在能源的发展战略上, 我国在未来将积极发展核电。 关键核电设备所用重要结构材料的研发是发展核电技术的关键。 无论是核电的发电装置, 还是核废料的处理装置, 其关键部位的结构材料需要在高温、强辐照和强腐蚀等极端环境中服役。 加速器驱动次临界(accelerator driven subcritical, ADS) 系统主要由高能质子加速器、散裂靶和液态Pb-Bi共晶(Pb-Bi eutectic, LBE) 冷却次临界反应堆构成, 是一种高效的核废物嬗变器。该系统所用结构材料的服役温度在300~800 ℃之间, 热流密度高达10 MW/m2, 辐照量每年可达到100 dpa. 如此恶劣极端的服役环境对结构材料的综合性能提出了更高和更苛刻的要求。
在诸多核用候选结构材料中, (9%~12%)Cr (质量分数, 下同)马氏体耐热钢具有良好的导热性能、低的膨胀系数和良好的抗辐照性能, 一直被认为是发展核电技术的首选结构材料。 目前已获得工程应用的(9%~12%)Cr 马氏体耐热钢主要有超临界火电机组用T/P91 和T/P92 钢, 其高温力学性能优良, 制备工艺也已经成熟, 但不具备低活化特性, 抗液态金属腐蚀性能欠佳; 为未来核聚变堆设计和开发的具有低活化特性的第一壁结构材料主要有中国低活化马氏体(CLAM)钢、欧洲的Eurofer 97钢、美国的9Cr2WVTa 钢、日本的F82H和JLF-1 钢, 这类钢种的抗辐照性能突出, 但高温强度低; 俄罗斯设计的结构材料EP823钢具有优异的抗液态Pb-Bi 共晶腐蚀性能, 但抗辐照性能差。以上各种钢在性能上各有侧重, 然而, 均不能同时满足耐高温、耐辐照、耐液态Pb-Bi 共晶腐蚀性能要求。 因此, 如何在化学成分上进行合理调整, 平衡这3 种性能, 研究开发出适应未来重大核电装置发展需求的新型耐高温、抗辐照、耐液态金属腐蚀的新型钢铁结构材料是一个重大挑战。
本工作主要介绍新型耐高温、抗辐照、耐液态金属腐蚀结构材料——SIMP 钢的组织、成分设计和规模化制备, 重点介绍SIMP 钢在实验室条件下以上3 方面性能的测试结果, 以增进核工业领域对新型SIMP钢的认识和了解。
1 实验方法
Cr 和Si 不仅是提高耐热钢高温抗氧化性能的重要元素, 还能提高抗液态金属腐蚀性能。 当Si 含量达到2.0%时, 可以明显提高钢的抗液态金属腐蚀性能。 但Cr 和Si 含量过高会急剧增加钢中高温d铁素体的含量, 而C可以对高温d 铁素体的形成产生强烈的抑制作用。 为了获得全马氏体组织, SIMP钢中必须严格控制C, Cr 和Si 这3 种重要合金元素的含量, 使之达到优化的成分范围。 新型SIMP 钢的成分设计思路如图1 所示。 在钢中增加Cr 和Si 含量来提高其抗液态金属腐蚀能力和抗氧化能力; 提高C含量抑制高温d 铁素体, 获得全马氏体组织; 利用Cr, W, V, Ta 等合金元素的强化作用, 获得所需的高温力学性能; 通过“以W代Mo, 以Ta 代Nb”来实现钢的低活化特性; 降低钢中Ni, P, Cu, Co, Al 等活化元素的含量至极低水平以提高抗辐照性能。 SIMP钢的成分经过反复优化, 最终名义成分为0.20C-1.2Si-10.5Cr-1.5W-0.2V-0.15Ta (质量分数, %)。


