摘 要:采用动电位极化法在高温高压水环境中研究了690TT合金的点蚀行为。结果表明:试样与导线点焊部位处的封装影响试样的点蚀电位;管状、片状和棒状试样在自然状态下产生的钝化膜稳定,形状的变化与钝化膜厚度的改变不影响点蚀电位,在Cl-质量分数≤0.001%的溶液中,690TT合金不发生点蚀行为,但随着Cl-含量的增加,点蚀发生并加剧。
关键词:690TT合金;点蚀;试样形态;Cl-含量;
690TT合金是目前应用较多的传热管管材,因其铬含量高,表现出极佳的耐蚀性。国内外对690TT合金耐点蚀能力的研究虽然较多,但有关690TT合金的点蚀电位测试基本都在常温下进行,高温高压条件下的相关测试较少。为研究传热管在真实服役环境中的点蚀行为,应将测试体系置于高温高压环境中[1,2,3,4,5] 。GB/T 17899-1999《不锈钢点蚀电位测量方法》是不锈钢材料点蚀电位测试的通用标准,但该标准对于高温高压体系的测试存在一定的局限性。本工作通过改变导线点焊部位的封装、试样的形状、试样表面钝化膜的处理工艺以及溶液中Cl-含量,采用动电位极化扫描方法,研究试样和溶液的变化对690TT合金在高温高压环境中点蚀行为的影响。
1 试验
1.1 试样及溶液
试验材料取自690TT合金成品管材,其化学成分(质量分数)为:wCr29.5%,wFe10.56%,wMn0.21%,wTi0.18%,wS0.001%,wP<0.005%,wC0.019%,wSi0.054%,wCu<0.005%,wCo0.01%,wAl0.24%,余量为镍。
采用氯化钠(NaCl)和超纯水(电阻率为18.2 MΩ·cm)配制含不同量Cl-的溶液,Cl-质量分数分别为<0.000 1%、0.001%、0.05%、0.15%,所有化学试剂均为分析纯级。在高压釜加热前,溶液通入氮气除氧,以1L/min的速率通过导气管鼓入高压釜中,累计持续吹扫时间为30 min,高压釜加热温度为200℃。
1.2 试验方法
动电位极化法可以获得材料的点蚀特征电位Eb,点蚀特征电位用以评定合金材料的点蚀倾向。动电位极化测试采用三电极体系,工作电极为试样,参比电极为压力平衡Ag/AgCl(KCL 0.1mol/L),辅助电极为棒状Ni-Pt。动电位极化测试在GAM-RY REFERENCE 600电化学工作站上完成,文中所有电位值均按照公式(1)换算成标准氢电极(SHE)电位。
式中:EOBS为测试电位值,mV;T为高温水温度值,℃;t为室温25℃。
动电位曲线测试参照GB/T 17899-1999《不锈钢点蚀电位测量方法》,首先进行自腐蚀电位(Ecorr)监测,待自腐蚀电位稳定后,从Ecorr开始以20mV/min扫描速率进行阳极极化,直到阳极电流密度达到0.01A/cm2时,停止试验。每次测试更换新的试样和溶液。以阳极极化曲线上对应电流密度10μA/cm2的电位中最正的电位值来表示点蚀电位Eb。部分试样进行阴极极化和循环阳极极化扫描,电位扫描速率20mV/min。
2 结果与讨论
2.1 试样封装方式对690TT合金点蚀行为的影响
为避免水质对管内壁的影响,采用机械装置将设计好的特氟龙密封塞塞入管状试样中。管状试样端面用金相砂纸打磨至800号,将不锈钢丝点焊至管状试样端面。用特氟龙胶带封装导线与试样端面的点焊部位。为获得不同封装状态的试样,露出点焊头的试样记做A和B;不露出点焊头的试样记做C和D,见图1。所有试样均经无水乙醇去油,干燥后备用。
