航空工业的发展对飞行器服役性能提出了更高的要求,期望航空发动机具有更好的动力性、安全性及经济性。作为目前航空发动机涡轮叶片的首选材料,镍基单晶高温合金的最高工作温度约为1 000 ℃,不能满足航空发动机使用要求,需迫切提高其耐温性。
热障涂层(thermal barrier coatings, TBCs)是涂覆在涡轮叶片上的一种防护陶瓷材料,该材料具有低热导率、高熔点、高温相结构和稳定化学性等特点,是航空发动机制造的核心技术[1]。该技术最早由美国NASA-Lewis研究中心在20世纪50年代提出,经过30余年的研究后取得较大突破,CaO-ZrO2热障涂层首次应用于X-15飞行器,成功使飞行速度提高到6.72马赫及108 km升限[2]。在此基础上,研究人员对稳定剂进行了进一步探索,Y2O3综合性能优异,由其稳定后的ZrO2涂层在航空发动机中得到了大量应用,成为了现代热障涂层技术开端的标志。Y2O3-ZrO2(YSZ)除了具有熔点高、热导率低、性能稳定共同特点外,而且孔隙率高、强度高、韧性好,因而被誉为“陶瓷钢”。w(Y2O3)为6%~8%部分稳定ZrO2(6-8YSZ)涂层是目前最广泛的热障涂层材料[3]。
虽然YSZ具有很多优势,但YSZ在高温(1 200 ℃以上)时易发生相变引发体积膨胀导致裂纹,同时因高温烧结降低孔隙率,从而引起应变容限降低、隔热效果变差、涂层失效加速。因此研究人员开展了 YSZ掺杂改性研究,并探讨了烧绿石结构A2B2O7型化合物、钙钛矿结构及高熵陶瓷材料。此外通过选择合适的制备方式及后处理技术,也可进一步提高热障涂层的可靠性与耐久性。且随着光谱测量技术、图像处理技术及有限元模拟等先进技术的发展,基于多种热力学实验结论和断裂力学、损伤力学等理论,TBCs的失效机制逐渐揭开了神秘面纱,通过模拟技术和实验手段的有效结合,对界面间的相互作用实现了定量表征,为热障涂层的失效分析及寿命预测指明了方向[4,5]。
本文主要从热障涂层结构、材料分类、制备及后处理技术、失效机制四个方面对目前研究现状进行了综述,并展望了热障涂层未来的研究趋势,以期为热障涂层的研究提供参考。
目前,TBCs常用的结构主要包括双层、多层及梯度结构,具体见表1。
热障涂层材料主要集中在陶瓷层材料和粘接层材料两方面。
2.1 热障涂层-陶瓷层材料
热障涂层-陶瓷层材料的研究主要从 YSZ掺杂改性、A2B2O7型化合物、钙钛矿结构及高熵陶瓷材料四个方面展开。
(1)YSZ掺杂改性
根据掺杂元素种类分为单元素和多元素掺杂,见表2。单元素掺杂主要主要以稀土元素R(R 为 La→Lu,Sc,Gd)掺杂改性为主,当Sc3+到Y3+离子半径的逐渐增大时,稳定性提高;而当Y3+到La3+离子半径的继续增大时,稳定性降低。此外也有非稀土元素如Al、Hf、Ta等元素作为掺杂稳定剂改性。
多元素共掺杂会使陶瓷材料性能更加优越,如相稳定性和抗烧结性提高、热导率降低,因此多元素共掺杂是YSZ改性研究的重点。不过掺杂元素离子的半径大小、价位高低及含量多少等均会对其产生影响,且受材料本身的限制,掺杂对提升其综合性能已接近极限。
(2)A2B2O7型化合物
A2B2O7(A = La / Nd / Sm/ Gd / Dy / Er/ Yb 等稀土元素,B =Ce、Zr 等)型氧化物耐热性强、高温相稳定性好,且 A、B、O 种类多,为热障涂层提供了多种选择。表3为不同A2B2O7结构的热导率和热膨胀系数,与YSZ对比,因热导率明显下降而成为研究热点,但热膨胀系数变化不大且匹配性能较差限制了其应用。