采用真空感应、真空自耗等冶炼技术, 制备了从25 kg 级到5 t 级规模的SIMP 钢, 如图2 所示。 铸锭的体积越大, 其成分和组织的均匀性越难以控制。 表1 给出了1 t 级和5 t 级SIMP钢的主要成分。 可见, SIMP 钢的成分较为均匀, 均在成分设计范围之内。 5 t 级SIMP 钢中活化元素的含量如表2 所示。 可见, Ni, Mo, Ti, Nb, Al 和Co 等活化元素都得到极为严格的控制。

本工作中SIMP 钢的试样均来自1 t 级和5 t 级SIMP钢经锻造和轧制后得到的热轧板。 通过研究正火温度和回火温度对SIMP钢组织和力学性能的影响, 确定了吨级SIMP 钢的最佳热处理工艺为:
(1040±10) ℃正火30 min+(760±10) ℃回火90 min.
测试中所用的力学性能试样、氧化性能试样、液态金属腐蚀性能试样和辐照试样, 如没有特殊说明, 其初始热处理均按以上工艺进行。 作为对比材料的T91钢, 各项性能测试前也按以上热处理工艺进行热处理。 采用5 g FeCl3+50 mL HCl+100 mL H2O腐蚀剂制备金相(OM)样品, 在HatachiS-3400N 型扫描电镜(SEM)下观察析出相形态。 透射电镜(TEM)样品经机械减薄至30 mm后, 用10%HClO4+90%C2H4O2 电解液在15 ℃双喷减薄, 电压为28 V. 在FEI TecnaiG2 F20 型TEM 上观察材料的精细组织结构。 拉伸实验在Schenck-100KN 型液压伺服拉伸试验机上进行, 样品尺寸为直径5 mm×60 mm. 冲击实验在RT-450 冲击试验机上进行, 样品尺寸为10 mm×10 mm×55 mm. 高温持久实验在RDL50型电子蠕变弛豫试验机上进行, 测试温度为400~750 ℃, 温度波动≤±2 ℃, 应力范围选择为80~540 MPa. 采用静态增重法评价材料的抗高温氧化性能。 利用D/max2500PCX 型射线衍射仪(XRD)分析氧化后试样的表面相组成。 用Hitachi S-3400N 扫描电镜(SEM)和EPMA1610 电子探针(EPMA)观察表面氧化膜形貌和分析截面氧化膜结构。
2 实验结果及分析
2.1 SIMP钢的热处理态组织
图3 为最终热处理态的SIMP 钢中的全马氏体组织形貌的OM和TEM像。 可见, 在板条马氏体界和原奥氏体晶界上分布着大量的M23C6 (M=Cr, Fe)碳化物, 在板条内分布着细小的MX (M=V, Ta; X=C, N)类碳氮化物。

2.2 SIMP钢的力学性能
2.2.1 常规力学性能1 t 级和5 t 级SIMP 钢及T91钢的常规力学性能见表3. 由于5 t 级SIMP钢锭尺寸过大, 因此在其最终锻为直径350 mm的圆柱体的上、中、下3 个部位分别取样进行常规力学性能的测试。 可见, SIMP 钢的常规力学性能与T91 钢相当, 其室温强度和冲击功均明显高于T91钢。

2.2.2 高温持久性能图4 为1 t 级SIMP 钢与T91 钢在550, 600 和650 ℃的持久性能对比。 从图4a 可以看出, 在550 ℃的持久实验中, 1 t 级SIMP钢的应力-断裂时间曲线位于T91 钢的上方, 2 种材料的实验曲线近乎平行。 因此根据实验曲线外推可知, 在这一温度范围内, SIMP 钢的持久性能优于T91 钢。 从图4b 可以看出, 在600 ℃的短时间持久实验中, 1 t 级SIMP 钢的应力-断裂时间曲线位于T91钢的上方, 这表明在几千小时的实验时间内, 1 t级SIMP 钢的持久性能优于T91 钢。 但需要指出的是, SIMP 钢与T91 钢的应力-断裂时间曲线斜率不同, 将曲线外推发现, 二者在持久实验进行上万小时后会出现交叉点。 由此可以预见, 对于几万小时以上的长时蠕变持久实验, 二者持久性能将出现反转。 从图4c 可以看出, 当实验温度超过650 ℃时, 1 t级SIMP钢的持久性能低于T91钢。 对于相同的持久断裂时间, 1 t 级SIMP 钢的持久实验应力比T91 钢略低5%~10%.


