刘智勇1,3,李晓刚1,2,王福明3,杜翠薇1,2
基金项目:国家自然科学青年基金(50901041)和中国博士后基金(20100480196)。
1.北京科技大学腐蚀与防护中心,北京,中国,100083
2.腐蚀与防护教育部重点实验室,北京,中国,100083
3. 北京科技大学冶金与生态工程学院,北京,中国,100083
通讯作者:liuzhiyong7804@126.com。
个人简介:
| 姓 名 | 刘智勇 | ![]() |
| 所在所\中心 | 腐蚀与防护中心 | |
| 职 务 | 师资博士后 | |
| 职 称 | ||
| 通信地址 | 北京科技大学腐蚀与防护中心 | |
| 邮 编 | 100083 | |
| 办公地点 | 北京科技大学腐蚀楼502 | |
| 电 话 | 010-62333931转502 | |
| 传 真 | 010-62334005 | |
| 邮 箱 | Liuzhiyong7804@126.com |
1999.9-2003.7,于北京科技大学获金属材料工程专业工学学士学位;2003.9-2009.1,于北京科技大学获材料学专业工学博士学位;2009.4-2009.12,于加拿大卡尔加里大学机械工程与制造系从事博士后研究工作。2010.4至今,于北京科技大学新材料技术研究院做师资博士后。先后负责和参与国家自然基金、科技支撑项目、国家863项目、中国博士后基金、企业横向课题等几十项科研课题。具有丰富的材料腐蚀与防护、腐蚀断裂、失效分析等方面的研究经验。多次深入企业参观学习和调研,实践经验丰富。
主要研究方向:
管线钢土壤环境应力腐蚀行为及机理研究;
硫化氢环境应力腐蚀行为及机理研究;
材料工业环境腐蚀及失效分析。
科研业绩(包括发表论文、专利、著作、获奖等学术水平):
共在国内外材料腐蚀与防护领域专业杂志和会议上发表学术论文60余篇(第一作者31篇),其中7篇(第一作者)论文发表在腐蚀领域国际领衔刊物(Electrochemistry Communications、Electrochimica Acta、Corrosion Science和Corrosion)上,33篇被SCI、EI收录,4篇被ISTP收录。合著书一部,获批专利两项(一项为实用新型专利、一项为发明专利),获省部级一等奖一项(第二位)。
摘要:管线钢土壤环境应力腐蚀(SCC)是危及油气管线运行安全的主要问题之一。应力腐蚀是断裂行为和电化学行为的交互过程,其裂纹的二维特征和扩展特点决定了其电化学过程的非稳态特性。但目前的研究基本使用稳态的电化学研究方法,这必然难以获得更深入的认识。因此,本文在综述管线钢土壤环境应力腐蚀(SCC)研究进展的基础上,对管线钢应力腐蚀过程中的非稳态电化学过程及其与应力腐蚀行为机制的关系进行了论述,从腐蚀理论上对管线钢应力腐蚀行为机制及其研究方法进行探索;介绍和分析了SCC发生时的非稳态电化学特征,认为裂纹尖端的新鲜金属表面和裂尖的金属形变导致的位错运动所引起的非稳态电化学过程是SCC过程中的两种主要非稳态电化学过程,会对SCC行为及机理产生决定性影响。裂尖区新鲜金属导致的非稳态电化学过程,使裂纹尖端的阳极溶解速度大大高于稳态电化学极化状态下的腐蚀速率,这将促进裂纹尖端的快速扩展;同时,裂纹尖端高应变区存在位错运动,这些因素导致的非稳态电化学过程不仅直接加速裂尖区的阳极溶解作用,而且能促进非裂尖区的表面阴极过程生成的氢渗透并扩散至裂纹尖端进一步促进电化学溶解和裂纹扩展。上述两个方面是全面分析SCC机制和安全评价的关键。这些过程的综合协同作用将更加接近SCC发生的真实过程。非稳态电化学过程更加接近SCC发生的真实过程,能为其研究方法的发展提供新的思路,具有重要科学意义和实用价值。
关键词:管线钢;土壤环境;非稳态电化学;应力腐蚀
1 引言
