中国科学院宁波所蒲吉斌研究员团队:CNTs含量对激光熔覆耐磨抗蚀涂层的微观组性能影响
2025-12-25 17:04:33
作者:中国表面工程 来源:中国表面工程
分享至:
随着我国“海洋强国战略”的实施,面向深海、远海的船舶和海洋装备进入快速发展阶段,而船舶及海工装备关键部位及部件的耐磨蚀和防污性能对装备安全运行起着关键性影响。大型船舶动力系统的主轴承是关键部件,主要包括的轴瓦、轴承、轴衬、轴套等。在海洋苛刻环境长期服役,轴类、轴瓦、齿轮等关键部件直接受到高速、交变载荷、摩擦磨损及腐蚀作用,造成严重的损伤与失效。据统计,全球范围内约60%的船舶发动机部件失效由磨损、腐蚀等材料表面损伤引起。同样地,服役于深海环境的船舶及海工装备,如水下航行器的电潜泵叶轮及轴承、钻采设备的钻具、深海系泊链系统等广泛存在摩擦及深海腐蚀问题。显然,关键部件的磨损、腐蚀损伤与失效己经成为船舶和海洋装备的多发性和危险性故障,不仅严重地影响其性能,而且使维护费用大幅度增长。因此,提高关键部件耐磨耐腐蚀性能,对保障船舶和海洋装备可靠性、稳定性及工作寿命极为重要。
中国科学院宁波材料技术与工程研究所蒲吉斌研究员团队在《中国表面工程》2025年第38卷第5期发表研究论文《CNTs含量对激光熔覆耐磨抗蚀涂层的微观组性能影响》,采用球磨工艺将镀镍碳纳米管与铁基非晶粉体混合后,通过同轴送粉激光熔覆技术在 Q235 钢表面制备不同含量碳纳米管(CNTs)的铁基非晶合金涂层,探讨 CNTs 对涂层的微观结构、相组成、力学性能及摩擦腐蚀性能的影响。
吴正江, 李帅兵, 魏小强, 杜鹏程, 余斯亮, 刘贻欧, 贺学明, 庞旭明, 蒲吉斌. CNTs含量对激光熔覆耐磨抗蚀涂层的微观组性能影响[J]. 中国表面工程, 2025, 38(5): 226-237.
WU Zhengjiang, LI Shuaibing, WEI Xiaoqiang, DU Pengcheng, YU Siliang, LIU Yiou, HE Xueming, PANG Xuming, PU Jibin. Effect of CNTs Content on the Microstructure and Properties of Laser Cladding Wear-resistant and Corrosion-resistant Coatings[J]. China Surface Engineering, 2025, 38(5): 226-237.
针对海洋环境下船舶及海工装备复杂结构关键部件耐磨蚀涂层腐蚀磨损的瓶颈科学问题,基于温度场-应力场-流场耦合作用下超高速激光熔覆制备组织致密、耐磨蚀性能优异涂层的研究目标,通过材料、涂层设计及制备工艺的探索获得非晶-纳米晶涂层。研究涂层与海洋环境相容性、腐蚀及磨损行为,揭示成分-结构-性能演化规律及损伤机理,突破海洋装备关键装备耐磨蚀涂层的核心科学问题并为其在苛刻环境下耐磨防腐提供理论基础。
试验采用的基体材料为海洋装备应用广泛但耐磨蚀性能差的Q235钢,尺寸为100 mm×100 mm×10 mm。试验前对其表面进行抛磨处理以去除表面氧化层,并用酒精进行清洗。试验采用的涂层材料为 FeCrMoCBSi非晶合金粉末,其成分(原子百分数)25at.%~27at.% Cr、16at.%~18at.% Mo、2at.%~2.5at.% C、2at.%~2.2at.% B、0.3at.%~0.5at.% Si、Fe余量。镍碳比为6:4的镀镍碳纳米管(CNTs)进行机械混合后作为新的熔覆粉末。采用德LDF4000-40半导体光纤耦合激光器,配备COAX-50-S同轴送粉喷嘴和双筒同步送粉器,结合氩气保护进行同轴送粉。以激光功率为1 000 W、扫描速度为20mm/s的条件制备出碳纳米管含量分别为0.25wt.%、0.5wt.%、1wt.%和2wt.%的铁基非晶合金复合涂层。最后对制备好的试样进行抛光,并在10%的CrO3电解液中进行腐蚀实验。
利用D8 ADVANCE X射线衍射测试仪对熔覆合金粉末和涂层表面进行分析。以FEI Quanta FEG 250扫描电子显微镜涂层进行微观组织观察。采用HV-1000型维氏硬度计测量试样的截面硬度。采用(G200,America)纳米压痕仪测量涂层的微观硬度和弹性模量。采用Rtec摩擦机与Modulab电化学磨蚀仪来检测涂层的磨损-腐蚀耦合损伤,以ZrO2球(φ=3 mm)为摩擦球进行摩擦试验。并且通过三电极体系在磨蚀测试过程中进行电化学检测,其中Pt电极为对电极(Counter electrode),Ag/AgCl电极为参比电极(Reference electrode),待测样品为工作电极(Working electrode),腐蚀液为3.5wt.%NaCl溶液。
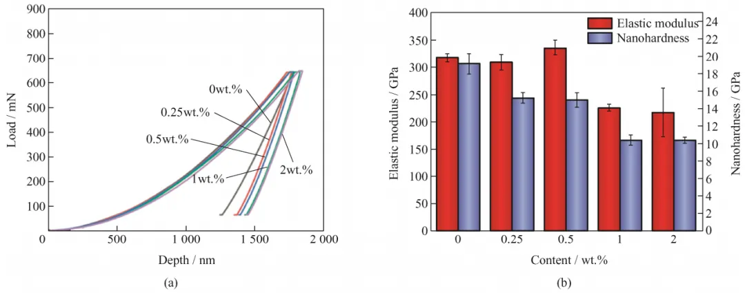
CNTs 的添加促进了涂层的结晶,且随着CNTs 含量的增加,涂层的非晶含量减少。不同 CNTs含量涂层均存在 α-Fe 固溶体、Cr23C6 硬质相和Cr12Fe36Mo10 金属间化合物,当 CNTs 含量大于0.25wt.%,涂层中开始出现 Cr7Ni3,当 CNTs 含量大于 0.5wt.%,涂层中产生了 Fe2C。
CNTs 的添加降低了涂层的硬度,且随着含量增加,涂层的硬度降低,CNTs 为 0.25wt.%涂层的显微硬度为 1 024.55 HV0.2,添加 0.5wt.%的CNTs 使涂层的弹性模量增加了约 17.9 GPa。
CNTs 的添加没有改变涂层在磨损-腐蚀交互作用下材料的损耗行为,但 0.5wt.%的 CNTs 可提升涂层摩擦磨损条件下的耐腐蚀性能。未添加 CNTs涂层的腐蚀电位和电流密度分别为-0.358 6 V 和1.557 9 µA / cm2,CNTs 含量为 0.5wt.%涂层的腐蚀电位和电流密度分别为-0.293 8 V 和 1.027 4 µA /cm2。添加 CNTs 涂层的磨蚀损耗行为以腐蚀对磨损的促进作用为主。
免责声明:本网站所转载的文字、图片与视频资料版权归原创作者所有,如果涉及侵权,请第一时间联系本网删除。