图5 为5 t 级SIMP 钢与T91 钢在400, 450, 600,700 和750 ℃的持久性能对比。 由图5a 和b 可知, 在400 和450 ℃, 5 t 级SIMP 钢的蠕变持久性能优于T91 钢, 且实验应力越高, 这种优势越明显。 这是由于在400 和450 ℃, SIMP 钢的抗拉强度远大于T91钢。 当实验温度上升至600 ℃时, 如图5c 所示, 5 t级SIMP钢与T91钢具有相近的短时持久性能。 同样根据2 种材料的应力-断裂时间曲线的斜率可以预知, 5 t 级SIMP 钢的长时蠕变持久性能低于T91 钢。
而在700 和750 ℃, 如图5d 和e 所示, 5 t SIMP 钢的持久性能比T91钢低。
1 t 级SIMP 钢和5 t 级SIMP 钢在温度不超550 ℃时, 蠕变持久性能优于T91钢。 这主要是由于其C含量显著高于T91钢所致。 一方面, 在马氏体相变过程中, 相变产生的位错数量与C 含量成正比。
因此SIMP 钢的位错密度高于T91 钢, 位错强化效果亦大于T91 钢。 较高的位错密度限制了SIMP 钢中位错的运动, 抑制材料发生塑性变形; 另一方面, 由于SIMP 钢中的C含量高, 在回火过程中析出的碳化物数量多、尺寸大, 因此SIMP 钢在相对低的温度下析出相强化效果大于T91 钢。 由于上述2方面原因, SIMP 钢在相对低的温度下具有优异的蠕变持久性能。
然而, SIMP钢在高温下的蠕变性能却低于T91钢。 一方面, 温度升高, 使位错攀移更容易进行, 位错通过攀移湮灭, 位错密度下降导致SIMP 钢位错强化效果减弱。 更重要的原因是, SIMP 钢中的碳化物在高温条件下发生Ostwald 熟化, 导致其蠕变持久性能大幅下降。
在回火的中后期, 驱动第二相沉淀析出的化学势已消耗殆尽, 第二相析出反应近乎达到平衡态。 在随后的长时服役过程中, 析出相发生Ostwald 熟化。
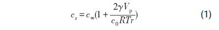
从热力学角度上看, 使Ostwald熟化能够发生的驱动力是析出相与基体的界面能。 在相同的析出相体积分数下, 析出相尺寸越大、个数越少, 则析出相与基体界面面积越小, 界面能越低。 为使总界面能最低,析出相自发地通过扩散而长大。 从微观角度分析, 析出相的Ostwald 熟化是由于弯曲界面会对曲率中心造成附加的压应力, 导致界面两侧溶质的平衡浓度不同。 溶质原子的平衡浓度随着曲率的变化而变化,曲率半径为r 的析出相的周围溶质浓度cr为:

式中, c∞ 为曲率半径为无限大的析出相的周围溶质的浓度, g 为析出相与基体之间的界面能, Vp为析出相的摩尔体积, c0为扩散控制型溶质原子在基体内的平衡浓度, R 为气体常数, T 为热力学温度。 式(1)表明, 小尺寸析出相周围溶质原子的浓度大于大尺寸析出相周围溶质原子的浓度, 故小尺寸析出相的溶质将向大尺寸的析出相扩散, 这导致小尺寸析出相溶解, 大尺寸析出相长大。
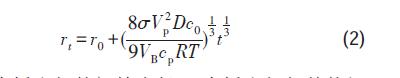
经推导, 析出相的尺寸rt随时效时间t的变化为:

式中, r0为析出相的初始半径, s 为析出相与基体间的界面能, VB为扩散控制性元素的摩尔体积, D为溶质原子在基体中的扩散系数, cp为扩散控制型溶质原子在析出相内的浓度。式(2)表明, 析出相的Ostwald熟化程度是温度和第二相形成元素浓度的函数。 温度越高, 溶质浓度越大, 析出相Ostwald 熟化程度越显著。 在较低的温度下, 析出相的熟化程度较小。 当温度超过550 ℃时, 由于析出相发生Ostwald熟化, 材料的高温力学性能将显著降低。 而C和Cr 含量较高的SIMP钢的析出相熟化程度大于C和Cr 含量较低的T91 钢, 因此其在高温条件下的蠕变性能低于T91 钢。 图6 为1 t 级SIMP 钢在650 ℃时效120 和2400 h 显微组织的SEM 像。 可以看出,当时效120 h 后, SIMP 钢基体中存在大量尺寸细小的碳化物。 时效2400 h 后, 析出相发生显著的粗化,基体中析出相的数量降低, 尺寸增大, 析出相间的平均距离增大, 沉淀强化作用降低。 此外, 这些粗大的碳化物有可能成为蠕变空洞的聚集地, 有助于蠕变微裂纹的产生, 并导致材料发生蠕变断裂。 由此可知, 高温条件下, SIMP 钢中的析出相熟化导致其高温蠕变性能比T91钢低。

需要指出, 尽管ADS系统结构材料的服役温度区间是在300~800 ℃, 但多数情况下, 其服役温度不超过550 ℃, 此时碳化物的Ostwald 熟化进行得非常缓慢。 为使SIMP 钢在550 ℃以下具有良好的蠕变性能, 成分设计时有意提高了SIMP 钢中的C含量。 尽管这削弱了其高温持久蠕变强度, 但考虑到工程实际应用, 这种设计理念是可取的。
2.3 SIMP钢的高温抗氧化性能
在600 ℃ 及以下温度的空气气氛中, 1 t 级SIMP 钢(下同)和T91 钢均表现出完全的抗氧化性,从氧化动力学曲线和氧化增重曲线上看不出明显的差别。 但当温度升高到700 和800 ℃时, 两者之间的抗氧化性能存在明显差异。 图7 和8 分别给出了SIMP 钢和T91 钢在700 和800 ℃空气气氛下的氧化动力学曲线。 可以看出, 在这2 个较高的温度下,SIMP 钢的抗氧化性能明显优于T91 钢。 SIMP 钢在700 和800 ℃空气气氛下均具有完全的抗氧化性能, 而T91 钢则不具有完全的抗氧化性能。 图9 为SIMP钢和T91钢在700 ℃空气中氧化500 h 的氧化层截面形貌的SEM像。 可见, SIMP钢的氧化层平均厚度为2~5 mm, 而T91 钢则达到约120 mm. 相应的XRD 谱(图10)表明, 在700 ℃氧化500 h 后, SIMP钢表面上的氧化物主要是Cr2O3 和铬锰尖晶石(Mn1.5Cr1.5O4), 非常致密, 可以在空气气氛中很好地隔绝基体与O2的接触, 从而保护基体不受氧化; 而T91钢表面上的氧化膜主要是Fe2O3, 氧化膜极厚。



