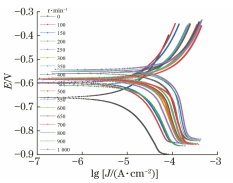
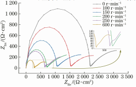
近年来,由于进口原油中劣质原油比例增加,石化设备腐蚀失效事故频发,这极大影响了石化企业的绿色安全发展。在原油炼化产生的污水中,通常含有氮、硫等元素,这些元素会生成腐蚀性组分,对常减压装置的污水管道形成局部冲蚀,使管壁减薄,设备运行风险增大。因此,明确含硫污水管道壁面减薄穿孔的机理,针对高风险区域提出预防冲蚀的解决方案,对炼油工业的持续发展具有重大意义。 目前,关于冲蚀的研究报道较多。腐蚀过程包括腐蚀产物的生成和溶解,腐蚀速率受到腐蚀表面完整性的影响。管内腐蚀性流体的流速对管道腐蚀影响较大。研究发现,流体流动会增强管道局部腐蚀,腐蚀程度随着流速增大而加剧;CHENG等发现,腐蚀速率与流速呈非线性关系;LI等则认为,腐蚀行为受到剪切应力的控制;金浩哲等通过数值模拟得出剪切应力可以有效表征管道穿孔位置的结论。 在众多关于冲蚀的研究中,很多研究仅考虑了流动特性的影响,或仅从电化学角度对冲蚀做出解释,而关于两者协同作用的研究成果较少。腐蚀性流体和管材表面发生相对运动,含硫污水管道冲蚀是机械侵蚀和电化学腐蚀共同作用的结果,冲蚀机制复杂,影响因素较多。这些影响因素主要涉及腐蚀介质与壁面的化学反应、湍流程度、腐蚀膜的切削变形等。无论是数值模拟还是试验研究,要全面考察各因素综合影响的难度都很大。作者以常减压含硫污水管道为研究对象,综合考虑了腐蚀膜厚度和湍流剪切应力两种因素对冲蚀的影响,通过数值模拟结合电化学试验的方法构建了成膜前壁面剪切应力与腐蚀速率的关联关系,揭示了成膜后腐蚀产物膜破裂的剪切应力临界值,并为降低冲蚀风险提出防护方案。 1 含硫污水管道冲蚀损伤机理 1. 1 工艺过程简介 某石化企业常减压塔顶运行流程如图1所示。在常减压塔顶挥发线竖直管段,注入缓蚀剂、水和中和剂,原料油气经换热器(E1002A,D) 降温后进入常减压塔顶回流罐(V1003A)。分离出的气相物料经空冷器(Ec1002A,D)降温进入常减压塔顶产品罐(V1003B)进行三相分离,分离出的含硫污水与V1003A含硫污水出口管线汇合,最终进入常减压塔顶脱水罐。本次研究的含硫污水管道即为V1003A和 V1003B的污水出口管段,污水工艺参数如表1所示。 图1 常减压塔顶运行流程图 表1 含硫污水管道的工艺参数 1.2 冲蚀影响因素 在含硫污水流动过程中,管壁表面会形成以FeS为主要成分的腐蚀产物膜。该腐蚀产物膜的形成是动态的,剪切应力影响着它的完整性。当剪切应力超过临界值时,腐蚀产物膜遭到破坏并剥落,形成初始冲蚀坑,管道近壁面处局部发生结构突变,在突变区域形成微弱的湍流,加剧冲蚀坑下游管壁腐蚀。在裸露的管壁表面,腐蚀产物膜再次生成,然后剥落,并沿着流体运动的方向形成新的冲蚀坑,如此循环往复,直至管壁穿孔泄漏。 2 管道冲蚀数值模拟 2. 1 含硫污水管道模型建立及网格划分 图2(a)为含硫污水管道模型的几何结构,尺寸如表2所示。对模型计算域使用蜂窝状网格划分,管道近壁面处边界层进行加密处理,如图2(b,c) 所示。对不同网格疏密程度下案例的计算结果进行网格无关性验证,结果如表3所示。当网格数量约为2655934时,网格数量的变化对案例计算结果造成的误差很小,符合计算要求。数值模拟采用k-e湍流模型,V1003A出口流速为0.7125m/s,V1003B出口流速为0.1794m/s,边界条件设置为进口流速和出口压力。 图2 含硫污水管道模型和网格划分 表2 含硫污水管道尺寸内径80mm 表3 含硫污水管道模型的网格无关性验证 2.2 标况下冲蚀预测结果 针对某石化企业实际标定工况下含硫污水管道的流动特性与冲蚀特性进行模拟,标定工况具体工艺参数如表1所示。图3为污水管道流速和湍流强度分布。由图3可见,管道CD段与FE段相通,在D点处两股污水汇合后流量迅速增大,且通过CD段污水在重力作用产生加速度,因此在D点三通管段底部污水流速达到峰值1.43m/s;管道湍流强度仅在污水汇合后发生突变,D点三通管段附近存在高湍流强度区域,而管内流体中心处与壁面处流速差距越大,湍流强度越大,传质阻力越小,腐蚀速率越大。 