近年来,我国油气管线建设蓬勃发展,例如西气东输一期和二期工程横贯东西、通达华中和东南各地,形成了我国能源的主动脉。这些工程中大量使用了X70、X80钢等高强管线钢。管线钢土壤环境应力腐蚀(SCC)是危及油气管线运行安全的主要问题之一[1~4],一直是国内外相关研究的热点[1~8],且随着强度的提高这类问题越来越突出。初步研究表明管线钢在我国土壤环境中也具有明显的应力腐蚀敏感性。[9~10]这对高强管线钢在我国在土壤环境中的应力腐蚀研究提出了迫切和客观要求。应力腐蚀是断裂行为和电化学行为的交互过程,其裂纹的二维特征和扩展特点决定了其电化学过程的非稳态特性。但目前的研究基本使用稳态的电化学研究方法[1,4],这必然难以获得更深入的认识。所以需要突破传统方法,建立新的电化学理论和技术来研究管线钢在土壤中的应力腐蚀过程。因此,本文对管线钢应力腐蚀过程中的非稳态电化学过程及其与应力腐蚀行为机制的关系进行了论述,从腐蚀理论上对管线钢应力腐蚀行为机制及其研究方法进行探索。
2. 管线钢土壤环境应力腐蚀的研究进展
我国西部的碱性高盐土和东南部的酸性土壤均能形成高SCC敏感性的腐蚀环境。而许多油气管线干线(如西气东输、中缅管线、川气东送等工程)均经过这些地区。管线在建设和服役过程中难免发生涂层的破损或剥离,使得腐蚀性介质直接与管线钢接触。如果管线涂层发生开放性破损和剥离,破损处的腐蚀环境接近土壤中的介质环境、可以导致应力腐蚀开裂。[9~10]在涂层剥离的缝隙内,由于阴极保护的作用,腐蚀介质会发生浓聚和碱化,形成高pH SCC环境[11];如果阴极保护作用不足则会形成近中性pH SCC环境。这些地区的土壤成分与国外土壤环境会有很大区别,比如西部高盐土,由于含有高浓度盐分,其涂层下形成的腐蚀性介质的腐蚀性会大大加剧,可能更容易引起SCC破坏;而东南部酸性土壤在涂层破损处可以直接形成酸性的腐蚀环境。因此,我国油气管线可能处于高SCC敏感性的高pH、近中性pH和酸性土壤介质中。但到目前为止,我国管线钢土壤环境中SCC的研究主要以土壤介质为主[9~10],其结果只适用于开放性涂层破损处的情况,对于更普遍的涂层剥离下的研究还鲜有报道。
同时,目前对应力腐蚀机制的认识还具有相当大的困难。多年来学术界一直对近中性pH SCC的机制未形成统一的认识,目前存在阳极溶解机制(AD)[12]、氢脆机制(HE)[13~15]和阳极溶解与氢脆的混合机制(AD+HE)[16~17]。而对于高pH SCC虽然认为其机制是裂纹尖端沿晶界的阳极溶解[3],但在较低的阴极保护电位下仍然会表现出HE机制的特征[9]。这应该归咎于目前应力腐蚀理论和研究手段的局限。应力腐蚀的萌生和扩展过程是材料、应力和腐蚀介质三者协同作用的结果。对管线钢而言,研究应力腐蚀过程中的电化学信息与应力腐蚀敏感性的对应关系以及应力与电化学的交互作用是认识其机制的关键。但到目前为止,尚没有有效的电化学方法帮助理解SCC过程。[18] 因此,符合应力腐蚀过程中电化学特点的研究方法是突破管线钢在土壤介质中应力腐蚀机理的认识瓶颈、并发展快速评价方法的关键。经典的应力腐蚀研究方法一般是通过应力腐蚀试验结合断口形貌学来获取应力腐蚀行为和机制,然后根据稳态电化学方法来分析和判断应力腐蚀发生的电化学机制[9,19] 这类方法具有重大缺陷。其对于强阳极氧化体系或强氢脆机制体系是适用的,因为这两类情况下应力腐蚀的特征是清晰且容易界定的。但在近中性pH土壤介质中,其介质复杂且腐蚀性较弱,兼具电化学腐蚀和还原性的特性,因此通过常规研究方法难以界定其SCC机制,从而陷入停滞不前的境地。应力腐蚀是发生在电化学体系下的断裂力学行为,其电化学过程是稳态过程和非稳态过程的复合过程。对于SCC的萌生过程,裂纹萌生前试样表面是稳态的电化学过程;裂纹萌生后裂纹形核区为非稳态过程,非裂纹形核区表面仍为稳态过程。对于裂纹扩展过程,裂纹尖端由于不断暴露出新鲜金属表面,其电化学过程较强烈,具有非稳态的电化学过程特征;而非裂尖区的表面已经充分极化,处于稳态电化学过程下。裂纹尖端的非稳态的电极过程是决定应力腐蚀机制的关键。但是利用稳态电化学测试的过程中,非稳态的电化学信息往往会被掩盖掉。因此,采用稳态电化学技术来研究应力腐蚀必然难以接近SCC过程中真实的电化学过程,从而无法逾越认识的屏障。所以,利用非稳态电化学方法模拟裂纹尖端的电化学过程,从而进一步从电化学的角度认识SCC机制是一种合理可行的方法。
3.应力腐蚀非稳态过程分析
对应力腐蚀过程来说,其非稳态的电化学过程涉及两个方面。其一是裂纹扩展使得裂纹尖端不断暴露出新鲜金属表面,其电化学过程为新鲜金属的极化过程,且电化学过程受到腐蚀介质在裂纹缝隙中扩散的限制。其二是裂纹尖端处于不同的应力和应变状态之下,应力能够导致位错和空位的运动,这些过程时刻改变着电极表面的状态,从而使得电极表面状态是非稳态的,这将直接影响电极反应的控制机制,可能完全改变电极动力学过程。#p#副标题#e#
