赵博,杜翠薇,李晓刚,刘智勇,李汉荣
北京科技大学腐蚀与防护中心,北京,中国,100083
Email: zhaobo19840626@gmail.com, 北京市海淀区学院路30号

作者简介
赵博,男,汉族,1984年6月出生,现为北京科技大学新材料技术研究院2009级博士研究生,主要研究方向为高强管线钢的应力腐蚀等。2006年本科毕业于北京科技大学材料学院,获得工学学士学位;2009年研究生毕业北京科技大学材料学院,获得工学硕士学位。曾研究方向包括输油管道缓蚀技术开发、高分子复合材料制备以及电解法降解工业废水等。
赵博同志为人认真严谨、脚踏实地,在科学研究中能沉稳踏实、刻苦勤奋,追求真理。同时,能做到不死板、不教条,擅长发挥逆向思维和创造性思维解决问题,对待事物往往具有自己独特的灼见。
在课余生活方面,赵博同志性格开朗,爱好广泛,能力全面,乐于与人交往,除本职科研工作外,尤其擅长体育、文艺表演。会演奏多种乐器,曾多次在全国、省市级器乐比赛中获奖。曾在校团委等多个学生组织中担任工作职务,并于2010年-2011被推荐至中国共青团中央挂职锻炼一年,并参与2010年上海世博会、广州亚运会等大型赛会筹备工作,受到领导、同事的一致好评。曾作为主要负责人多次参与组织大型活动,并曾多次获得“北京市优秀学生干部”、“北京科技大学励志奖学金”、“北京科技大学优秀研究生干部”等多种荣誉称号及奖励。
摘 要: 本文采用咪唑啉衍生物、竹叶提取物(BLE)、碘化钾(KI)等物质复配得到一种复配型缓蚀剂,并通过电化学实验与和浸泡实验对其缓蚀能力进行了评估。实验结果证明该缓蚀剂在含饱和CO2的油气田采出水模拟溶液中对X80钢具有良好的缓蚀效果。经测定,三种组分在最佳配比下,复配缓蚀剂的缓蚀率可达98.81%,协同效应参数为1.04。根据动电位极化曲线结果,复配缓蚀剂属于以阳极抑制为主的混合型缓蚀剂,添加后X80钢的腐蚀电位有明显提高,腐蚀电流密度下降。根据电化学阻抗谱结果,添加复配缓蚀剂后溶液高频容抗弧半径明显增大,低频感抗弧消失,Fe的溶解受到了明显抑制。根据样品浸泡实验的SEM表面形貌可知,在添加复配缓蚀剂后,X80钢的腐蚀明显减轻。经分析可知,三种成分中咪唑啉衍生物具有优良的缓蚀能力;竹叶提取物在添加适量的情况下可以提高复配缓蚀剂的缓蚀能力,但添加过高有效成分会与咪唑啉衍生物产生拮抗效应,从而降低复配缓蚀的缓蚀效率;KI单独对X80钢不能起到缓蚀作用,但可增强其他两组分复配的协同效应。
关键词:竹叶提取物(BLE),二氧化碳腐蚀,缓蚀剂,协同效应
1 引言
近年来,国内外缓蚀剂科学技术取得了长足的进步。在众多的CO2缓蚀剂中,咪唑啉类有机缓蚀剂因其特殊的结构组成,具有高效、低毒和生物易降解等特点。多年来,一直受到国内外科研人员的高度重视,其研究和应用得到迅速发展。作为酸性介质中常用的缓蚀剂,咪唑啉类缓蚀剂可有效抑制CO2、H2S和HCl对铁、铝、铜等金属的腐蚀,目前被广泛应用在石油石化、化学清洗等行业使用。郑岩成等[1]等通过向咪唑啉单体中滴加加热的含有异丙醇和水的混合溶剂的氯化苄,促促使其季铵化,在缓蚀剂添加量为1%时,在150℃下含12%的HCl的饱和CO2溶液中对Q235钢的缓蚀效率可达95.1%。Guoan Zhang[2]等通过硫脲改性制成一种咪唑啉缓蚀剂,在添加量为20ppm时,对含5%NaCl的饱和CO2溶液中的X65钢缓蚀效率中达到98.85%,并且缓蚀效率随浸泡时间增大而延长。,
此外,国内外专家学者一致认为,在今后的研究中从天然动、植物中提取缓蚀剂组分开发天然环保型缓蚀剂成为缓蚀剂工作研究的重点方向。