A2B2O7结构示意图如图1,根据A、B离子半径之比
和
分为萤石和烧绿石结构[17,18],均是面心立方,萤石结构中B4+、A3+随机分布在格点位置,与8个O2-配位,其中O2-位于(1/8,1/8,1/8)格点,易产生空位缺陷,可通过单元素、多元素掺杂产生晶格缺陷,声子散射加强,平均自由程降低、晶格振动减弱从而降低热导率。
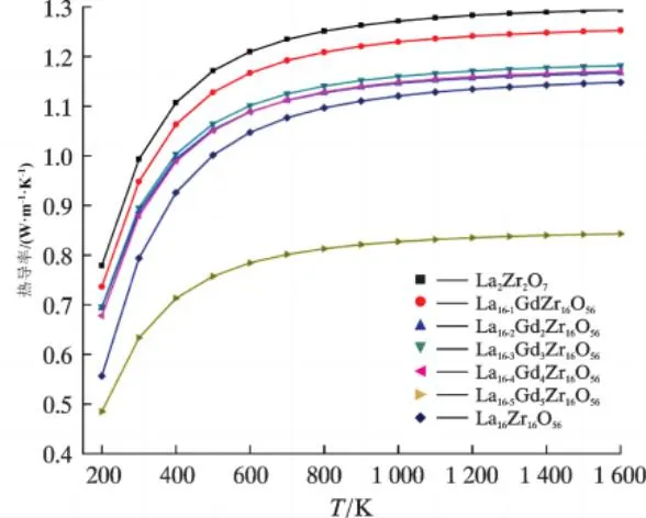
KHAN等[19]对La2Zr2O7进行Gd掺杂,图2为La2Zr2O7体系热导率曲线。可以看出,随Gd浓度的增大,热导率下降。与此同时掺杂导致原子振动不调和及键长的改变导致晶体的结合能变小,热膨胀系数变大,KEYVANI等[20]在1 000 ℃测得的热膨胀系数,如图3所示。得(La0.8Gd0.2)2Zr2O7高温时热膨胀系数明显较大,因此可通过单元素、多元素掺杂A2B2O7结构可更好地满足航空发动机的需求。
(3)钙钛矿结构
钙钛矿结构材料为ABO3(A= La / Ba / Ca等,B=Sc、Cr等)型结构,因高温时性能稳定、热导率低等优良性能,可作为潜在的新型热障涂层候选材料。在ABO3化合物中,A-O键比B-O键弱,且A、B两种原子吸引电子的能力越接近,理论上热导率越低,抗损伤能力越好[21,22]。EJAZ等[23]表明1 273 K时,CaZrO3的热膨胀系数为12.4×10-6 K-1,而YSZ的热膨胀系数为10.2×10-6 K-1,CaZrO3热膨胀系数较高、导热系数较低、高温相稳定性能好。马伯乐等[24]在1 600 ℃时测得SrZrO3 在100 h~360 h之间的热导率逐渐下降、热稳定性能好,如图4所示。此外,通过掺杂稀土元素Yb、Y等,可获得具有柱状、多孔的复合钙钛矿涂层,可承受高热应力及二次相形成引起的应力,显著提高了涂层的热循环寿命。MA等[25]在SrZrO3中掺杂Yb2O3和 Y2O3后得到Sr(Zr0.9Y0.05Yb0.05)O2.95,在室温到1 400 ℃及1450℃以上均表现出良好的相稳定性,且热导率在全温范围内比SrZrO3下降了30%。整体而言,ABO3的导热系数较低,通过掺杂引起结构变化还可使导热系数降低。
(4)高熵陶瓷材料
高熵陶瓷材料是单相陶瓷体系,由多主元高熵合金化设计。通常按相同物质量将五种以上的金属离子合成多组元固溶体。因其成分特点,具有热力学高熵、晶格畸变、迟滞扩散及性能“鸡尾酒”四种核心效应,使该材料硬度高、韧性强、热导率低,应用前景广泛。高熵陶瓷材料体系以稀土元素为主,因性质相近,易形成稳定的单相固溶体,便于性能优化。高熵陶瓷材料的研究主要集中在以下6类:稀土钽酸盐、硅酸盐、铝酸盐、锆/铪酸盐、磷酸盐、氧化物,其性能参数对比见图5[26]。比较发现,锆酸盐的热导率最好而铝酸盐最差;断裂韧性方面,高熵稀土氧化物有明显优势[27]。大多数高熵陶瓷材料热导率低、高温相稳定性好、抗烧结性强,但针对各自劣势,仍需进行改进。
2.2 热障涂层-粘接层材料
热障涂层中粘结层的效果包括两种,一是在其表面形成Al2O3阻氧层,提升高温环境下基体叶片的抗氧化、抗腐蚀性;二是作为中间层有隔热作用,避免上层陶瓷材料和基体高温合金材料因热膨胀系数匹配不高而导致热失配。
(1)MCrAlY合金材料