SIMP 钢在700 ℃空气中氧化500 h 后形成的氧化膜厚度远小于T91 钢, 氧化增重速率远低于T91 钢, 表现出优异的抗高温氧化性能。 SIMP 钢中的Cr 和Si 含量均高于T91 钢, 导致SIMP 钢与T91钢的高温氧化性能存在差异。首先, SIMP 钢中含有10.24%Cr, 高于T91 钢中的Cr 含量(8.5%), 且SIMP 钢的晶粒尺寸比T91 钢小。 在初始氧化阶段,依靠相对于基体较强的Cr 沿晶界扩散和氧气形成的对流扩散,致使在SIMP钢表面形成了连续致密的Cr2O3氧化膜, 氧化膜与基体结合良好且没有发生剥落。 随着氧化时间延长, SIMP 钢基体和氧化膜之间由于Cr 的低迁移速率形成稳定的贫Cr 层。
其次, 虽然少量研究工作认为Si 的添加提高了材料的氧化速率, 但大部分研究认为少量的Si显著降低材料的氧化速率, 从而提高其抗氧化性能。 SIMP钢中含有1.22%Si, 远高于T91钢中的Si 含量(0.38%), Si 优先氧化为SiO2, 然后可能与低氧分压下形成的FeO反应生成Fe2SiO4, Fe2SiO4的存在阻碍Fe2+的扩散, 在一定程度上提高了钢的抗高温氧化性能。 一旦在氧化膜和基体之间形成一层连续的Fe2SiO4, 将进一步阻止Fe2+由基体向氧化膜扩散。 当Fe2+扩散被阻碍后, 氧化膜中的Fe2+将减少, 因此钢的氧化速率降低。 此外, SiO2颗粒的形成可作为Cr2O3的形核位置, 并且提高Cr 在金属基体的内扩散系数, 促进保护性Cr2O3氧化膜的形成。因此, 在SIMP 钢中的Cr 含量低于形成保护性的Cr2O3所需最低浓度情况下, 依然能够形成连续致密的Cr2O3. 另外SiO2极大地提高了Cr2O3氧化膜和基体之间的黏着力。
2.4 SIMP钢与液态LBE合金的相容性
大多数合金元素在LBE合金中都有一定的溶解度, 而且随温度升高而增加。 液态Pb及Pb-Bi 合金腐蚀是一个涉及物理化学的过程, 包括元素溶解、液固相质量传输、腐蚀产物和杂质间反应等, 会改变结构材料的组织、成分和表面形貌。 因此, SIMP 钢与LBE 合金中的相容性研究主要包括合金的氧化、合金元素溶解腐蚀和力学性能稳定性。 在这3 个方面中, LBE合金中氧含量和温度2 个因素对于氧化和溶解腐蚀2 个方面的作用影响显著。 控制LBE 合金中的氧含量, 可以使得所生成的氧化膜有效地隔离液态金属, 提高抗氧化性能。 反之, 若LBE 合金中氧含量过高, 氧化膜中积聚较高氧势, 会使氧化过程加剧; 若LBE合金中氧含量过低, 在钢的表面不能形成连续的氧化膜隔离LBE合金的直接接触, 将会发生直接溶解腐蚀。 温度的影响较为简单, 温度越高越易于氧化和溶解腐蚀。本工作主要研究SIMP钢在LBE中的氧化和力学性能稳定性2 个方面。
2.4.1 在LBE合金中的抗氧化性能。铁素体/马氏体耐热钢在高温高压水、超临界水等环境中的氧化膜生长速率要远远大于在干燥空气中的速率,在含有饱和氧的LBE合金中更是如此。
图11 为1 t 级SIMP钢(下同)和T91 钢在600 ℃的静态饱和氧液态LBE 合金中腐蚀100, 500 和1000 h 后的氧化膜截面形貌的SEM像。 图12 为腐蚀层厚度随腐蚀时间的变化。 可以看出, 经过相同腐蚀时间后, SIMP 钢表面形成的氧化膜厚度均明显小于T91 钢, SIMP钢和T91 钢的氧化膜厚度增长抛物线速率常数分别为2.97×10-12和2.06×10-11 cm2/s,SIMP 钢的抛物线常数低于T91 钢一个数量级, 在600 ℃静态饱和氧LBE 合金中表现出良好的抗氧化腐蚀性能。 除了氧化层厚度上的差别以及SIMP钢在100 h 发生不均匀腐蚀以外, SIMP 钢和T91 钢的氧化特征相似。 SIMP 钢在腐蚀100 h 后表面未生成完整连续的氧化膜, 局部呈岛状腐蚀, 局部被LBE合金润湿的部位最先腐蚀, 并向两侧发展逐渐连接成片, 优先被腐蚀部位的氧化膜与基体之间存在内氧化层(internal oxidation zone, IOZ)。 此时可以较直观地观察氧化膜的生长机制, 即内层氧化膜沿原始表面向内生长, 外层氧化膜沿原始表面向外生长, 此时形成的氧化层结构特征尚不明显(图11a)。