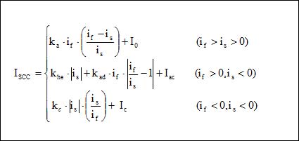
对于裂纹尖端新鲜金属表面的作用及其对SCC机制的影响可以通过稳态和非稳态电化学极化曲线的测定予以界定。[10] 该方法借鉴Parkins提出的快/慢扫极化曲线方法而建立起来的。[20]但Parkins仅将该方法用于对管线钢的高pH SCC进行研究,认为其只适合于AD机制,而未预见其对应力腐蚀机制的研究价值,也没提出量化的理论。新的理论认为快速极化曲线能够反应裂纹尖端的新鲜金属表面的非稳态的电化学行为,而且由于快速扫描极化曲线的电位变化非常快,电极反应物质不能及时的与本体溶液进行扩散和置换,这与裂纹尖端的情况是类似的,通过合适的快速电位扫描速率能够获得与裂尖的实际电化学过程相似的情况。[10]运用该方法研究发现,X70钢在酸性土壤介质中的SCC机制随着外加电位的变化而不同,各机制电位区可以通过快扫和慢扫极化曲线的对比关系确定。基于该理论提出了基于快/慢扫极化曲线结合慢应变速率拉伸实验(SSRT)方法评价X70钢的SCC敏感性的判据公式[21]:
(1)
式中,ISCC为SCC敏感性(%),ka、kad、khe、kc是与材料、介质和电流密度有关的常数;if和is分别为快速和慢速极化曲线对应的电流密度;I0为if=is时的名义SCC敏感性;Iac为与HE和AD作用的相关的余项,I0为Is=Icorr,s时的名义ISCC。该判据的预测结果与实验测试结果的规律吻合非常好。初步证明了上述理论的正确性。上述理论对认识管线钢在土壤介质中的应力腐蚀机制有巨大的理论价值。如果其正确性能够在近中性pH和高pH SCC研究得到进一步验证,则将结束管线钢近中性pH SCC机制的混战状态,统一管线钢在土壤环境中的应力腐蚀机制理论。而且,该理论应该是一个普适性的理论,对整个应力腐蚀研究也将有参考价值。而遗憾的是,目前缺少进一步的验证工作。
其次,通过理论分析认为,应力应变条件能够改变金属表面的微观状态而影响双电层的结构,从而显着影响电化学反应过程。因此,在不同应力应变条件下进行电化学测试,也是一条认识应力腐蚀电化学机制的有效途径。[22]虽然目前有研究人员尝试了类似的做法[23~24],但其结果分析并未深入到电极表面电化学的非稳态层面,从而不能显着推动应力腐蚀机理认识水平的发展。而在应力应变与电化学交互作用方面,结合位错运动和双电层理论,Liu等提出了局部附加电位理论,认为应力应变条件能够改变金属表面的微观状态而影响双电层的结构,从而显着影响电化学反应过程[25]。该理论成功解释了X70钢在酸性土壤介质中动态拉应力和应变条件下应力应变和电极极化过程及氢扩散过程的协同效应,揭示了应力和电化学交互作用的关键所在。这恰恰是揭示应力和电化学交互作用的关键所在。但是,该理论在近中性和碱性介质中是否存在普遍规律,也尚未有相关文献报道。而这些问题的解答将回答两个问题,一是为何应力腐蚀发生与特定的应变速率有关,二是应力腐蚀为何与应力水平和应变状态密切相关。而这些是揭示管线钢在土壤介质中的SCC普遍机制的关键问题之一。
上述两个方面是全面分析SCC机制和安全评价的关键。裂尖区新鲜金属导致的非稳态电化学过程,使裂纹尖端的阳极溶解速度大大高于稳态电化学极化状态下的腐蚀速率,这将促进裂纹尖端的快速扩展。同时,裂纹尖端是高应变区、并同时存在位错运动,这些因素导致的非稳态电化学过程,能够极大促进电极反应过程,不仅直接加速裂尖区的阳极溶解作用,而且能促进非裂尖区的表面阴极过程生成的氢渗透并扩散至裂纹尖端,会进一步促进电化学溶解和裂纹扩展。[25~27] 这些过程的综合协同作用将更加接近SCC发生的真实过程。
4.展望
在前期研究的基础上,针对SCC过程中的非稳态电化学特征,运用非稳态电化学技术结合SCC测试方法,可以对管线钢特别是高强管线钢在我国典型土壤环境中的应力腐蚀行为及机制展开研究,研究其在高pH、近中性pH和酸性土壤介质中的SCC敏感性及其机制随电位变化的规律,探索管线钢在碳酸盐/碳酸氢盐/Cl-体系下的应力腐蚀机制的统一模型,建立基于非稳态电化学极化技术评价管线钢在土壤体系中的应力腐蚀敏感性的方法;同时通过应力应变状态下的电化学行为研究来分析应力应变过程与电化学过程的协同效应对SCC行为的影响,揭示SCC过程中力学和电化学协同性的微观机制,探索SCC发生的深层次机理;最终通过研究建立成熟的基于非稳态电化学技术研究应力腐蚀机制的理论和方法。这不仅能直接为高强管线钢在我国不同土壤环境中的应力腐蚀防护工作提供科学依据,还能为管线钢土壤环境应力腐蚀机理研究、应力腐蚀敏感性快速评价、土壤腐蚀性程度的快速评价以及建立相关评价标准等方面提供理论支持,同时还能为应力腐蚀研究方法的发展提供新的思路,具有重要科学意义和实用价值。