MCrAlY合金(M为Fe、Co、Ni或Ni+Co)广泛应用于抗氧化防护涂层及TBCs粘接层,与镍基体高温合金界面结合能力良好。其中,铝的质量分数通常为8%~12%,在工作过程中与空气中的O2反应生成具有抗氧化能力的Al2O3层;Cr质量分数一般为20%以上,主要作用是促进Al2O3的快速形成并提升抗热腐蚀能力;Co则能够改善界面结合性;少量稀土元素Y可具有氧化物钉扎和细化晶粒的作用,防止黏结层中氧化层生成过多,间接提高其抗氧化性[28]。
Re、Hf、Ce 和 Zr 等元素的掺杂会进一步提高MCrAlY合金黏接层的热腐蚀和抗氧化性能。Re通过抑制NiAl2O4和 NiCr2O4等的生成,提高涂层的抗氧化能力;Hf通过加快α-Al2O3的生成速度及形成结构稳定的HfO2,延长热循环使用时间;CeO2和 Al2O3通过加快α-Al2O3的生成速度,降低涂层氧化的增重[29]。
综上所述,MCrAlY 及其掺杂材料具有良好的抗热腐蚀和抗氧化能力,但后者随着温度的升高而下降。
(2)NiAl 合金材料
NiAl 合金粘结材料具有高熔点(1 638 ℃)、低密度(5.9 g/cm3)、强抗氧化能力,温度高于1200℃时能形成氧化膜,且与陶瓷层的结合强度良好,应用前景广泛,也可通过其他元素掺杂以提高其性能。NiAl涂层中加入 Pt 形成 NiPtAl 涂层,有助于使其组织稳定性提高,与基体的扩散减少,一定程度上减少涂层与部分元素(如S和C)的反应,延长粘接层的寿命,其最佳Pt含量与合金基体种类有关;Hf的掺杂有助于改善抗热循环性利用Hf的“阻挡效应”抑制Al的扩散,降低了TGO的增长速率;Zr改性后可显著降低涂层界面上孔洞的形成率同时提高涂层的多项力学性能[30,31]。
NiAl合金性能提升主要通过掺杂Pt、Hf等元素实现。后续可通过第一性原理来寻找新的材料进行掺杂改性提高涂层室温下断裂韧性和延性[32],并通过工艺及结构体系的优化提升粘接层的综合性能,如选择合适的后处理方式,采用功能梯度粘接层等。
3.1热障涂层制备方式
TBCs的制备方式很多,各有优缺点,主要包括等离子喷涂(APS)、电子束-物理气相沉积(EB-PVD)和在二者基础上发展的新技术等离子喷涂-物理气相沉积(PS-PVD)。
APS的工作原理是等离子喷枪在喷嘴处产生高频电弧,引燃高温高速的大气等离子火焰,粉末被加热到熔融状态,以片状结构高速沉积在基底表面,沉积效率高,与基底的兼容性好,成本低。EB-PVD的工作原理是高能电子束将涂层粉末块体加热至表面熔化,在真空条件下,气化的粉末通过直线路径运动到工件表面沉积为涂层[33,34],沉积效率低。CALIEZ等[35]制备的TBC截面的微观结构如图6a、b所示。结果显示,APS得到的涂层为典型的层状结构,存在孔隙和裂纹,抗震性较差,热导率约为1~1.2W/(m·K),通常用于制备性能要求较低的静子件(如喷管涂层)。EB-PVD得到的涂层结构为柱状晶,柱状晶的间隙增加了涂层的应变空间,降低了顶层的内部应力[36],热导率约为1.5~2.0 W/(m·K),提高了热导率及高温寿命,通常用来制备服役环境要求高的动部件(如涡轮叶片涂层)。
因APS抗震性差和EB-PVD热导率高,在两者的基础上发展了的新技术PS-PVD,该技术具有更低的工作压力、更高的喷枪功率及沉积效率,VON等[37]给出如图4c显示的PS-PVD微观截面图,该涂层结构是羽-柱状,因存在缺陷及孔隙,可通过声子散射使热导率更低,寿命更长,隔热效果介于APS和EB-PVD之间,这种性能综合的涂层是后续研究重点。
3.2 热障涂层后处理技术
为了提高热障涂层的综合性能,使航空发动机服役时安全可靠,国内外进行了热障涂层后处理技术研究。该技术可改变涂层的结构或组成成分,节约成本,满足高端领域对涂层性能的各种要求。热障涂层后处理技术主要有真空热处理(VHT)、热等静压处理(HIP)、激光重熔、激光上釉和激光熔覆[38]。
