文| 阮 峥 刘朝辉 成声月 叶圣天 后勤工程学院化学与材料工程系
图1 水性环氧树脂涂料成膜过程

图2 混凝土试块毛细吸水实验
图3 无涂层试块毛细吸水量随时间的变化
图4 E16防水涂层试块毛细吸水量随时间的变化



图7 E44涂层混凝土吸水系数随配合比及厚度的变化趋势
目的: 研究E16 和E44 两种水性环氧防水涂层材料对混凝土试块吸水性能的影响,以比较两种防水材料的性能。方法:分别对两种防水涂层材料设计不同的涂层配合比和涂层厚度,进行混凝土毛细吸水实验,对比混凝土试块在喷涂防水涂层材料前后的毛细吸水系数变化, 以此评价防水涂层材料对混凝土试块吸水性能的影响。结果:涂层混凝土试块的吸水系数随涂层厚度的增加而减小。在一定范围内,涂层混凝土试块的吸水系数随n(胺氢)/n(环氧基)的增大而先减小,后增大。兼顾性能与成本,确定E16 和E44 两种防水涂层材料的配合比分别为n (E16)∶n (Anquamine721)=1∶1, n (E44)∶n (Anqua-mine721)=1∶0.9,涂层喷涂厚度皆为(300±20)μm.此时,E16 和E44 两种涂层混凝土试块的吸水系数分别为各自对应空白混凝土试块的3.5% 和3.4%.结论:相比之下,E44 防水涂层材料对混凝土试块吸水性能的影响较大。
环氧树脂是含有两个或两个以上环氧基团,主链上含有脂肪族链段、脂环族链段或芳香族链段的高分子预聚物,因具有良好的附着力、耐磨性能、机械性能、成膜性能、耐酸碱性能、耐油性能、介电绝缘性能以及对填料良好的分散性能等优点, 而被广泛应用于各行各业。环氧树脂涂层材料作为环氧树脂的重要用途而得到广泛研究应用,按照溶剂的类型可分为水性和溶剂型两类。溶剂型环氧树脂含有挥发性有机溶剂,既污染环境,又危害健康,难以满足防水涂层要求。水性环氧树脂是以水为分散介质,安全环保,并且韧性优良, 具有更加广阔的发展前景,在防腐、绝缘、核设施等方面有着广泛的用途,但其作为建筑用防水涂层材料未见文献报道。文中以水性环氧涂层材料作为防水涂层材料, 研究其对混凝土吸水性能的影响,为水性环氧防水涂层材料的研究提供参考。
水性环氧涂料成膜机理
水性环氧树脂涂料的成膜机理有别于溶剂型环氧树脂涂料以及一般的聚合物乳液涂料,成膜过程如图1 所示。
水性环氧树脂中的乳胶微粒为分散相, 水为分散介质,共同形成多相分散体系; 水性固化剂则分散在水相中( 如图1(1) 所示)。水性环氧树脂和水性固化剂共混并涂刷在基材上后,在适宜的环境条件下,水分快速挥发。当体系中大部分的水分挥发完后,环氧树脂的乳胶微粒相互靠近,形成紧密堆积( 如图1(2) 所示),残存的水分则填充在堆积结构的空隙之间。水分进一步挥发后,紧密堆积的环氧树脂乳胶微粒开始凝结,形成六边形结构( 如图1(3) 所示)。在水分挥发,乳胶微粒凝结的过程中,固化剂分子扩散到乳胶微粒表面或内部,与其发生固化反应( 如图1(4) 所示)。最终,形成均匀、连续的涂膜( 如图1(5) 所示)。
实验
原材料配合比
根据文献设计本实验混凝土试块配合比:PO42.5 水泥400kg/m3, 水( 实验用水均为自制超纯水)200kg/m3,砂(中国ISO 标准砂)751kg/m3,碎石(最大粒径25mm)1127kg/m3,水灰比0.5.
实验中采用E16 和E44 两种市售环氧乳液, 固化剂为环氧改性固化剂Anquamine721.两种环氧乳液和固化剂的摩尔比均分别为1∶0.8,1∶0.9,1∶1.0, 1∶1.1,消泡剂适量。