随着试样在LBE 合金中腐蚀时间增加至500 和1000 h 后, SIMP 钢表面均形成了双层的氧化膜结构, 氧化膜厚度分别为32 和45 mm, 内层氧化膜存在Fe 扩散出去形成外层氧化膜而留下的空位,SIMP钢的氧化膜厚度不均, 内层氧化膜与IOZ之间呈锯齿形, 且氧化膜与基体之间存在明显的内氧化层, 厚度分别达到13 和24 μm (图11c 和e)。 而对比材料T91 钢在静态饱和氧LBE合金中腐蚀100 h 后已经形成了厚度为32 μm的氧化膜(图11b), 腐蚀时间增加至500 和1000 h 后, 氧化膜厚度分别增加至67 和96 μm, 且氧化膜存在贯穿性裂纹, 如图11b 和d 所示, 氧化膜和基体之间存在IOZ, 但厚度明显小于SIMP 钢, 氧化膜与IOZ 之间存在Fe 扩散后留下的空位带。

图13 为SIMP钢和对比材料T91 钢在静态饱和氧液态LBE 合金中腐蚀1000 h 氧化膜EPMA 元素线扫分布。 可以看出, SIMP 钢和T91 钢表面上均形成了双层的氧化膜结构, 外层氧化膜包括最外层白色的Pb, Fe 和O形成的复杂氧化物(SIMP 钢和T91钢分别为PbFe12O19 和PbFe6O10)和次外层深灰色的Fe3O4, 内层氧化膜为Fe-Cr 尖晶石, 外层氧化膜与内层氧化膜存在明显的界限, 且氧化膜与基体之间都存在IOZ. SIMP 钢和T91 钢氧化膜主要区别在于Fe-Cr 尖晶石和IOZ. SIMP 钢中由于Fe 扩散留下的空位均匀分布在尖晶石区, 而T91 钢主要集中在尖晶石和IOZ区的界面处, 且SIMP钢的尖晶石和IOZ界面呈波浪状, 其IOZ厚度远大于T91钢。

图14 为SIMP钢和对比材料T91钢在600 ℃静态饱和氧液态LBE合金中腐蚀1000 h 后内层Fe-Cr尖晶石氧化层的EPMA 元素面扫分布。 可以看出,Cr 和Si 在SIMP 钢表面上的Fe-Cr 尖晶石中均存在偏聚, 在IOZ 和基体之间存在贫Cr 区和贫Si 区, 这主要与元素的扩散有关。 而对比材料T91 钢表面的Fe-Cr 尖晶石氧化层按Cr 和Si 的分布分为A区和B区: A区靠近IOZ, Cr 和Si 存在偏聚; B区靠近Fe3O4氧化层, Cr 和Si 均匀分布。 T91钢的IOZ和基体之间与SIMP钢一样存在贫Cr 区和贫Si 区, 但没有SIMP钢明显。
SIMP 钢和T91 钢在LBE合金中氧化腐蚀性能的差异主要与2 种钢的化学成分差异造成其形成的内层Fe-Cr 尖晶石的成分和结构不同有关。 因为外层氧化膜没有保护性, 所以内层Fe-Cr 尖晶石结构的致密度对2 种钢的LBE抗氧化性能起到至关重要的作用。
SIMP 钢和T91 钢表面氧化膜厚度按照抛物线规律增长。 根据Wagner 氧化理论, 离子通过氧化膜的传输成为反应速率的控制步骤, 而SIMP 钢和T91 钢表面氧化膜和基体之间均有IOZ 存在, 因此SIMP 钢和T91 钢在LBE合金中的氧化速率主要取决于Fe2+的扩散速率[94]. IOZ 中的Fe2+扩散后形成新的Fe-Cr 尖晶石, 而Fe2+的扩散要经过Fe-Cr 尖晶石, 因此Fe-Cr 尖晶石层的致密度和缺陷浓度决定了Fe2+向外扩散的难易程度, 而这些又取决于其中的Cr 和Si 含量。另外, Si 在Fe-Cr 尖晶石中起到重要作用,Si 生成的SiO2 以掺杂的形式存在于Fe-Cr2O4中, 减少了尖晶石中的离子缺陷浓度, 降低了离子扩散速率。 SIMP钢表面Fe-Cr 尖晶石中的Cr 和Si 含量高于T91 钢,尤其是Si 含量是T91 钢中的4倍之多, 因此SIMP 钢中的Fe2 +扩散速率低于T91钢, 形成的氧化膜厚度小于T91钢。