我国号称“竹子王国”,是世界上最主要的产竹国,具有面积广阔且品质优良的竹林,2009年我国竹林面积达484.26公顷。且竹叶具有生长快、可持续利用性强等特点,可作为普遍廉价的可再生资源。用竹叶提取物制作缓蚀剂的研究最早开始于1995年[3],并在近些年得到一定发展[4]-[6]。但目前竹叶提取物缓蚀剂主要用于酸洗,对CO2腐蚀应用较少,并且复配以无机物为主,对有机物的复配基本没有研究。
本文采用咪唑啉衍生物、竹叶提取物、KI等进行复配,并对复配缓蚀剂的缓蚀能力进行研究,以开发一款新型环保、高效的缓蚀剂。
2实验材料与设备
2.1实验材料
咪唑啉衍生物为实验室合成的油酸基咪唑啉。竹叶粉采用自采鲜竹叶,产地北京,去泥洗净后置于烘干箱中50℃恒温烘干,粉碎,经300μm筛选,贮于广口瓶中备用。其他药品如Na2SO4、NaCl、NaHCO3、KI等均为分析纯,腐蚀介质采用去离子水配制。实验所用钢材为国产X80钢,化学成分(质量分数,%)为:Fe 96.921,C 0.036,Si 0.197,Mn 1.771,P 0.012,S0.002,Cr 0.223,Ni 0.278,Cu 0.220,Al 0.021,Ti 0.019,Mo 0.184,V 0.001,Nb 0.110,N 0.005。
实验采用石油产出水模式溶液,主要离子含量如表1所示。
表1. 模拟溶液主要离子含量(mg/L)
| Na+ (mg/L) |
HCO3- (mg/L) |
SO42- (mg/L) |
Cl- (mg/L) |
| 8.5×103 | 2.7×103 | 0.3×103 | 6.5×103 |
2.2竹叶提取溶物的制备
取一定量自制竹叶粉溶于200ml去离子水中,静置30min使其完全浸润,随后置于超声波分散器中震荡30min,取出静置30min,过滤后留取母液并加去离子水稀释至额定体积,用玻璃棒搅拌5min后制得。
3实验内容
采用正交实验,具体方案见表2。
表2.正交实验中各组分配比
| 实验编号 | 咪唑啉衍生物 (mg/L) |
竹叶提取液 (g/L) |
KI (mg/L) |
| 1 | 0 | 0 | 0 |
| 2 | 30 | 0 | 0 |
| 3 | 0 | 10 | 0 |
| 4 | 0 | 0 | 0.1 |
| 5 | 0 | 50 | 0 |
| 6 | 30 | 10 | 0 |
| 7 | 30 | 10 | 0.1 |
| 8 | 30 | 50 | 0 |
| 9 | 30 | 50 | 0.1 |
3.1显微组织分析
采用美国POLYVAR公司Polyvar MET金相显微镜观察金相组织。钢材用电木粉进行封装,裸露面积为10mm×10mm,抛光至镜面后用4%的硝酸酒精浸蚀。
3.2电化学评估
电化学实验在Princeton Applied Research VPM3电化学工作站进行,采用三电极体系。工作电极背面焊接Cu导线,环氧包封,裸露面积为10mm×10mm,经金相砂纸逐级打磨至1000号,并依次用去离子水、酒精擦拭后吹干。辅助电极采用Pt电极,参比电极采用饱和甘汞电极(SCE),室温下进行。#p#副标题#e#
3.2.1动电位极化曲线
动电位极化曲线扫描速率为5mV/s,扫描范围为相对开路电位-300mv—800mv。
缓蚀性能评估主要通过动电位极化曲线和电化学交流阻抗谱进行,其中缓蚀率参照行业标准SY/T5273-2000进行计算,计算下公式如下:
(1)式中:η为缓蚀率,%;Ic0为空白溶液中腐蚀电流密度,mA/cm2;Ic1为加缓蚀剂溶液中腐蚀电流密度,mA/cm2。
缓蚀剂协同效应测定采用Aramaki和Hackerman[7]提出的协同效应参数测定公式,即协同效应参数S为:
(2)式中:S为无量纲数值;ηA为A物质的缓蚀效率;ηB为B物质的缓蚀效率;ηAB指同时添加物质A和B时的缓蚀效率。
当协同效应参数S>1,说明两种缓蚀剂之间存在协同效应;当S<1,则说明两种缓蚀剂之间存在拮抗效应;当S=1,说明两种缓蚀剂之间相互独立作用,互相之间没有影响。
