厚膜涂层的硬度可采用布氏硬度来测定,此为压痕法的一种。基材可用铁板,涂层厚度2~3mm,压痕法测涂层硬度试样如图1所示。把一定直径钢球在规定负荷作用下压入涂膜层表面,保持1min后,以涂膜表面压痕深度或压痕直径来计算单位面积上承受的力,即为该涂膜层的硬度值。
总体概况
涂膜厚度将影响涂膜和各项性能,尤其是涂膜和物理力学性能受厚度的影响最明显,因此,为保证涂膜能提供有效的保护作用,涂层应均匀地达到一定厚度。同时,对于涂层各种性能测定,为正确提供实验结果,准确测定并报告涂膜厚度是必不可少的。通常,规定的涂膜厚度可用平均厚度或最小厚度表示。涂膜厚度测量有湿膜测量和干膜测量。干膜往往是由湿膜厚度决定的,因此近年常进行湿膜厚度的测定,用以控制干膜厚度。
指涂敷涂料,将涂敷的涂料质量除以涂料密度以及涂敷的表面面积得到湿膜厚度。用式(1)计算湿膜厚度 tw,单位为微米(μm):
公式(1)
式中:m0:未涂漆试样的质量,单位为g;m:已涂漆试样的质量,单位为g;A:涂敷的表面面积,单位为平方米(m2);ρ:涂敷的液体涂料的密度,单位为克/毫升(g/mL)
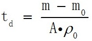
干膜厚度td,单位为微米(μm),是根据未涂漆试样与已涂漆试样的质量差按式(2)计算得到:
公式(2)
式中:m0:未涂漆试样的质量,单位为g;m:已涂漆试样的质量,单位为g;A:涂敷的表面面积,单位为平方米(m2);ρ0:涂敷的干涂膜密度,单位为克每毫升(g/mL)。
采用重量分析法可得到整个涂敷表面区域干膜厚度的平均值,特别是在采用喷涂施工时,试样的背面应遮住以避免因背面的局部施涂而照造成的测量误差。
官方微信
《中国腐蚀与防护网电子期刊》征订启事
- 投稿联系:编辑部
- 电话:010-62313558-806
- 邮箱:fsfhzy666@163.com
- 中国腐蚀与防护网官方QQ群:140808414