采用黏结法测试了SIMP 钢和T91 钢在600 ℃饱和氧液态LBE合金中腐蚀500 h 后氧化膜与基体之间的结合力, 如图15 所示。 SIMP钢表面形成的氧化膜具有最强的结合力, 拉脱力达到13.89 MPa, 在拉脱过程中仅有局部氧化膜剥离, 而T91 钢的氧化膜拉脱力为8.16 MPa, 氧化膜被全面拉脱。 因此SIMP钢表面氧化膜与基体的结合力最强。


2.4.2 力学性能稳定性。从前文可以看出, 在含有饱和氧(不控氧)的液态LBE合金中, 温度越高,氧化越显著。 将热处理态1 t 级SIMP钢(下同)和T91钢拉伸试样在600 ℃含有饱和氧的液态LBE 合金中浸泡不同时间, 研究在苛刻条件下腐蚀后SIMP钢和T91 钢的室温及600 ℃高温短时拉伸力学性能的稳定性, 结果分别如图16 和17 所示。 SIMP 钢和T91 钢接触Pb-Bi 共晶500, 1000 和2000 h 后, 表面被氧化, 拉伸试样的实际承载面积减小。 而用于计算强度的名义面积由于疏松的氧化膜的计入反而增大, 如表4 所示。 因此, 实际计算得到的名义室温强度反而降低。