VHT在真空中操作,实现了制作过程无氧化、无渗碳,优化工件缺陷、脱脂除气,研究表明温度为主要影响因素,决定了涂层的相对密度。图7为在780、870、960、1 050 ℃不同温度下经过VHT的NiCrAlYSi微观结构图[39]。可见随着温度的升高,孔隙变多变大,因此应选取最佳温度进行真空热处理。一方面,涂层界面的氧化膜抑制了热生长,减少了裂纹,延长了寿命;另一方面,涂层内部的氧化物降低了热膨胀系数,减少了因热膨胀引起的应力开裂,涂层的综合性能提高。
HIP在高温、高压、密闭容器操作,将制品加热到高温且各向施加相同的压力烧结和致密,温度通常为1 000~2 000 ℃,压力可达200 MPa。HIP涂层质量主要受压力和温度影响,高温高压下,内部的疏松和空隙基本被消除,明显提升致密性、力学性能及循环次数,Abdel等[40]对Mg2Zr5O12的循环次数进行测试,未处理的涂层在240次循环后失效,而HIP处理后的涂层在一千次循环后仍然完好。但隔热性能明显不足,因此如何控制涂层和基体孔隙率是未来研究方向[41]。
激光重熔、激光上釉和激光熔覆均利用激光使材料表面快速熔化和凝固,形成具有改性层的表面改性技术,具有高效、无污染、局部处理等优点,其耐腐蚀性、抗磨性和抗热震性能均得到改善,是目前绿色高效的方法。
航空发动机叶片工作环境复杂,存在高温、高压、环境微粒侵蚀、高速粒子冲击等多因素复合作用,且热障涂层为多界面构成,故在热-力-化学耦合条件下因内部结构性能发生变化而引起失效。国内外学者对热障涂层界面微观及宏观结构变化进行了分析,基于多种热力学实验结论和断裂力学、损伤力学等理论,通过数值分析及建模等方式,研究了TBCs的失效机制,为TBCs可靠性和耐久性研究奠定了基础[42]。其失效模式主要包括TGO失效、CMAS及熔盐腐蚀。
4.1 TGO失效
热障涂层失效的主要原因是各层材料间因热膨胀系数不同导致的热应力及内部氧化层的过量生长。服役过程中粘接层发生氧化反应,生成的TGO(热生长氧化物)是导致失效的主要因素。图8为在YSZ/NiCrAlY涂层失效后的EDS分析[43]。图8a显示反应起初主要是Al2O3保护涂层,图8b显示当服役时间延长时,Al逐渐消耗,Ni/Cr/Co等开始被氧化,此时TGO附件压应力逐渐增大,受到相邻界面束缚时,沿与界面垂直的方向变形,对相邻涂层造成较大的拉应力,导致涂层内部产生裂纹,且涂层与TGO界面因产生大量尖晶石等脆性相而导致涂层脱落失效。
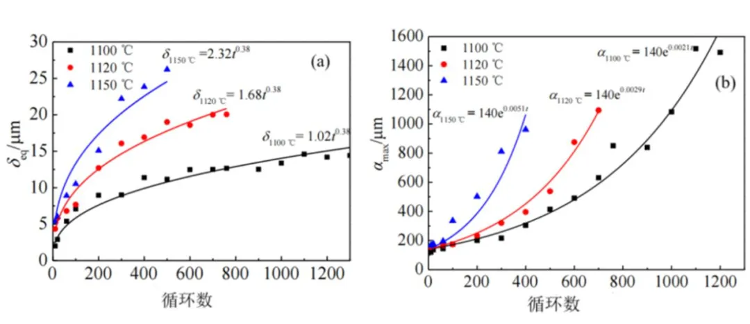
此外,TGO厚度有临界值(8~12μm),当厚度增加到临界值时,其应力分布发生变化,涂层将脱落失效。图9为薛文利等在YSZ/NiCrAlY界面上测得不同温度下循环次数和TGO厚度和最大裂纹的变换关系[43]。可见温度为1 150 ℃时,其厚度增加最快,裂纹长度增加也最快。在1 100 ℃时,其厚度增加最慢,裂纹长度增加也最慢,可见TGO厚度直接影响了裂纹的产生,增加了失效速度。
(a)TGO厚度(b)最大裂纹长度
因此,改善TBCs寿命的有效方式是抑制混合氧化物的生成或降低混合氧化物的含量、延缓循环过程中TGO厚度的增长。通过粘接层成分改性、预氧化热处理、扩散强化热处理等方式可有效降低TGO的生长动力学,提高涂层和基体间的结合强度。
4.2 CMAS侵蚀失效
