Corrosion Science:不同微观结构合金高温氧化行为有何差异?连续Laves相过渡层,让TiAl合金高温服役更耐用!
2026-01-21 14:46:27 作者:材料强化与防护 来源:材料强化与防护 分享至:

 

TiAl金属间化合物具有低密度、高比强度、优良的抗蠕变性能以及较好的抗氧化形等特性,被认为是600-900℃范围内替代镍基高温合金的潜在材料。β凝固型γ-TiAl合金由于在1100℃以上具有优良的成形性而受到了研究学者的关注。含Mn元素的合金可用于常规锻造轧制,但其在750℃以上的抗氧化性能不足限制了其应用。多相合金的抗氧化性主要和相组成以及微观结构密切相关,但含Mn的β凝固型γ-TiAl合金不同微观结构的高温氧化行为及机制研究匮乏。

近日季华实验室和东北大学的研究人员探究了含Mn的β凝固型γ-TiAl(TMMW)合金的近层片(NL)等轴(EQ)两种微观结构在高温氧化环境下的行为差异及内在机制,为合金微观结构优化提供依据。该研究以“Microstructure-Dependent High-Temperature Oxidation Behavior of Mn-Containing β Solidifying γ-TiAl Alloys”为题被发表在了期刊《corrosion science》上。

文章链接:

https://doi.org/10.1016/j.corsci.2025.113579


【核心内容】


该研究以含Mn的β凝固γ-TiAl(TMMW)合金为对象,通过热处理获得近层片(NL)和等轴(EQ)两种微观结构,开展750/800℃下100小时循环氧化及750℃下100-3000小时等温氧化试验。短期循环氧化中,两种结构氧化动力学均近似遵循近线性规律,氧化产物主要为TiO₂和α-Al₂O₃。长期等温氧化时,NL结构通过形成(β₀+γ+Laves)相组成的扩散区致密连续的Laves相过渡层,有效抑制Mn向外扩散,抗氧化性能显著优于EQ结构,而EQ结构因过渡层含大量β₀相和无明显扩散区,Mn易外扩散导致氧化性能较差。

图形摘要


【研究成果】


① 氧化动力学发现

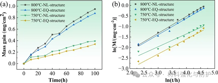
在750/800℃-100h的短期循环氧化下,等轴(EQ)结构氧化抗性略优于近层片(NL)结构,两者均可以形成完整的无开裂氧化层,750℃时EQ和NL质量分别为0.339 mg·cm⁻²0.393 mg·cm⁻²。在750℃,≥500h的长期等温氧化条件下,NL结构氧化抗性显著更优,3000h时氧化层厚度仅为8.7μm,而EQ的为17.4μm,且氧化层增长速率远低于EQ结构。

循环氧化动力学曲线及在750°C和800°C下两种微观结构的拟合结果


在750℃下等温氧化3000小时后,TMMW合金的横截面形貌的EPMA-BSE图像,具有(a) NL结构和(b) EQ结构


TMMW合金在750°C、3000小时等温氧化后,具有(a)NL结构和(b)EQ结构的TMMW合金横截面形态EPMA-BSE图像


② 键结构特征

两种结构的氧化产物都是以TiO₂α-Al₂O₃为主,同时含少量TiNₓOᵧ和α-Mn₂O₃。此外,NL结构形成连续致密的含少量 β₀相TiMn₂-Laves相过渡层,而EQ结构过渡层含大量β₀相且Laves相不连续。另外,NL结构长期氧化后形成(β₀+γ+Laves)相扩散区,其在3000h后的厚度达到14.6μm,而EQ结构无明显扩散区

在750°C下经过100小时循环氧化后,具有(a) NL结构、(b) EQ结构的合金的横截面形貌上的EPMA-BSE图像和元素分布图


在800°C下经过100小时循环氧化后,具有(a) NL结构、(b) EQ结构的合金的横截面形貌上的EPMA-BSE图像和元素分布图


③ 心机制

NL结构在长期氧化中会发生α₂+γ→γ+β₀+Laves相变,扩散区持续供给Mn并维持Laves相连续性,以抑制Mn外扩散和O的内扩散。EQ结构中β₀相会破坏过渡层完整性,Mn易外扩散形成疏松α-Mn₂O₃,从而加速氧化层增厚

在750℃下进行3000小时等温氧化后NL结构的横截面TEM分析


在750℃下进行3000小时等温氧化后EQ结构的横截面TEM分析


TMMW合金氧化层演变示意图


【总结与展望】


该研究明确了含Mn的β凝固型γ-TiAl合金的近层片(NL)和等轴(EQ)结构在高温氧化中表现出短期和长期性能的差异。其中NL结构因形成连续的Laves相过渡层和扩散区而表现出更好的长期抗氧化性,为合金微观结构优化提供关键依据。未来可以进一步完善该类合金的抗氧化机制以实现工程应用支撑。

免责声明:本网站所转载的文字、图片与视频资料版权归原创作者所有,如果涉及侵权,请第一时间联系本网删除。

    标签:
相关文章
无相关信息