图3 管道内含硫污水流速和湍流强度分布 壁面成膜后,流体内腐蚀性介质需渗透穿过腐蚀产物膜才能腐蚀壁面,故管壁的腐蚀速率较低;随着管内流速增大,对管壁的剪切应力变大,管壁上腐蚀产物膜厚度减小,腐蚀性介质渗透率增大,腐蚀速率增大。当剪切应力增大到一定程度时,腐蚀产物膜剥落,流体与壁面直接接触,腐蚀速率达到峰值。 由图4可见,管壁上剪切应力整体呈对称分布。在AB和BC段剪切应力很小;而在CD和EF段污水汇合点D,由于湍流程度加剧,剪切应力急剧增大,峰值约为5.5Pa;在E点弯头处由于流向改变,剪切应力也较大。 图4 含硫污水管道壁面剪切应力分布 3 电化学试验 3. 1 试验准备及数值模拟 按图5搭建电化学试验装置,该装置具有占用空间小,试验周期短等特点,可实现动态电化学测试。根据标况下含硫污水管冲蚀预测结果,选取冲蚀最严重的汇合管段污水作为试验介质。待测(工作) 电极为φ6mm ×90mm的20钢,用砂纸逐级打磨工作电极测试表面,其余表面用UV胶包裹并进行紫外线固化。参比电极为汞-氧化汞电极,通过双盐桥与污水相通,盐桥主要成分为KOH,辅助电极为石墨电极。试验容器尺寸为φ60mm×70mm,污水高度为40mm,待测表面距离容器底25mm,转子规格为φ5mm×30mm。 图5 电化学试验装置 通过模拟电化学试验腔内流体流动状态,获取电化学测试过程中不同工况下待测电极表面剪切应力,从而建立剪切应力与腐蚀速率之间的关联式。首先,对腔内的流体计算域进行蜂窝状网格划分,并对待测表面边界层进行加密处理,如图6所示。然后,采用k-e湍流模型和流体体积(VOF) 模型进行数值模拟,气液两区域内交界面设置为interface,其余为壁面。正式模拟前,以转速1000r/min为例进行网格无关性验证,如表4所示。由表4可见,当网格数约173353时,模拟获得待测电极表面的最大剪切应力几乎不发生变化,符合计算要求。由图7可见,当转速达到600r/min时,待测表面最大剪切应力达到试验要求。为了增加试验的样本量,试验中转速范围设置为0~1000r/min。 图6 电化学试验腔模型和网格划分 表4 电化学试验腔模型的网格无关性验证 图7 电化学试验腔待测面剪切应力的模拟结果600r min 3.2 电化学测试结果 不同转速下20钢在污水中的Tafel曲线如图8所示。在不同转速下20钢的阳极极化表现为活化-钝化控制,随着转速的增大,20钢的自腐蚀电位正移,极化曲线右移,腐蚀活性增强,腐蚀电流密度增大。这说明转速增大即污水流速的增大能加速介质对待测表面的腐蚀,在流体介质和壁面材料相同的情况下,流速越大,污水对壁面的剪切应力越大。Tafel曲线结合法拉第定律可计算获得腐蚀速率。将腐蚀速率和数值模拟得到的剪切应力作图,拟合出两者关联式,如图9所示。该公式可以作为含硫污水管道腐蚀速率的计算依据。 图8 不同转速下20钢在污水中的Tafel曲线 图9 剪切应力和腐蚀速率的拟合曲线 不同转速下20钢在污水中的电化学阻抗谱如图10所示。通过对Nyquist图的定量分析可以发现,随着转速的逐步提升(0~250r/min),容抗弧半径呈现明显的单调递减趋势,这一现象揭示了20钢表面腐蚀产物膜的动态演变过程。具体而言,当转速低于临界值时(对应剪切应力<1.9Pa) ,阻抗谱中仅出现一个逐渐收缩的单一容抗弧,这反映了在流体剪切应力持续作用下,原始腐蚀产物膜的保护性能正在发生渐进性退化,其完整性和致密性随剪切应力增强而不断降低。值得注意的是,当转速达到250r/min(对应剪切应力1.9Pa) 时,阻抗谱形态发生显著改变,出现第二个明显较小的容抗弧。这种双容抗弧特征表明:(1) 流体剪切应力已超过表面腐蚀产物膜的强度阈值,导致局部区域发生保护膜剥离;(2) 在金属基体新暴露出的区域,污水介质与基体发生新的电化学反应,形成了具有不同电化学特性的次级腐蚀产物膜。这一临界现象的发现为确定腐蚀产物膜的稳定性提供了重要依据,试验数据明确显示1.9Pa是该体系下腐蚀膜发生剥离破坏的临界剪切应力。 图10 不同转速下20钢在污水中的电化学阻抗谱 4 含硫污水管道冲蚀风险分析 4. 1 变工况下管道冲蚀 标准工况下含硫污水管壁腐蚀速率分布如图11所示。