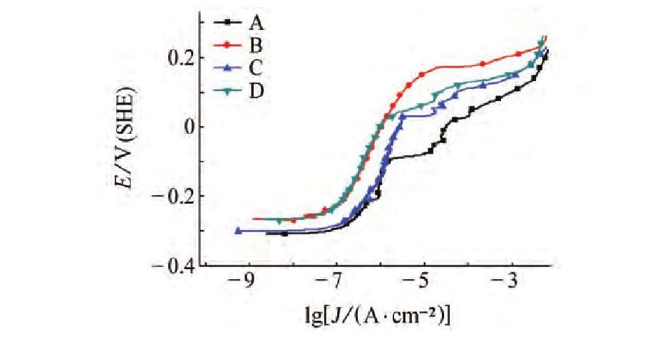
由图2和表1可见,试样点焊部位是否封装对试样的点蚀行为有影响。两种试样的自腐蚀电位相差不大,说明点焊部位是否封装不影响试样在本试验环境中的自腐蚀电位。但试样点焊部位是否封装对点蚀电位的影响较大,露出点焊头试样(A与B)的点蚀电位测量结果重复性差;而不露出点焊头试样(C与D)的点蚀电位测量结果则重复性较好。
图1 不同封装状态的试验试样
图2 200℃条件下,试样在含0.15%(质量分数)Cl-溶液中的极化曲线
表1 不同试样的极化曲线特征参数
试验结果表明,点焊部位是否封装会影响试样的点蚀电位,不锈钢丝点焊点裸露在外会干扰试样的点蚀行为,所测得的点蚀电位有时可能只是不锈钢点焊点及其附近材料的点蚀电位,而不是690TT的真实点蚀电位。由于点焊点附近材料类型的复杂性,导致测得的点蚀电位数值分散性较大。
2.2 试样形状对690TT合金点蚀行为的影响
研究了管状、片状、棒状三种不同形状的690TT合金在高温高压环境中的极化行为,以了解试样形状差异对690TT合金点蚀电位的影响。管状试样直接取自成品管材;片状试样通过压制管材成形;棒状试样取自690TT原料。试验前,将管状试样端面、片状和棒状试样表面经金相砂纸逐级打磨以去除表面氧化物,端面点焊不锈钢丝;其中管状试样塞入特氟龙密封塞。所有试样均经无水乙醇去油,超声清洗。
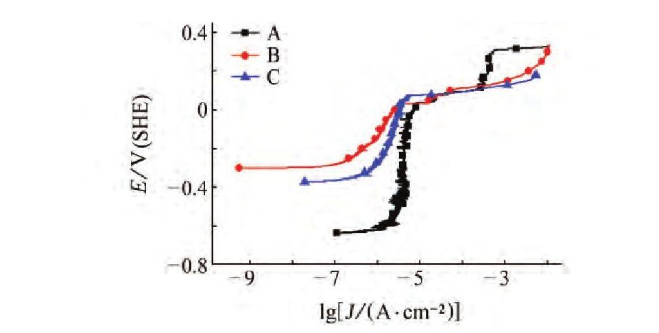
由图3可见,管状、片状、棒状试样的极化行为一致,均出现明显的钝化区和点蚀击穿电位。试样表面均出现明显的点蚀坑,见图4。三种形状试样的点蚀电位约相差40mV,说明试样形状的改变不影响690TT合金在高温水环境中的极化行为和点蚀电位。维钝电流密度(Jp)能够有效估计金属表面的钝化程度,维钝电流密度越低说明试样表面的钝化程度越高。由试样的维钝电流密度值可见,管状试样维钝电流密度最小,说明管状试样表面钝化程度最高。由于管状试样外表面保留了原加工状态,在制样时未进行进一步的表面处理,因而极化行为与试样真实状态表现一致,说明原加工状态试样表面形成了较好的钝化膜。试样极化曲线的特征值见表2。
图3 200℃条件下,片状试样(A)、管状试样(B)、棒状试样(C)在含0.15%(质量分数)Cl-溶液中的极化曲线
图4 不同形状试样腐蚀后的形貌
2.3 钝化膜状态对690TT合金点蚀行为的影响
管状和片状试样的极化曲线从Ecorr-0.4V开始扫描,棒状试样从Ecorr-1.0V开始扫描,通过阴极极化对试样表面钝化膜进行不同程度的消除。对试样设置不同的阴极极化范围,发现阴极极化后的试样自腐蚀电位略有所下降,说明试样通过阴极极化,钝化膜发生变化,钝化膜变薄。由图5~7可见,先阴极后阳极极化的试样,其维钝电流密度比未经过阴极极化的试样高,说明电化学致钝的钝化膜没有690TT合金在原加工状态下生成的钝化膜稳定。但是,比较这两种极化方式下试样的点蚀电位,结果相差不大,在16~60mV。说明阴极极化产生钝化膜状态的不一致性对690TT合金的点蚀行为的影响较小。
表2 不同形状试样的极化曲线特征参数