此外,如果其中某一组分的缓蚀效率较高,可以适当降低协同效应参数S的评价标准。
3.2.2电化学阻抗谱
电化学阻抗谱均在开路电压下进行,所加正弦扰动电压幅值为10mV,交流新号频率范围为100KHz—10MHz。
3.3浸泡实验
选用复配效果最好的缓蚀剂与空白溶液在饱和CO2溶液中进行常温浸泡,浸泡时间为72h,采用Quanta250环境扫描电镜观察样品表面。
4 实验结果与讨论

图1. X80钢金相组织
由图1可见,X80钢组织主要为较大的针状铁素体和块状铁素体为主,间或存在粒状的贝氏体。其中针状铁素体晶粒尺度不一,界线模糊,不能观察到完整连续的晶界。块状铁素体呈多边形状或板条状均匀分布,晶界较为清晰。分布较为均匀。其中针状铁素体组织中含C 量较低,铁素体板条相界不存在碳化物。同时,由于转晶内位错密度高,使钢材韧性提高,从而大幅提高钢材的强度,同时也可能使降低X80钢的抗腐蚀能力。
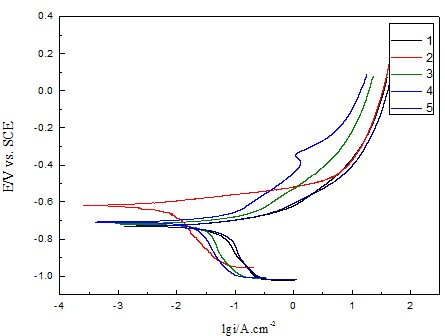
图2(a)-(b)为在室温下含饱和CO2的模拟石油产出水溶液中,以油酸基咪唑啉、竹叶提取液和碘化钾单独为缓蚀剂的X80钢动电位极化曲线和Nyquist图。根据图2(a)实验结果,油酸基咪唑啉为阳极型缓蚀剂,以阳极抑制为主。添加30mg/L后阴极曲线没有明显变化,阳极反应受到了较大的抑制,材料的腐蚀电位正移,腐蚀速率降低。竹叶提取物相较油酸基咪唑啉为以抑制阳极为主的混合型缓蚀剂,反应的阴阳极均受到一定程度抑制,其中阳极反应受抑制较大,腐蚀电位正移幅度较低,腐蚀速率的抑制程度较油酸基咪唑啉为低。这是因为竹叶提取物中含有氨基酸、黄酮、多糖生物碱等物质,一方面具有化学N、O等电负性较大原子,并且存在未成对电子,是良好的配位体,可与Fe的d轨道产生配位,形成化学吸附,阻碍腐蚀反应的进行。另一方面,由于CO2的通入,溶液呈酸性,含有大量的H+离子,可与竹叶提取物中的氨基结合形成正价离子,并富集在阴极周围,阻碍反应的进行。同时溶液中的50g/L竹叶粉提取液的缓蚀剂缓蚀效率高于10g/L,说明单一组分下,竹叶提取物浓度增加缓蚀效果提升。KI基本没有缓蚀作用。




图2. 各组分对含饱和CO2的模拟溶液中X80钢的的电化学评估
(a) 动电位极化曲线:组分1-5 (b)Nyquist图:组分1-5
(c) 动电位极化曲线:组分1,6-9 (d)Nyquist图:组分1,6-9
表3. 实验数据分析表
| 实验编号 | 缓蚀剂成分 | 缓蚀率 (%) |
协同效应参数 | ||
| 咪唑啉衍生物 (mg/L) |
竹叶提取液 (g/L) |
KI (mg/L) |
|||
| 1 | 0 | 0 | 0 | 0 | ---- |
| 2 | 30 | 0 | 0 | 90.03 | ---- |
| 3 | 0 | 10 | 0 | 35.33 | ---- |
| 4 | 0 | 50 | 0 | 70.49 | ---- |
| 5 | 0 | 0 | 0.1 | 0 | ---- |
| 6 | 30 | 10 | 0 | 96.61 | 0.74 |
| 7 | 30 | 10 | 0.1 | 98.81 | 1.04 |
| 8 | 30 | 50 | 0 | 69.8 | 0.13 |
| 9 | 30 | 50 | 0.1 | 77.61 | 0.22 |
根据曹楚南[8]的观点,对于几何覆盖效应的缓蚀剂来讲,其金属电极总的法拉第覆盖效应为:
(3)
式中:YF为总的法拉第导纳; θ为覆盖度; Rtθ/为阴极反应和阳极反应总的传质电阻;YF0 为未覆盖面积的法拉第导纳。#p#副标题#e#
从式中可看出,缓蚀剂的效率线性正比与覆盖度θ。若缓蚀剂覆盖效率很高,则(1-θ)可近似等于0,则公式可简写为:
