当冷速为0. 05 ℃ /s 时,试验用钢的组织为粒状贝氏体和极少量的铁素体; 当冷速在0.1 ~ 0. 5 ℃ /s 之间时,贝氏体形貌发生变化,粒状贝氏体开始向板条贝氏体组织转变。当冷速增加到1℃ /s 时,组织中的粒状贝氏体逐渐减少,板条贝氏体含量增加; 冷速为2 ℃ /s 时,主要为板条贝氏体组织,但开始有少量马氏体生成。随着冷速的继续增加,板条贝氏体的含量逐渐减少,到冷速为5℃ /s时,组织中仅有少量板条贝氏体存在。当冷速在8℃ /s 以上时,组织全部转变为马氏体。

2 防污、防腐材料
海洋污损生物问题是长期困扰海洋船舶工业发展的重要问题。研究结果表明: 由于海洋生物在船舶表面附着导致的海洋污损会降低航速,增加船体表面的粗糙度和燃油消耗量,造成后期清洁船体污染时需要大量的资金和人力。此外,金属材料在使用过程中受大气、海水等环境作用都会发生腐蚀。现代海洋工程中,金属使用量的80% 是钢铁,而在海洋环境中,钢铁的腐蚀速度约10 倍于在大气中的腐蚀速度。
2. 1 氧化亚铜/丙烯酸杂化树脂
对于尺寸较大的海洋生物附着来说,对船体进行涂层保护是一种相当有效的方法。生物化学防污涂料主要由高分子树脂、防污剂、溶剂和填料外加辅助材料组成,其中,防污剂为生物毒素,可防止和控制污损生物在基体表面的附着和生长,高分子树脂作为涂膜的基体和防污剂的载体,可直接影响涂膜的性能并控制防污剂的释放。尽管这种方法有效可靠,但却容易破坏环境。生物化学防污涂料主要有有机锡防污剂和铜类防污剂两类。
氧化亚铜因为具有低毒特性,现已成为主流的船底防污涂料。但是仅仅简单地以填料形式将氧化亚铜加入到涂料体系中作为杀毒剂,难以保证2 价铜离子的稳定性及铜离子的释放,而通过丙烯酸树脂与固态氢氧化铜反应得到的氧化亚铜/丙烯酸杂化树脂( 其反应式如图3 所示) ,不仅能保证铜离子的稳定性,同时还能使涂料在海水的作用下发生水解,产生小分子,稳定地释放铜离子,确保船底周围海水中铜离子的浓度。

氧化亚铜/丙烯酸杂化树脂优异的防污性能得益于: 1) 用脂肪类包覆剂将氧化亚铜包覆,使得体系的稳定性得到大幅提高,并在很大程度上提高了氧化亚铜溶胶的浓度; 2) 采用脂肪类包覆剂包覆氧化亚铜和树脂单体,发生交联反应后形成有序的大分子结构。
2. 2 有机氟硅改性环氧树脂
海洋环境中,船体与海水的接触为固液接触,船体表面层的分子和内部体相中的分子( 原子) 所处的力场不同,因而受力情况也不同。内部体相中的分子( 原子) 受到指向固相内部的拉力,如图4 所示。低表面能防污涂料的防污原理就是降低固体表面能,减小附着力。这将不利于海洋生物分泌黏液的润湿,从而不利于海洋生物在固体表面附着。低表面能防污涂料是一种基于物理作用的涂料,因此,不存在毒性物质的释放问题,并能起到长期防污的效果。

有机氟硅改性环氧树脂低表面能涂料通过使用应用最广泛的环氧树脂———双酚A 缩水甘油醚树脂( 结构如图5 所示) 对单体甲基丙烯酸三氟乙酯进行改性。双酚A 缩水甘油醚树脂大分子的两端是反应能力很强的环氧基,它能使环氧树脂具有很强的黏接能力和改性能力; 同时,分子主链上含有大量苯环、次甲基和异丙基,能使其化学性能稳定。