图1 水性环氧树脂涂料成膜过程
吸水实验
朱桂红和战洪艳分别利用混凝土毛细吸水实验方法研究有机硅防水剂对混凝土吸水系数的影响。文中通过对比混凝土试块在喷涂防水涂层材料前后吸水系数的变化,来判断两种环氧乳液和Anqua-mine721 的最佳配合比。
混凝土试块(尺寸100mm×100mm× 100mm)在(20±3)℃,RH≥95% 的环境中养护至28 天后进行制样。用自动岩石切割机将混凝土试块切割成两个100mm×100mm×50mm 的试样, 其中一个在100mm×100mm 的成型面上用涂料喷涂装置喷涂水性环氧防水涂层材料,并于(23±2)℃,RH=50% 的环境中养护7 天。将无涂层混凝土试样和涂层混凝土试样一同置于50℃的电热恒温鼓风干燥箱内干燥5 天,以保证二者初始含水率相同。用电子万用炉将石蜡加热熔融后侧封干燥的混凝土试样,仅留下两个100mm×100mm 的相对面进行吸水实验。
吸水实验时,将两种样品置于直径10mm 的两根钢筋上,样品底面浸入水中深度为(5±1)mm,如图2 所示,利用增重法测试样品在0.5,1,2,4,8,12,24h 时的吸水增量。实验中以三个混凝土试样吸水增量的平均值作为吸水量数据。
Kelham 指出,混凝土在初始吸水时间段内,其单位面积的吸水量i (kg/m2) 与时间t (h) 的关系为:
i =A (1)
式中:A 为毛细吸水系数,单位kg/ (m2·h1/2)。在假定混凝土各向同性以及忽略混凝土基体内部成分与水发生化学反应的理想条件下,认为A 是常数。从不同时间段内两种试块的吸水量变化趋势来看, 利用公式(2) 表述i 与t 的关系更符合本实验的实际情况。
i =A +b (2)
式中:毛细吸水系数A 为i 对作图所得直线的斜率,b 为直线在纵轴上的截距。

图2 混凝土试块毛细吸水实验
结果及讨论
吸水量
空白对照混凝土试块的吸水量
未喷涂防水涂层材料的空白对照混凝土试块在0,0.5,1,2,4,8, 12,24h 时的吸水量依次为0,434.2, 593.1,718.7,895.6,1122.9,1303.5, 1630.8g/m2, 作i - 图,如图3 所示。
在0~1h 时间段内,由于混凝土内部气压较小,在外界大气压的作用下,水在短时间内被大量吸入混凝土内部,表现出较大的吸收速率。之后,随着混凝土内部水分增大,水的重力也增加,在外界大气压恒定的条件下,相对于0~1h 时间段, 水的吸收速率减缓。对0~24h 整个时间段内每个时间点的吸水量进行拟合,算得拟合的斜率为314.1g/(m2·h1/2),此为空白混凝土试块的吸水系数。

图3 无涂层试块毛细吸水量随时间的变化
E16 防水涂层材料对混凝土吸水性能的影响
E16 和环氧改性固化剂Anquamine721 按照四种配合比制备防水涂层,并进行涂层混凝土毛细吸水实验,每种配合比涂层喷涂四种厚度---(100±20), (200±20),(300±20),(400±20)μm.记录各厚度涂层混凝土试块在0~24h 的吸水量,作i - 图,如图4 所示。

图4 E16防水涂层试块毛细吸水量随时间的变化
从拟合的线性图上可以看出,喷涂水性环氧防水涂层的混凝土试块i 与之间具有较好的线性关系,防水涂层的厚度从(100±20)μm 增大到(400±20)μm, 直线的斜率逐渐减小,对混凝土试块吸水性能的影响越来越明显。计算图4 中每条拟合直线的斜率,结果见表1.

为了更加直观地看出涂层混凝土吸水系数随涂层配合比和涂层厚度的变化,以及相对于空白对照混凝土试块吸水系数的变化,将涂层混凝土试块占空白混凝土试块的吸水系数百分比作为纵坐标,对涂层配合比及涂层厚度作图,如图5 所示。

图5 E16涂层混凝土吸水系数随配合比及厚度的变化趋势
从图5 可以看出两点:其一,相同配合比的防水涂层,其涂层混凝土试块的吸水系数随着涂层厚度增加而减小,但减小并未呈现出线性趋势。这可能是因为涂层的厚度存在20μm 左右误差,并且同一批混凝土试块中也不能保证每一个混凝土试块的孔隙完全相同,这两方面的原因导致涂层厚度增加时,混凝土的吸水系数呈现出非线性减小。其二,涂层混凝土的吸水系数随固化剂用量的增大而先减小,后增大,当涂层配合比为1∶1 时,吸水系数达到最小值,此时涂层厚度为(100±20), (200±20),(300±20),(400±20)μm 的试块吸水系数百分比分别为3.9%,3.6%, 3.5% 和3%.考虑到应节约成本,涂层的喷涂厚度为(300±20)μm 较好。
综合分析,E16 涂层配合比为1∶1、喷涂厚度为(300±20)μm 时,综合性能最佳。
E44 防水涂层体系对混凝土吸水性能的影响
E44 和环氧改性固化剂Anquamine721 同样按照四种配合比制备防水涂层, 实验方法同3.1.2 节,i - 图如图6 所示。