(4)
此时工作电极总的法拉第阻抗ZF为为YF倒数,即数值为Rtθ/θ的电阻,相应Nyquist图上表现为一高频阻抗弧。
若覆盖度不足,则(1-θ)项不能近似等于0,式中(1-θ)YF0项不可省略,相应Nyquist图仍保留未添加缓蚀剂溶液的特征。
因此,在单独以竹叶提取物为缓蚀剂时,由于缓蚀剂覆盖度不足,保留了空白溶液中的低频感抗弧特征;而在以油酸基咪唑啉为缓蚀剂时,由于覆盖度相对较高,Nyquist图中出现了高覆盖情况下的阻抗谱“退化”行为,只有单一的高频容抗弧,且容抗弧半径更高,说明Fe的溶解反应受到了更高程度的抑制。
图2(c)-(d)为在室温下含饱和CO2的模拟石油产出水溶液中,以油酸基咪唑啉、竹叶提取液与KI复配缓蚀剂的X80钢动电位极化曲线和Nyquist图。根据图2(c)中所示,复配缓蚀剂为以阳极抑制为主的混合型缓蚀剂,与咪唑啉衍生物和竹叶提取物单独作为缓蚀剂对比,腐腐蚀电位更正,蚀电流更小,说明两者的复配起到了一定得协同作效应。这可能在是因为在低浓度下,竹叶提取物中含有的苯环等物质的空间位阻以及吸附性能导致吸附膜更加致密,促进复配缓蚀剂的缓蚀效率提高。而加入KI后则进一步提高了复配缓蚀剂的协同效应,缓蚀率进一步提高。其中,组分7的复配缓蚀剂缓蚀效果最佳,缓蚀率达到98.81%。此时,复配缓蚀剂的协同效应参数为1.04。.值得注意的是,当竹叶配比达50g/L时,复配缓蚀剂的缓蚀效果反而较配比较低的(10g/L)为差,甚至不如油酸基咪唑啉单独的缓蚀效果。这可能是因为竹叶提取物中有效的缓蚀成分氨基酸、黄酮等物质,可能其浓度过高时与油酸基咪唑啉产生对钢材表面的吸附竞争,从而产生一定拮抗效应。图3(b)也证明了动电位极化曲线的分析,即复配缓蚀剂的缓蚀率为:组分7>组分6>组分9>组分8。

图3. 使用/不使用缓蚀剂进行浸泡实验后的SEM照片
(a)空白溶液, 500X (b)复配缓蚀剂(组分7), 500X
(c)空白溶液, 5000X; (d) 复配缓蚀剂(组分7), 5000X
图3为选取组分7的缓蚀剂与空白溶液在浸泡实验后的SEM图像对比。根据图中所示,在空白溶液中X80钢腐蚀严重,主要腐蚀产物为FeCO3,腐蚀产物孔洞疏松,对基体没有保护作用。添加竹叶提取物后,腐蚀产物性质没有发生变化,但随竹叶提取物添加量而致密,且腐蚀相对轻微,钢材基体得到一定的保护。而加入复配缓蚀剂后,腐蚀明显降低,钢材表面只基本没有腐蚀产物存在,证明起到良好的缓蚀效果。
5结论
(1)油酸基咪唑啉和竹叶提取物在含饱和CO2的石油产出水模拟溶液中分别都能对X80起到一定的缓蚀效果,其中油酸基咪唑啉的缓蚀效果更佳。
(2)单独添加竹叶提取物时,溶液的Nyquist图保留空白溶液的特征,即存在一低频感抗弧,通过分析证明是因为对钢材表面的覆盖率不够。单一组分油酸基咪唑啉则只存在一个低频容抗弧,具有更加理想的缓蚀效果。
(3)采用油酸基咪唑啉复配、竹叶提取物、KI等组分制成的复合缓蚀剂能进一步提高缓蚀性能,其中竹叶提取物添加量不宜过大,否则复合缓蚀剂会产生一定拮抗效应,降低缓蚀效率。最佳配比为油酸基咪唑啉30ppm,竹叶提取物10g/L,KI 0. 1mg/L,缓蚀效率达到98.81%。
References(参考文献)
[1] Zheng Yancheng, Zhang Xiaodan, Ning Xiaowei. Synthesis and evaluation of inhibitor of Imidazoline quaternary ammonium[J]. Journal of Oil and Gas. 2008, 30(6): 307-309.
郑延成, 张晓丹, 宁晓威. 咪唑啉季铵盐缓释剂的合成及性能评价. 石油天然气学报[J]. 2008, 30(6): 307-309.