图5管状试样阴极和阳极极化曲线(wCl-=0.15%,T=200℃)
图6片状试样阴极和阳极极化曲线(wCl-=0.15%,T=200℃)
2.4 Cl-含量对690TT合金点蚀行为的影响
由图8可见,Cl-质量分数≤0.001%时,极化曲线只呈现明显的钝化区,并且通过循环阳极极化发现,随着电位的反向扫描,极化曲线沿原路返回,并未出现闭合环,说明试样在Cl-质量分数≤0.001%的工况下钝化膜并未发生局部破裂,无明显的点蚀击穿现象。由试样在Cl-质量分数>0.05%溶液中的极化曲线可见,试片出现明显的钝化膜破裂行为,说明Cl-是造成690TT合金产生点蚀的诱因;并且,随着Cl-含量的增加,点蚀电位负移,钝化区范围明显缩少,试样钝化膜的稳定性变差,更容易发生点蚀,极化曲线特征参数见表4。
图7棒状试样阳极极化曲线(右下图为阴极极化曲线)(wCl-=0.15%,T=200℃)
表3 管状、片状和棒状试样极化曲线特征参数
图8 690TT试样在不同量Cl-的溶液中极化曲线(T=200℃)
表4 690TT试样在200℃不同Cl-含量溶液中极化曲线特征参数

3 结论
1)试样点焊部位封装与否对试样点蚀电位影响显著。试样与导线的完全封装可以保证点蚀电位测试结果的一致性。
2)通过对管状、片状和棒状三种不同形状的690TT合金试样进行动电位扫描,试样形状的改变不影响试样的点蚀电位。
3)通过阴极极化改变试样钝化膜状态,发现690TT合金在原加工状态下生成的钝化膜稳定。并且,阴极极化产生钝化膜状态的不一致性对690TT合金点蚀行为影响不是很大。
4)当溶液中Cl-达到一定量时试样才产生点蚀,对于690TT合金而言,在200℃高温高压环境中,Cl-质量分数≤0.001%时不足以引起试样发生点蚀;但是随着Cl-量的增加,试样钝化膜的稳定性变差,越容易发生点蚀,Cl-是造成690TT合金产生点蚀的诱因。
参考文献:
[1] UH C K.Effects of chemical compounds on the stress corrosion cracking of steam generator tubing materials in a caustic solution[J].Journal of Nuclear Materials,2005(341):169-174.
[2] 丁训慎.核电站蒸汽发生器传热管的点腐蚀及其防护[J].腐蚀与防护,2007,28(7):364-366.
[3] 叶超,杜楠,赵晴,等.不锈钢点蚀行为及研究方法的进展[J].腐蚀与防护,2014,35(3):271-276.
[4] 任爱,李成涛.Cl-对690合金在高温高压水中腐蚀行为的影响[J].中国有色金属学报,2012,22(4):1082-1087.
[5] 龚利华,张波,江琳琳.不锈钢作为给水材料在含Cl-水中的腐蚀行为[J].腐蚀与防护,2007,28(8):400-402.
免责声明:本网站所转载的文字、图片与视频资料版权归原创作者所有,如果涉及侵权,请第一时间联系本网删除。
官方微信
《腐蚀与防护网电子期刊》征订启事
- 投稿联系:编辑部
- 电话:010-62316606-806
- 邮箱:fsfhzy666@163.com
- 腐蚀与防护网官方QQ群:140808414