有机氟硅改性环氧树脂低表面能涂料的防污性得益于: 1) 通过双键聚合反应,制得具有降低树脂低表面性能、弹性模量、硬度等的氟硅中间体; 2) γ- 甲基丙烯酰氧硅烷水解生成羟基硅醇,醇羟基间互相反应生成一层交联的致密网状疏水膜。
2. 3 硅酸聚合粉金属重防腐涂料
海洋环境中常用的重防腐涂料( heavy-dutycoating) 多为溶剂型涂料,因为它具有原料易得、性能优良、涂层附着力好、坚韧耐磨、不易产生裂纹、耐化学品腐蚀等优点。
硅酸聚合粉金属重防腐溶剂型涂料是把无机硅酸粉与纳米导电态聚苯胺混合后的聚合粉,分别与亲水、疏水硅烷聚合物进行有机杂化,再与溶剂型环氧树脂和助剂进行交联,制成不含有任何金属颜填料的金属重防腐溶剂型涂料。
硅酸聚合粉金属的重防腐性能得益于: 1) 无机硅酸易醇化成硅醇,硅醇对金属基材表面具有钝化作用,能阻止腐蚀的扩散; 2) 分散在基料的纳米导电聚苯胺自身容易形成抗氧化保护膜,可形成长效防腐蚀保护; 3) 硅酸聚合粉、有机硅烷聚合物、环氧树脂和助剂的杂化,使涂膜的力学性能( 强度、硬度、附着力等) 、密闭性能、抗锈蚀性都得到大幅提高。
2. 4 改性石墨纳米片/环氧树脂涂料
近年来,石墨类纳米材料,如石墨烯、氧化石墨烯和石墨纳米片等在不同领域表现出优异的性能。纳米粒子的体积效应、表面效应、宏观量子隧道效应和量子尺寸效应等,能增强石墨类纳米材料的抗氧化性和硬度,使其具有抗菌性、抗光催化性、吸收电磁波性以及对水、油的亲疏性等特殊性。
石墨纳米片具有片层状结构,如图6 所示。纳米片表面相对光滑,片层的厚度约为50 nm,大小为2 ~ 10 μm。片层状结构可以在金属与活性介质间形成对水、氧气和离子的物理屏障。石墨纳米片用于涂料中作填料时,可以增加腐蚀介质在涂层中的渗透路程,使有机涂层的物理屏蔽性能更好,从而使金属材料具有防腐蚀功能。改性石墨纳米片/环氧树脂涂料是将正丁醇和二甲苯按一定比例配制混合,添加偶联剂KH550 和石墨纳米片,用超声波进行改性和搅拌,最后加入树脂和消泡剂经搅拌制得。
改性石墨纳米片/环氧树脂涂料的重防腐性能得益于: 1) 石墨纳米片的片层状结构的屏蔽作用。2) 硅烷偶联剂在水解后形成三羟基硅醇,醇羟基之间可以互相反应生成交联的致密网状疏水膜。由于这种膜表面有能够与树脂起反应的有机官能基团,因此,可大大提高石墨纳米片/环氧树脂涂料的附着力,从而使其耐腐蚀、抗摩擦、抗冲击的能力也得到提高。

3 结语
随着我国船舶制造业的全面发展,以及日益迫切的国防需求,船舶新材料的发展与应用已成为促进船舶制造发展的重要因素。随着对舰船的机动性、生存性、深潜和负载要求的不断提高,轻质、高强、无磁及耐蚀合金的设计应受到充分重视。因此,今后需加强对材料组织演变行为的基础研究,建立稳定的生产控制模型; 同时,对功能型材料的开发应朝着多功能兼容、易制备、低成本及稳定性的方向发展。
资料来源:(周方明,郭俊武,张庆亚 江苏科技大学先进焊接技术重点实验室)
更多关于材料方面、材料腐蚀控制、材料科普等方面的国内外最新动态,我们网站会不断更新。希望大家一直关注中国腐蚀与防护网http://www.ecorr.org
责任编辑:王元
投稿联系:编辑部
电话:010-62313558-806
中国腐蚀与防护网官方 QQ群:140808414
免责声明:本网站所转载的文字、图片与视频资料版权归原创作者所有,如果涉及侵权,请第一时间联系本网删除。
官方微信
《中国腐蚀与防护网电子期刊》征订启事
- 投稿联系:编辑部
- 电话:010-62316606-806
- 邮箱:fsfhzy666@163.com
- 中国腐蚀与防护网官方QQ群:140808414



