合金元素对海洋用钢全浸区腐蚀的影响规律
关于合金元素对耐海水钢全浸区腐蚀的影响的研究很多,由于试验方法、试验条件、合金元素的组合及暴露时间的长短等的不同,合金元素对耐海水钢全浸区的腐蚀性能的影响有不尽一致或互相矛盾的结果和观点。代表性的观点有两个:
①少量合金元素对提高钢在海水全浸区的耐蚀性有良好的效果,提高钢的耐蚀性的合金元素有Cr、Al、Si、P、Cu、Mn、Mo、Nb、V等;
②所有不同类型的碳钢和低合金钢在海水中的腐蚀速率几乎是相等的,添加少量Mn、Cu、Cr、Ni等元素对钢在海水中腐蚀速率的影响很小。
19种钢在青岛、舟山、厦门和榆林4个试验站暴露1、4、8、16年的腐蚀结果表明,有些锰钢短期暴露的耐海水腐蚀性比碳钢有所提高。但长期暴露,锰钢的耐海水腐蚀性能没有明显的提高。这与16种海洋用低合金钢在我国三个海域暴露7年的腐蚀试验得到相同的结果是一致的。因此,少量的Mn、Si、P、Cu、Al、Mo、Nb、V等或它们复合对耐海水钢腐蚀性的影响很小。
而铬钢在海水中腐蚀行为与碳钢有较大差别,这反映了铬元素对耐海水钢腐蚀性能影响的复杂性。黄桂桥分析了铬钢在青岛海水和文献上发表的其他海域的腐蚀数据,发现铬对钢耐海水腐蚀性的影响不仅与铬的含量有关,还与其他的复合合金元素有关。短期浸泡时,钢的耐海水腐蚀性随铬含量(无其他合金元索复合)增加而提高。长期浸泡,铬对钢的耐海水腐蚀性有害。约1%Cr与Mo、Al复合对耐海水钢腐蚀性的影响与单独添加1%Cr的影响没有明显差别。大于2% Cr与Mo、Al复合大幅度提高钢在海水中短期浸泡的耐蚀性,并使耐蚀性逆转时间明显推迟。小于1%Cr与Mn-Cu、Cu-Si-V、Ni-Cu-P、Ni-Cu-Si、Ni-Mn等元素复合对钢的耐海水腐蚀性有害。
国外为了研究合金元素对海水全浸区的腐蚀规律及影响,构建了一种合金影响模型,此模型由四方面理论组成,前两方面是腐蚀控制机制:①动态控制理论;②氧通过腐蚀层扩散理论,这两种理论只要涉及有氧腐蚀活动。过了理论点AP,主要涉及无氧腐蚀:③硫酸盐还原菌生长;④稳态厌氧菌控制过程。图1为海水全浸区腐蚀-时间模型以及模型参数的表示,其中AP为氧气扩散过程与厌氧环境控制过程的分界点,r0为氧扩散过程最初腐蚀速率,ca为前一阶段过渡为第二阶段时腐蚀产量,ra为厌氧环境最初腐蚀速率,rs为腐蚀发生终点cs对应的腐蚀速率。此模型研究合金元素的影响是通过合金元素含量的变化引起模型参数的变化,来表征合金元素对海水全浸腐蚀的影响规律,以上参数均可用来分析合金元素对耐蚀性的影响。具体分析如下:

1 Cr对海水全浸腐蚀影响
图2a中可以看出,Cr(≤2.5%)对非合金钢r0的影响效果很微弱,但是如果加入适量的Mo或Al,则很明显随着Cr含量增大,钢的r0减小,耐腐蚀性能现出增强。类似的现象在图2b也发生,但是随着Cr的增加ca的减小趋势随着Mo与Al的量起伏不定,并非2a图中那么明显,总之,ca受Cr影响较小;如期望相同,ra被Cr的量影响特别大,示于图2c。而cs,rs随Cr增加减小趋势的发生,则要求Cr含量增加到2%左右,但是虽有rs随Cr含量继续增加只会微弱下降。2e显示了不同化学组成的合金,腐蚀速率r0随Cr含量的增加减小的情况,综上可知,一定量的Cr对增加合金的耐腐蚀性是特别必要的,需要与其他合金(如Mo、Al)共同起作用,其含量值估计在2%-2.5%达到最佳。


图2 Cr含量对腐蚀参数的影响((a) r0,(b) ca ,(c) ra ,(d) cs、rs, (e)r0近似值)
2 Mo对海水全浸腐蚀影响
图3a与3b表明增加Mo含量对耐腐蚀性能的提高不是线性的,Mo含量小于0.5%的时候,适度增加Mo耐蚀性得到加强,但是之后增加含量对腐蚀几乎没作用。但当加入1.5%的Al之后,致使Mo的抗腐蚀性得到了进一步加强。

3 Cu对海水全浸腐蚀影响、
图4中Cu的加入相对而言几乎不影响r0与ca。最大的影响则是对ra,这表明Cu的加入抑制了缺氧过程的进展。与之相反的是,当缺氧条件过程进行的时候,适度的Cu含量会轻微地增加合金的耐蚀性。由于cs,rs均有所增加,表明当厌氧环境很充分的时候,Cu增加会增加腐蚀量,即减弱钢的耐蚀性。


图4 Cu含量对腐蚀参数的影响((a) r0,(b) ca ,(c) ra ,(d) cs、rs, (e)r0近似值)
4 Al对海水全浸腐蚀影响
图5a与5b表明Al的增加显著减小了腐蚀参数r0与ca,当Al的含量为(0-1.5%)这被r0的近似值得到证明。正如数据显示影响作用非线性,尽管还没有确切理论来解释。没有专门的数据显示cs与rs的变化,但是ra足以表明厌氧环境下,随着Al含量的增加耐腐蚀性有所下降。

图5 Al含量对腐蚀参数的影响((a) r0,(b) ca ,(c) ra ,(d) r0近似值)
5 Ni对海水全浸腐蚀影响
用来评估Ni增加提高耐蚀性的有效数据虽然有限,但是图6a中,r0近似值的变化趋势表明Ni的增加减弱了腐蚀的进程,但是继续增加Ni含量则会减弱合金耐蚀性,促使腐蚀行为的发生,Ni合金元素含量最佳值为2%以内。

6 Mn对海水全浸腐蚀影响
对比r0与rb曲线,可知开始Mn对腐蚀的抑制作用不明显,但是随着腐蚀过程的进行,Mn的存在提高了合金的耐蚀性。

7 Si对海水全浸腐蚀影响
从r0曲线来看,Si的作用比较微弱但是轻微有效,rb表明Si对合金耐蚀性是有益的,尤其当同其他合金元素一起加入时。

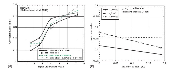
8 Ti对海水全浸腐蚀影响
图9表明Ti减少了腐蚀失重,同时改善了腐蚀参数r0,ca,ra,即Ti的加入明显提高合金的耐蚀性。

图9 (a)腐蚀失重预测Ti对腐蚀的影响(b) Ti含量对腐蚀参数的影响r0,ca, ra
官方微信
《中国腐蚀与防护网电子期刊》征订启事
- 投稿联系:编辑部
- 电话:010-62313558-806
- 邮箱:fsfhzy666@163.com
- 中国腐蚀与防护网官方QQ群:140808414