由于D点三通管处流体形成的剪切应力对腐蚀产物膜的破坏性很大,腐蚀产物膜不断脱落,腐蚀过程会持续进行。为预防冲蚀风险,标况下需要对高风险区域加大测厚布点的数量和频率,或在EK段实时监测水相中Fe2+含量变化。 图11 含硫污水管壁腐蚀速率分布成膜前 随着管道内污水流速增大,含硫污水管道的剪切应力会发生改变,腐蚀速率亦会随之变化。如图12所示,随着污水流速增大,最大剪切应力呈超线性增加。当流速大于0.3m/s时,最大剪切应力超过了临界值,此时管内腐蚀形式主要为流体对管壁的持续冲刷腐蚀,管壁减薄,形成微湍流,腐蚀速率随流速增大持续增大;当流速小于0.3m/s时,最大剪切应力小于临界值,腐蚀速率较低,这是因为此时腐蚀产物膜较完整,,可以对管壁起到很好的保护作用,腐蚀性介质需缓慢渗透腐蚀产物膜才能腐蚀管壁。可见,临界流速(0.3m/s) 为冲蚀高风险阈值。为规避冲蚀风险,原结构管道极限工况下污水进口流速应小于0.3m/s。 图12 不同流速下含硫污水管道冲蚀情况 4.2 变结构下管道冲蚀 在当前管道结构和标况下,含硫污水管道存在一定的冲蚀风险。虽然降低污水排放速率可以有效规避冲蚀风险,但同时会降低了污水排放效率,对工艺生产造成影响。为了在不影响含硫污水正常排放的前提下,降低管道的冲蚀风险,需对污水管道结构做出调整。 首先,尝试通过增加管径、降低流速,来降低管道的冲蚀风险。不同管径下含硫污水管道的冲蚀特性如表5所示。可以看出,若保持原支管段(AD段)管径不变,将汇合管段(FK段) 管径增加至110mm以上,管壁上最大剪切应力可以降低至临界剪切应力1.9Pa以下。或者将原支管段(AD段) 管径增加至90mm,同时将汇合管段(FK 段) 管径增加至100mm,管壁上最大剪切应力亦低于1.9Pa,可有效降低冲蚀风险。 表5 不同管径下含硫污水管道的冲蚀特性 其次,尝试优化三通结构,即将三通连接处直角改为圆弧。管道冲蚀高风险位置多位于管道三通连接处。如图13所示,原三通接头处为直角,污水在该区域产生漩涡,局部形成微湍流,对壁面产生了二次剪切应力,因此此处壁面的剪切应力较大。为避免局部漩涡产生,将三通接头的直角连接改为曲率半径为30mm且连接角a为45°的圆弧连接,此时三通接头处速度矢量分布如图14所示。可以看出,优化后三通接头区域内污水流向稳定,漩涡基本消失,不会对壁面产生附加的剪切应力,说明该结构优化是有效的。优化后三通结构在不同流速下的最大剪切应力如表6所示。结果表明,三通结构优化后,不同流速下最大剪切应力均大幅下降;在0.7 m/s标况流速下,最大剪切应力从5.5Pa降为2.7Pa,降幅达50%。 图13 三通管直角连接示意及含硫污水速度矢量分布 图14 三通管圆弧连接示意及含硫污水速度矢量分布 进一步对三通圆弧过渡的连接角a进行调整。不同连接角a优化后三通处流速分布和冲蚀特性分布如图15和表7所示。可以发现,随着a增大,近壁面处流速增大,速度梯度急剧变大,最大剪切应力也随之迅速增大;当a为45°时,近壁面处流速、速度梯度和最大剪切应力均达到峰值,此时风险区域面积也达到最大;当a继续增大时,近壁面处流速、速度梯度和最大剪切应力反而减小。当连接角a为30°时,三通管处最大剪切应力为1.8Pa,已经小于临界值。为降低含硫污水管道的冲蚀风险,建议将三通连接角a调整至30°以下。 图15 不同连接角a优化后三通处流速分布 表7 不同连接角a优化后三通结构的冲蚀特性 5 结 论 (1) 含硫污水管道内流动状态下腐蚀产物膜破裂的临界剪切应力为1.9 Pa;冲蚀高风险区域位于含硫污水管道三通段底部附近,壁面剪切应力远大于临界值,最大腐蚀速率为1.37mm/a,需加大测厚布点的数量和频率或在管道下游对水相中Fe2+进行实时监测。 (2) 基于研究成果改进含硫污水管道结构,可以有效降低冲蚀风险,提高管道使用寿命。
免责声明:本网站所转载的文字、图片与视频资料版权归原创作者所有,如果涉及侵权,请第一时间联系本网删除。
官方微信
《腐蚀与防护网电子期刊》征订启事
- 投稿联系:编辑部
- 电话:010-62316606
- 邮箱:fsfhzy666@163.com
- 腐蚀与防护网官方QQ群:140808414

























