热轧氧化铁皮对SPA-H耐候钢腐蚀行为的影响
2026-02-11 13:56:40 作者:唐东山 来源:腐蚀与防护 分享至:

 

TAMURA深入研究了铁锈层在腐蚀过程中对基体的保护作用,提出了钢铁在大气中的腐蚀模型,明确了形成防锈层所需条件。THEE等研究了干湿交替环境中耐候钢的腐蚀行为,测定了电化学阻抗谱,结果表明氧化铁皮的存在可以大大降低钢的腐蚀速率。DONG等研究发现致密的氧化铁皮可以在NaCl溶液中有效保护基体。腐蚀初期,试样表面生成了不溶的腐蚀产物,腐蚀速率降低。COLLAZO等研究了碳钢表面氧化铁皮在室温5%(质量分数)NaCl溶液中的腐蚀行为,提出致密氧化铁皮可以降低钢基体的腐蚀速率。

耐候钢因含有Ni、Cu、Si、Cr等抗腐蚀元素,其腐蚀后形成的锈层更加致密,可以在一定时期内很好地保护基体免受进一步腐蚀。但是这个过程需要几年甚至更久的时间,在此期间基体仍会不断发生腐蚀。因此,如果能利用高温氧化处理代替耐候钢锈层致密化过程,即耐候钢在高温下形成氧化铁皮就可以在腐蚀前期阻滞腐蚀,在腐蚀后期加速锈层的形成,具有很高的实用性。因此笔者采用盐雾腐蚀试验,模拟带氧化铁皮耐候钢在海洋性气候下的锈层形成行为,研究氧化铁皮对锈层形成过程的影响;通过测定锈层的极化曲线和电化学阻抗谱,研究带氧化铁皮耐候钢的电化学行为。

1

试  验



1. 1  试  样


选用太钢产厚2mm的热轧态SPA-H 耐候钢作为试验材料,其主要化学成分(质量分数, %) 为 C 0.08%,Si0.39%,Mn 0.45%,P 0.082%,S 0.0005%,Cr0.33%,Cu 0. 26%,其余为Fe。首先将钢板用线切割机切割成 7mm×9mm×2mm的试样,再用ZXQ-5型自动镶嵌机进行镶嵌,温度为 130℃,压力为25MPa,镶嵌试样表面用砂纸(800~1500号) 逐级打磨并抛光,用扫描电子显微镜(SEM) 观察氧化铁皮截面形貌。

1.2  试验方法


1. 2. 1  盐雾腐蚀试验

盐雾腐蚀试验采用Q-FogCCT-1100型循环盐雾腐蚀试验机,准备两组试样(带氧化铁皮和无氧化铁皮) 。每组试样用线切割机切割成40 mm × 40mm×2 mm。然后将无氧化铁皮的试样用砂纸(800~1500号) 逐级打磨,再放入装有丙酮的烧杯中超声波清洗,然后脱水干燥,最后用704硅橡胶密封处理试样的四周和底面,只保留试样的一个面进行盐雾腐蚀试验。腐蚀液采用50 g/L的NaCl溶 液,温度为 35 ℃,腐蚀时间为24, 48, 72, 96, 144, 192h。在盐雾腐蚀试验前,采用电子分析天平将每个试样称量、记录。然后在盐雾腐蚀箱中同时放入带氧化铁皮和无氧化铁皮试样。达到预定腐蚀时间 后取出试样,在空气中放置 1 h,再用蒸馏水缓慢冲洗试样表面。待锈层干透后脱水干燥,然后采用电子分析天平称量。采用金相显微镜观察锈层的截面形貌,最后对试样表面的腐蚀产物进行X射线衍射 (XRD)分析,靶材为Cu靶,2θ为 10°~80°。

1. 2. 2   电化学测试

电化学试验采用CS310电化学工作站,试样为经盐雾腐蚀48h和144h的试样,试验温度为25℃,试验溶液为5%NaCl溶液,扫描电位为-0. 5~+0. 5V (相对于开路电位),参比电极为标准饱和甘汞电极 (SCE),辅助电极为 Pt电极。文中电位若无特指,均相对于SCE。

EIS测试在开路电位下进行,激励电位幅值为10mV,频率为10 mHz~ 100 kHz,动电位扫描速率为0.5mV/s,扫描范围为-1200 ~-0.56 mV。试验完成后,根据极化曲线计算试样的腐蚀电位 (Ecorr) 和腐蚀电流密度(Jcorr),使用ZsimDemo软件对EIS图谱进行拟合,用电荷传输电阻值表示锈层对耐候钢基体的保护作用。


2

结果与讨论



2. 1  截面形貌


由图1可见 :表面氧化铁皮厚度为5~7μm,氧化铁皮整体致密性较好,没有观察到裂纹和内部孔洞。致密的氧化铁皮能够起到物理屏障作用,阻挡了钢基体的腐蚀。

图1 SPA-H耐候钢热轧态氧化铁皮的截面形貌

2.2  腐蚀质量增加曲线


由图2可见:在腐蚀72h内,不带氧化铁皮试样单位面积腐蚀质量增量略高于带氧化铁皮试样,说明氧化铁皮起到了物理屏障的作用,阻挡了腐蚀液向内扩散。当腐蚀时间为96h时,带氧化铁皮试样的腐蚀质量增量反超无氧化铁皮试样。