600 ℃高温拉伸强度略有下降, 总延伸率下降明显。 这是因为钢表面氧化膜中附着的Pb-Bi 共晶会在高温拉伸发生颈缩(大量流变)时渗入基体, 降低高温延性。

热处理态SIMP 钢若不与LBE 合金预接触处理, 直接在不同温度的LBE 合金中进行拉伸实验,均表现出很好的韧性, 没有LBE 合金致脆现象。 图18 给出了经760 ℃回火后的SIMP 钢在300 ℃(最易于出现LBE合金致脆现象的温度)和Ar 气氛中的拉伸结果。 可见, 其拉伸性能与在Ar 气氛下的拉伸结果相似, 没有任何脆性现象。 T91 钢也表现出相似的特性。
2.5 SIMP钢的抗辐照性能
2.5.1 He 离子辐照。研究表明, 在相同的He 离子辐照浓度下, T91 钢和1 t SIMP 钢(下同)中He 泡的尺寸随着辐照温度的升高而增大, 但是SIMP钢中He泡尺寸在300, 450 和550 ℃辐照温度下均比T91 钢中的He 泡尺寸要小。 SIMP 钢中位错密度、析出相数量均大于T91钢, 位错密度和细小的析出相均有利于吸收He 离子, 因此He 离子不容易聚集、长大, He 泡在SIMP 钢中的分布更加弥散。 因此, 与T91钢相比, SIMP钢具有较小的肿胀率, 更优的抗He辐照性能。
2.5.2 Fe 离子辐照。Zhu 等分别采用3.25和1.625 MeV 单能Fe 离子在室温, 300, 450 和550 ℃对SIMP钢和T91钢进行不同剂量的辐照, 研究了2 种钢在不同辐照条件下, 材料中辐照产生的缺陷信息等。 结果表明, 1.625 MeV的Fe 离子室温辐照后, 随着剂量的提高, 2 种钢的S 参数基本相同。 而温度效应中, 除室温辐照下2 种钢的S 参数相差不大外, 其余温度下SIMP 钢的S 参数均小于T91 钢。
3.25 MeV 的Fe 离子温度相关性研究数据表明, 除300 和450 ℃下2 种钢的S 参数基本一致外, 室温和550 ℃下SIMP钢的S 参数都明显小于T91 钢。 空位型缺陷的生成是材料中空洞与气泡形核的基础, 相同辐照条件下材料中产生的空位型缺陷较少意味着较低的空洞与气泡的形核率, 在一定程度上决定着材料的抗辐照肿胀性能。 因此, 从正电子测试结果推断, SIMP钢的抗辐照肿胀性能优于T91钢。
2.5.3 Kr 离子辐照。Li 等[101]研究了196 MeVKr 离子在不同温度下辐照SIMP钢及T91 钢的微观形貌。 结果表明, 2 种钢中辐照产生的空洞尺寸随着辐照温度的升高呈先增大再减小的趋势。 相比而言, 在相同条件下, SIMP 钢中的空洞尺寸最小, 说明在相同的Kr 离子辐照条件下, SIMP 钢具有更好的抗辐照肿胀能力。
综上所述, SIMP 钢具有较好的抗离子辐照肿胀性能, 主要原因有2 方面: (1) SIMP钢中的Si 含量相对较高(SIMP: 1.22%; T91: 0.38%, 质量分数), 因为Si 作为一种快速扩散的置换型溶质元素能够增强空位的移动能力, 增强复合, 降低空位在材料内部的过饱和浓度, 显著地抑制了辐照导致的肿胀;(2) SIMP钢具有相对细小的晶粒以及较窄的马氏体板条组织, 使得气泡在材料内部的分布更加弥散,单个尺寸更小, 也起到了抑制肿胀的作用。 总体看来, SIMP钢具备不亚于甚至优于T91钢的抗辐照肿胀性能。
3 结论与展望
SIMP 钢在成分设计上通过调配C, Cr 和Si 这3个重要合金元素, 获得了全马氏体组织, 与T91钢相比, 表现出更加优异的耐高温、抗辐照、耐液态金属腐蚀能力。 SIMP 钢的制备已从实验室规模走向较大的工业化生产规模, 其关键焊接工艺研究也已完成工程应用性探索。 当前, SIMP钢是国内ADS嬗变系统中散裂靶结构材料的最佳候选材料, 有望尽快在各类核反应装置中得到推广应用。
更多关于材料方面、材料腐蚀控制、材料科普等方面的国内外最新动态,我们网站会不断更新。希望大家一直关注中国腐蚀与防护网http://www.ecorr.org
责任编辑:王元
投稿联系:编辑部
电话:010-62313558-806
中国腐蚀与防护网官方 QQ群:140808414
免责声明:本网站所转载的文字、图片与视频资料版权归原创作者所有,如果涉及侵权,请第一时间联系本网删除。
-
标签: 加速器驱动次临界(ADS)系统, 核结构用钢, 耐热, 辐照, 液态金属腐蚀
官方微信
《中国腐蚀与防护网电子期刊》征订启事
- 投稿联系:编辑部
- 电话:010-62316606-806
- 邮箱:fsfhzy666@163.com
- 中国腐蚀与防护网官方QQ群:140808414



