4.1 腐蚀力学耦合模型
4.1.1 腐蚀力学效应
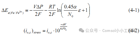
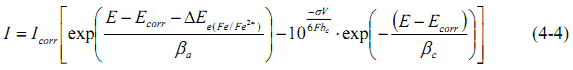
4.1.2 腐蚀力学模型控制方程及边界条件
联立式(3-5)与式(4-3),可得到新的模型边界条件:
4.2腐蚀力学耦合模型计算结果
4.2.1 试件在载荷作用下的腐蚀计算
4.2.2 试件在腐蚀作用下的应力变化
4.3 腐蚀疲劳耦合模型
4.3.1 COMSOL 与 MATLAB 的联合腐蚀疲劳仿真
4.3.2 电化学与疲劳耦合的实现机理
4.3.3 腐蚀疲劳模型网格敏感性分析
4.3.4 试件腐蚀疲劳分析
4.4本章小结
免责声明:本网站所转载的文字、图片与视频资料版权归原创作者所有,如果涉及侵权,请第一时间联系本网删除。
相关文章
无相关信息
官方微信
《腐蚀与防护网电子期刊》征订启事
- 投稿联系:编辑部
- 电话:010-62316606
- 邮箱:fsfhzy666@163.com
- 腐蚀与防护网官方QQ群:140808415
点击排行
PPT新闻
“海洋金属”——钛合金在舰船的
点击数:12048
腐蚀与“海上丝绸之路”
点击数:9763














