图2 有无氧化铁皮试样经过盐雾试验后的腐蚀质量增加曲线

2.3  锈层截面形貌


由图3可见:当腐蚀时间为24h时,带氧化铁皮试样表面只产生一层结构松散的外锈层,厚度约为25μm。无氧化铁皮试样表面锈层厚度约为30μm,也是结构松散的。延长腐蚀时间至48h,腐蚀液已经穿过氧化铁皮层腐蚀基体。在形成内锈层的同时,外锈层的厚度也明显提高。对于无氧化铁皮试样,表面锈层继续变厚,但结构依然松散,腐蚀96h后带氧化铁皮试样表面锈层整体厚度增加,外锈层开始变得致密。腐蚀192h,外锈层的厚度没有太大变化,但已经变得非常致密。内锈层厚度持续增加,同时内锈层也开始向致密化转变。

图3 试样腐蚀不同时间后表面锈层的截面形貌

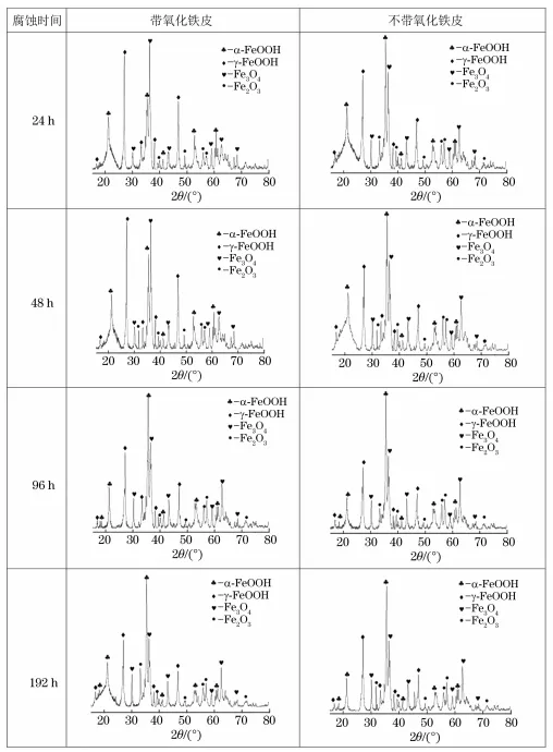
2.4  锈层物相


从图4中看出,带氧化铁皮和不带氧化铁皮的耐候钢腐蚀产物主要为Fe2O3、Fe3O4、α-FeOOH 以及γ-FeOOH。带氧化铁皮的锈层在腐蚀24h后检测到Fe3O4。同时观察到腐蚀产物中还含有γ-FeOOH和 α-FeOOH。当腐蚀时间为48h时,带氧化铁皮试样的腐蚀产物中形成了大量γ-FeOOH,γ-FeOOH的稳定性较差,结构疏松多孔, 耐蚀性很差。随着腐蚀时间的延长,γ-FeOOH会逐渐溶解并转化为α-FeOOH和Fe3O4,而 α-FeOOH具有 较好的致密性,因此锈层的致密程度逐渐增大。对于 不带氧化铁皮的耐候钢表面锈层,随着腐蚀时间的延长,γ-FeOOH和Fe3O4逐渐减少,α-FeOOH的含量不断增加。

图4 带氧化铁皮和无氧化铁皮试样经过不同时间盐雾腐蚀后表面锈层的XRD图谱

2.5  极化曲线


由图5和表1可见:带氧化铁皮试样的腐蚀电流密度较小,表明氧化铁皮可以保护基体。随着盐雾腐蚀时间的延长,有无氧化铁皮试样的极化曲线均向正方向移动,这说明腐蚀一段时间后两组试样的腐蚀电位均变正,腐蚀倾向变小,但腐蚀电流密度变大。然而,带氧化铁皮试样经过144h盐雾腐蚀后,腐蚀电位却变为负值,这表明氧化铁皮的阻滞作用经过长时间的腐蚀已经消失,此时氧化铁皮起到促进基体腐蚀的作用。

图5 经过不同时间盐雾腐蚀的有无氧化铁皮试样在3.5%NaCl溶液中的极化曲线

表1 有无氧化铁皮试样的腐蚀电位和腐蚀电流密度

2.6  EIS测试


由图6可见:带氧化铁皮试样的半圆半径远大于无氧化铁皮试样。由于此时试样尚未进行盐雾腐蚀试验,因此没有锈层,可将氧化铁皮视为电阻和电容并联。采用图7所示等效电路拟合电化学阻抗谱,其中Rs为溶液电阻,C电容,Rct是界面转移电阻,拟合结果见表2。由于氧化铁皮中含有孔隙和裂纹等缺陷,其电阻虽然比无氧化铁皮试样更大,但还未达到绝缘的程度。