References(参考文献)
[1]M C Li, Y F Cheng.Corrosion of the stressed pipe steel in carbonate-bicarbonate solution studied by scanning localized electrochemical impedance spectroscopy[J]. Electrochimica Acta, 2008, 53: 2831-2836.
[2]E Gambo, V Linton, M Law. Fatigue of stress corrosion cracks in X65 pipeline steels[J].International Journal of Fatigue, 2008, 30: 850-860.
[3]M A Arafin, J A Szpunar. A new understanding of intergranular stress corrosion cracking resistance of pipeline steel through grain boundary character and crystallographic texture studies[J].Corrosion Science, 2009,51:119-128.
[4]A Q Fu, X Tang, Y F Cheng. Characterization of corrosion of X70 pipeline steel in thin electrolyte layer under disbonded coating by scanning Kelvin probe[J].Corrosion Science, 2009,51:186-190.
[5]A Torres-Islas, V M Salinas-Bravo, J L Albarran, et al. Effect of hydrogen on the mechanical properties of X70 pipeline steel in diluted NaHCO3 solutions at different heat treatments[J]. International Journal of Hydrogen Energy, 2005, 30:1317-1322.
[6]A Torres-Islas, J G Gonzalez-Rodriguez, J Uruchurtu, et al. Stress corrosion cracking study of microalloyed pipeline steels in dilute NaHCO3 solutions[J]. Corrosion Science, 2008, 50:2831-2839.
[7]J L Albarran, L Martinez, H F Lopez. Effect of heat treatment on the stress corrosion resistance of a microalloyed pipeline steel[J].Corrosion Science,1999,41:1037-1049.
[8]R Chu, W Chen, S H Wang, et al. Microstructure dependence of stress corrosion cracking initiation in X65 pipeline steel exposed to a near-neutral pH soil environment[J]. Corrosion, 2004, 60: 275-282.