[2] Guoan Zhang. Evaluation of inhibition efficiency of an imidazoline derivativein CO2-containing aqueous solution. Materials Chemistry and Physics, 2007, 105: 331-340.
[3] Zhang jian. Study on extracting effective components in bamboo leaves to prepare corrosion inhibitor [J]. Plating & Surface Finishing, 1995, 17, 2: 4.
[4] Zhang Jian, Lei Haihui. The synergistic inhibition of fish viscera hydrolysates (FVH) and bamboo leaf extrat (BLE) in chlorhydric acid medium[J]. Corrosion and Protection Technology. 1996, 8: 84-86
张建, 雷海辉. 鱼内脏水解液与(FVH)与竹叶提取液(BLE)在HCl介质中的协同缓蚀作用[J]. 腐蚀与防护技术. 1996, 8: 84-86.
[5] Hui Fu, Xianghong Li, Xuping Xiao. Inhibition of Dendrocalamus latiflorus bamboo leaves extract for cold rolled steel in acid medium[J]. Corrosion and Protection, 2009,30(8): 548-550.
付惠, 李向红, 肖旭萍. 麻竹竹叶提取物在酸性介质中对冷轧钢的缓蚀作用[J]. 腐蚀与防护,2009,30(8):548-550.
[6] Deng Shurui, Li Xianghong. Study on Corrosion Inhibition Performance of Phytlostachys sulphurea Leaves Extract[J]. Chemistry and Industry of Forest Products, 2010, 30(5): 81-86.
邓书瑞, 李向红. 金竹叶提取物的缓蚀性能研究[J]. 林产化学与工业, 2010, 30(5): 81-86.
[7] Cao Chunan. Electrochemical methods on inhibitors[J]. Corrosion and Protection Technology. 1990, 2(1): 1~9.
曹楚南. 关于缓蚀剂研究的电化学方法[J].腐蚀科学与防护技术, 1990, 2(1): 1~9.
[8] Aramaki, Kunitsugu. Synergistic inhibition of zinc corrosion in 0.5 M NaCl by combination of cerium(III) chloride and sodium silicate[J]. Corrosion Science, 2002, 44(4): 871-886.
-
标签: 竹叶提取物(BLE), 二氧化碳腐蚀, 缓蚀剂, 协同效应
官方微信
《中国腐蚀与防护网电子期刊》征订启事
- 投稿联系:编辑部
- 电话:010-62313558-806
- 邮箱:fsfhzy666@163.com
- 中国腐蚀与防护网官方QQ群:140808414