图6 有无氧化铁皮试样在3.5%NaCl溶液中的Nyquist图

图7 EIS的等效电路模型

表2 电化学阻抗谱的相关电化学参数拟合结果

由图8可见:经过盐雾腐蚀后,两组试样的阻抗模值都增加,经过相同时间盐雾腐蚀后,带氧化铁皮试样的阻抗模值均大于无氧化铁皮试样,即带氧化铁皮试样形成的腐蚀产物(锈层)具有更强的抑制腐蚀液扩散的能力,即锈层更加稳定。

图8 经过不同时间盐雾腐蚀试验后有无氧化铁皮试样在3.5%NaCl溶液中的Nyquist图

如图9所示,使用ZsimDemo软件进行等效电路建模,Rs是溶液电阻,Cr是电极表面和溶液的双电层电容,Rr是锈层电阻,Cdl是由钢基体和深入锈层的溶液组成的电容,Rw是Warberg阻抗,Rt 是电荷传输的电阻。锈层的致密性用Rr的数值进行表达。与未经盐雾腐蚀试样相比,经过盐雾腐蚀后,试样电阻减小,说明盐雾腐蚀破坏了氧化铁皮的完整性。氧化铁皮中含有的孔洞和裂纹等缺陷越少,结构越致密,电阻就越高。盐雾腐蚀48h,带氧化铁皮试样的电阻较高,可能是由于氧化铁皮一定程度上增加了表面致密度。盐雾腐蚀144h,由于氧化铁皮促进了锈层的形成,因此锈层的致密性大于无氧化铁皮试样。

图9 图8中的EIS等效电路模型

2.7  讨  论


耐候钢表面锈层是双层结构,分别是内锈层和外锈层,腐蚀产物主要包括Fe2O3、Fe3O4、α-FeOOH 和γ-FeOOH。随着腐蚀的进行,内外锈层均逐渐变厚且致密,不同之处在于外锈层比内锈层更早地致密化和稳定化。对于带氧化铁皮试样,氧化铁皮在腐蚀初期起到保护基体的作用,但对长期腐蚀却起到促进的作用。结合锈层的截面形貌和腐蚀动力学曲线分析得知,整个腐蚀过程可以分为以下三个阶段:

初期腐蚀阶段:由于氧化铁皮具有一定的致密性,在腐蚀初期,对腐蚀液体起到物理屏障作用,防止腐蚀液体侵蚀基体,腐蚀液首先与耐候钢表面的氧化铁皮反应,产生腐蚀产物。此阶段耐候钢中的合金元素由于腐蚀时间较短,且向外扩散的路径被氧化铁皮阻隔,无法与腐蚀液反应,因此界面反应为控制性步骤。

快速腐蚀阶段:随着外锈层达到一定厚度, 由于腐蚀时间延长,逐渐长大的腐蚀性产物在氧化铁皮的缺陷处促进裂纹产生。腐蚀液沿裂纹进入内部腐蚀基体,使基体处迅速形成内锈层腐蚀核,形成了以氧化铁皮为阴极,内锈层腐蚀核为阳极的腐蚀电池,电极反应见式(1) ~ (3)。

后期腐蚀阶段:在高温氧化环境中生成的氧化铁皮本质上是不稳定的,它会以杂质形式存在于锈层内,并且致密的氧化铁皮只是延缓转化过程,并不能完全阻止腐蚀。最终,致密的锈层覆盖整个基体,腐蚀液无法向内部扩散,此时反应结束。

对于无氧化铁皮试样,腐蚀分为两个阶段,分别是快速腐蚀阶段和后期腐蚀阶段。在腐蚀前期,由于没有氧化铁皮的保护,γ-FeOOH含量很高,甚至一度超过α-FeOOH含量,说明此时基体几乎无法抵抗腐蚀。在腐蚀后期,锈层的生成完全依赖于基体发生腐蚀,锈层稳定化的进程非常缓慢。


3

结  论



(1) 在35℃、50g/LNaCl溶液中,有无氧化铁皮SPA-H耐候钢试样腐蚀24,48,72,96,144,192小时后的腐蚀产物主要包括Fe2O3、Fe3O4、α-FeOOH 和γ-FeOOH。随着腐蚀时间的延长,有无氧化铁皮试样的α-FeOOH含量都逐渐增加,γ-FeOOH含量都逐渐减少。

(2) 带氧化铁皮耐候钢在腐蚀液中的腐蚀过程为三个阶段,分别是腐蚀速度较慢的初期腐蚀阶段,快速腐蚀阶段和后期腐蚀阶段。无氧化铁皮耐候钢在腐蚀液中的腐蚀过程为两个阶段,即快速腐蚀阶段和后期腐蚀阶段。

(3) 对于带氧化铁皮的SPA-H耐候钢,在腐蚀前期,致密的氧化铁皮能够减缓腐蚀,从而有效保护基体。在腐蚀中期,由腐蚀核和氧化铁皮组成的原电池会加速腐蚀。到了腐蚀后期,锈层完全覆盖基体,反应随之结束。

免责声明:本网站所转载的文字、图片与视频资料版权归原创作者所有,如果涉及侵权,请第一时间联系本网删除。

    标签:
相关文章
无相关信息