CMAS指航空发动机服役期间来自外部自然环境,主要成分包括CaO、Al2O3、MgO和SiO2为主的沉积物。CMAS的腐蚀机理主要体现在两方面:一是CMAS小颗粒吸附在涂层表面,高温熔化消耗YSZ涂层的Y2O3,加速ZrO2发生相转变,产生相变应力并诱发裂纹产生,CMAS沿裂纹穿透涂层,导致涂层失效;二是CMAS到达TGO层时与其反应,增加层间压力导致裂纹产生与扩展[44,45]。
CMAS侵蚀主要与温度有关,郭磊等[46]在1 200 ℃和1 250 ℃时CMAS腐蚀4h时的YSZ涂层截面图,如图10所示。CMAS的熔点约为1 230 ℃,因此在1 200 ℃保温4 h时(图10a),CMAS在YSZ 表面铺展,厚度为 143.35 μm,没有熔化不会引起实质性腐蚀。但在1 250 ℃(图10b)保温4h时,涂层厚度明显减小到19.35 μm,CMAS熔化而渗入涂层内部导致微观结构变化,涂层失效。因此当发动机工作温度超过1 200 ℃时,CMAS腐蚀是TBCs失效的主要原因。
CMAS侵蚀还与致密性有关。涂层致密度越高,抵抗腐蚀越强。谢诗骏等[47]通过调整送粉速率,得到不同致密的热障涂层,图11为PS-PVD涂层耐熔盐腐蚀图。观察可知,由下往上按5g-10g-15g/min梯度递增方式送粉得到的涂层防失效能力更强,在20h后涂层才开始脱落。
由此可见,针对CMAS侵蚀失效,主要防护技术有四种:(1)在TC层上制备Al2O3、Pd、Pt、Ti2AlC等非渗透性的防护层阻挡CMAS的渗入;(2)利用激光对顶层进行釉化处理或制备过程中调整送粉速率,提高微观结构的致密性;(3)热喷涂纳米结构涂层以减少孔隙和裂纹;(4)采用稀土共掺杂的热障涂层,通过层间快速形成新物质阻碍CMAS的进一步渗入,且可保留更多的Y2O3[48]。
航空工业的高速发展需要航空发动机在轻量化、推重比及服役时间等不断迭代升级。在服役过程中,热障涂层系统的组成、结构等将动态变化,导致其物理、机械性能在不同寿命时期均有不同的表现。作为涡轮叶片保护的核心技术,热障涂层的材料选择、制备方式、后处理方式及失效分析等将是未来研究的重点。
(1)材料方面。新型陶瓷层,尤其是高熵陶瓷相对于传统热障涂层材料具有优异的热稳定性及力学性能,后续需持续开展高熵化合物(如硼、硅、氮、氧、碳等)的研究;粘接层的研究将关注 MCrAlY和NiAl 合金的掺杂改性以及新型粘结层材料(如Pt-Al )的研发。
(2)制备及后处理技术。APS常用于制备性能要求较低的静子件,EB-PVD常用来制备服役环境要求高的动部件,两者结合的PS-PVD可制备性能综合的涂层是后续研究重点。后处理技术可有效提高涂层综合性能,选取最佳温度进行真空热处理、控制涂层与基体孔隙率、激光表面改性技术是未来研究方向。
(3)失效机制。TGO失效是决定涂层寿命的主要因素,CMAS侵蚀失效限制了涂层工作温度。通过粘接层成分改性、预氧化热处理、扩散强化热处理抑制混合氧化物的生成和延缓循环过程中TGO厚度的增长,通过增加防护层、提高微观致密性及稀土共掺杂阻挡CMAS的渗入,后续需持续通过数值分析及建模等方式开展失效机制研究,为TBCs可靠性和耐久性研究提供指导。
免责声明:本网站所转载的文字、图片与视频资料版权归原创作者所有,如果涉及侵权,请第一时间联系本网删除。
官方微信
《腐蚀与防护网电子期刊》征订启事
- 投稿联系:编辑部
- 电话:010-62316606
- 邮箱:fsfhzy666@163.com
- 腐蚀与防护网官方QQ群:140808415

