[9]P Liang, X G Li, C W Du, et al. Stress corrosion cracking of X80 pipeline steel in simulated alkaline soil solution[J].Materials and Design, 2009,30:1712-1717.
[10]Z Y Liu, X G Li, C W Du, et al. Stress corrosion cracking behavior of X70 pipe steel in an acidic soil environment[J]. Corrosion Science, 2008,50:2251-2257.
[11]B Y Fang, A Atrens, J Q Wang, et al. Review of stress corrosion cracking of pipeline steels in 'low' and 'high'pH solutions[J]. Journal of Materials Science, 2003,38 :127-132.
[12]J G Gonzalez-Rodriguez, M Casales, V M Salinas-Bravo, et al. Effect of microstructure on the stress corrosion cracking of X80 pipeline steel in diluted sodium bicarbonate solutions[J]. Corrosion, 2002, 58(7): 584-590.
[13]B A Harle, J A Beavers. Low-pH stress corrosion crack propagation in API X65 line pipe steel[J]. Corrosion, 1994, 49(10): 861-863.
[14]D X He, W Chen, J L Luo. Effect of cathodic potential on hydrogen content in a pipeline steel exposes to NS4 near-neutral pH soil solution[J]. Corrosion, 2004, 60(8): 778-786.
[15]B Gu, W Z Yu, J L Luo, et al. Transgranular stress corrosion of X80 and X52 pipeline steels in dilute aequous solution with near neutral pH[J]. Corrosion, 1999,55(3): 312-318.
[16]R N Parkins, W K Blanchard Jr, B S Delanty.Transgranular stress corrosion cracking of high pressure pipelines in contact with solutions of near neutral pH[J]. Corrosion,1994, 50(5): 394-408.
[17]J J Park, S I Pyun, K H Na, et al. Effect of passivity of the oxide film in low-pH stress corrosion cracking of API 5L X65 pipeline steel in bicarbonate solution[J]. Corrosion, 2002, 58(4):329-336.
[18]G S Frankel.Electrochemical techniques in corrosion: Status, limitations and needs[J].Journal of ASTM International, 2008,5:1-27.
[19]Y F Cheng. Fundamentals of hydrogen evolution reaction and its implications on near-neutral pH stress corrosion cracking of pipelines[J]. Electrochimica Acta,2007, 52:2661-2667.
[20]R N Parkins. Predictive approaches to stress corrosion cracking failure[J]. Corrosion Science, 1980,20:147-152.
[21]Z Y Liu. Experiment investigation on stress corrosion cracking of X70 pipeline steel in acidic soil environment[D].PhD thesis, University of Science and Technology Beijing(in Chinese), 2008.
刘智勇。X70钢酸性土壤环境应力腐蚀实验研究。北京科技大学博士学位论文论文,2008。
[22]Z Y Liu, X G Li, Y R Zhang, C W Du, G L Zhai. Relationship of electrochemical characteristic and SCC of X70 pipeline steel in an acidic soil simulated solution[J]. Acta Metallurgica Sinica (English Letters),2009,22:58-64.
[23]X Tang, Y F Cheng. Micro-electrochemical characterization of the effect of applied stress on local anodic dissolution behavior of pipeline steel under near-neutral pH condition[J]. Electrochimica Acta, 2009,54 :1499-1505.
[24]K Darowicki, J Orlikowski, A Arutunow. Investigations of the passive layer cracking by means of Dynamic Electrochemical Impedance Spectroscopy[J]. Electrochimica Acta , 2003,48: 4189-4196.
[25]Z Y Liu, X G Li, C W Du, Y F Cheng. Local additional potential model for effect of strain rate on SCC of pipeline steel in an acidic soil solution [J]. Corrosion Science, 2009, 51(12): 2863-2871.
[26]Y F Cheng, L Niu. Mechanism for hydrogen evolution reaction on pipeline steel in near-neutral pH solution[J]. Electrochemistry Communications, 2007, 9: 558-562.
[27]B Gu, J Luo, X Mao. Hydrogen-facilitated anodic dissolution-type stress corrosion cracking of pipeline steels in near-neutral pH solution[J]. Corrosion, 1999, 55(1): 96-106.
官方微信
《中国腐蚀与防护网电子期刊》征订启事
- 投稿联系:编辑部
- 电话:010-62313558-806
- 邮箱:fsfhzy666@163.com
- 中国腐蚀与防护网官方QQ群:140808414



