稿源来自环境材料实验加速平台
针对海洋大气环境下Q235 的腐蚀情况,在试验室内进行模拟加速试验。试验采用周期浸润方法,利用干湿交替实现加速。周期采取24h、48h、96h、192h、360h,一个试验循环为45min 烘干, 15min 浸泡。
针对海洋大气环境下Q235 的腐蚀情况,在试验室内进行模拟加速试验。试验采用周期浸润方法,利用干湿交替实现加速。周期采取24h、48h、96h、192h、360h,一个试验循环为45min 烘干, 15min 浸泡。

3.5%NaCl溶液试验后腐蚀宏观形貌
(a)24h (b)48h (c)96h (d)192 (e)360h

3.5%NaCl中试验360h后1000倍形貌

3.5%NaCl中试验360h后1000倍形貌
根据试验前测得的试样平均尺寸及试验前后试样的重量,及失重率计算公式:( △W= ×104(g /m2) G0-G 1 2(a×b+b×c+a×c) ) ( 公式1) 可计算出试样的失重率。
其中:G0-试样原始重量;
G1-试样试后重量;
a-试样长度;
b-试样宽度;
c-试样厚度。

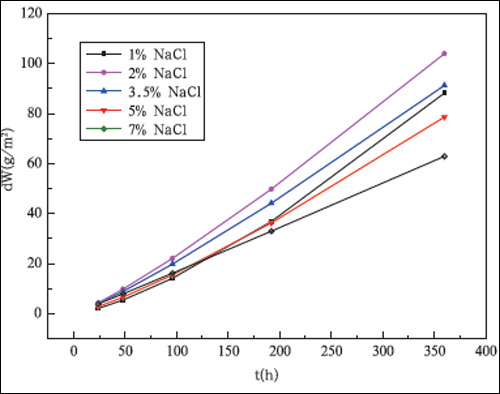
不同浓度NaCl中Q235的周浸试验失重曲线

通过对试验数据进行分析,失重与时间的关系符合幂指数规则:(△W=atn)( 公式2)。式中,△W 是单位面积的腐蚀失重, g /m2;t 是试验时间,h;a 和n 是常数,n 值常作为腐蚀速率或锈层保护性好坏的参考。R2 是相关系数。
从R2 看出曲线拟合度较好。由n 值及整体曲线走势看出,在360h 的试验周期内锈层并没有为基体提供明显的保护作用,腐蚀速率逐渐增强。
浓度对腐蚀速率的影响表现为从在1% 浓度NaCl 中的腐蚀速度升高,在2% 与3.5% 浓度NaCl 中腐蚀速率达达到最高,而随后5% 与7% 浓度的NaCl 中的腐蚀速率降低,可能是由于高浓度的NaCl 溶液并不有利于腐蚀的产生,2% 浓度时腐蚀速率最大, 锈层保护效果最差。
免责声明:本网站所转载的文字、图片与视频资料版权归原创作者所有,如果涉及侵权,请第一时间联系本网删除。
-
标签: 腐蚀数据
相关文章
官方微信
《腐蚀与防护网电子期刊》征订启事
- 投稿联系:编辑部
- 电话:010-62316606-806
- 邮箱:fsfhzy666@163.com
- 腐蚀与防护网官方QQ群:140808414
点击排行
PPT新闻
“海洋金属”——钛合金在舰船的
点击数:8135
腐蚀与“海上丝绸之路”
点击数:6475