图6 E44防水涂层试块毛细吸水量随时间的变化曲线
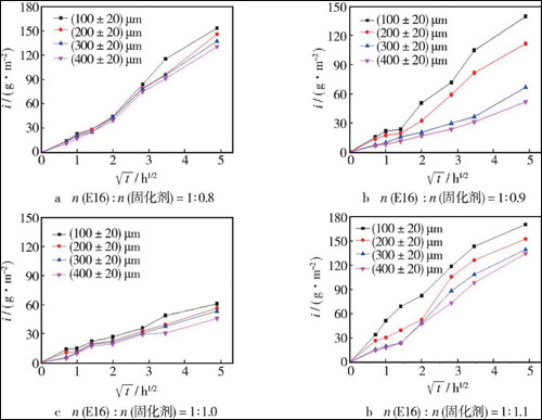
分析图6 可知,涂层混凝土试块的i 与之间具有较好的线性关系。随着涂层厚度的增加,涂层混凝土试块的吸水系数减小。分别计算出每条直线的斜率,见表2.同样将涂层混凝土试块占空白混凝土试块的吸水系数百分比作为纵坐标,对涂层配合比及涂层厚度作图,如图7 所示。


图7 E44涂层混凝土吸水系数随配合比及厚度的变化趋势
分析图7 中涂层混凝土试块吸水系数的变化趋势可知,吸水系数随涂层厚度的增加而减小;涂层配合比在1∶0.8~1∶1.1 范围内时,吸水系数先减小,后增大,当配合比为1∶0.9 时,吸水系数达到最小值, 此时涂层厚度为(100±20),(200±20), (300±20),(400±20)μm 的试块吸水系数百分比分别为3.8%,3.5%,3.4% 和3.2%.考虑成本, 涂层喷涂厚度为(300±20)μm.综合分析,E44 涂层配合比为1∶0.9, 喷涂厚度(300±20)μm 为宜。
分析讨论
涂层配合比和厚度对混凝土吸水系数的影响
影响涂层混凝土试块吸水系数的主要是防水涂层本身的致密性。由图5 可知, 当n (E16)/n (Anqua-mine721)>1 时, 环氧乳液过量,固化反应不够充分,形成的涂层不够致密,涂层混凝土的吸水系数较大;n (E16)/n (Anquamine721)<1 时,固化剂过量,过量的固化剂分子因无法参与环氧树脂的固化反应而游离在水性环氧防水涂层中,导致涂层交联网络不严密,增大了水分的渗透性,从而使得涂层混凝土试块的吸水系数增大;n (E16)/ n (Anquamine721)=1 时,反应充分,涂层致密,涂层混凝土试块的吸水系数最小。同理,n (E44) 颐n (Anquamine721)=1∶0.9 时的E44 涂层混凝土试块吸水系数最小。
分析图4 和图6 可知,涂层混凝土的吸水系数随涂层厚度增加而减小。这可能是因为涂层厚度增加后,延长了水分进入涂层混凝土的路径,使得相同的时间段内, 厚涂层混凝土的吸水量比薄涂层混凝土少, 从而使得吸水系数小。
最佳配合比E16 和E44 涂层混凝土试块的吸水系数对比
n (E16)∶n (Anquamine721)=1∶1 与n (E44)∶n (Anquamine721)=1∶0.9 的两种涂层混凝土的吸水系数随涂层厚度的变化对比如图8 所示。可以看出,两种涂层混凝土试块的吸水系数均随涂层厚度的增加而减小。在(100±20)~(300±20)μm 的厚度范围内,E44 涂层混凝土的吸水系数均小于E16 涂层混凝土;当涂层厚度为(400±20)μm 时,情况则相反。原因可能是,同一批混凝土试块中的个别试块成型时比其他混凝土试块密实,其本身的吸水系数比其他混凝土试块小,表面喷涂防水涂层后,吸水系数比其他涂层混凝土吸水系数小,即出现(400±20)μm 时吸水系数突变的情况。总的看来,最佳配合比的E44 涂层对混凝土试块吸水系数的影响比最佳配合比的E16 涂层大。

图8 吸水系数对比
结论
1) 环氧乳液E16 与固化剂Anquamine721 的最佳配合比为1∶1,环氧乳液E44 与固化剂Anqua-mine721 的最佳配合比为1∶0.9.
2) 两种涂层混凝土吸水系数均随涂层厚度的增加而减小。在最佳配合比的基础上,喷涂厚度为(300±20)μm 的防水涂层较为经济。
3) 在最佳配合比的基础上,E44 涂层混凝土试块的吸水系数比E16 涂层混凝土小。
免责声明:本网站所转载的文字、图片与视频资料版权归原创作者所有,如果涉及侵权,请第一时间联系本网删除。
-
标签: 混泥土
相关文章
无相关信息
官方微信
《腐蚀与防护网电子期刊》征订启事
- 投稿联系:编辑部
- 电话:010-62316606-806
- 邮箱:fsfhzy666@163.com
- 腐蚀与防护网官方QQ群:140808414
点击排行
PPT新闻
“海洋金属”——钛合金在舰船的
点击数:8135
腐蚀与“海上丝绸之路”
点击数:6475



