海洋防污材料研究应用与发展趋势
2025-12-24 11:39:16
作者:付成林,刘庆波 等 来源:混凝土世界杂志
分享至:
在海洋严酷环境下,氯盐侵蚀、冲击侵蚀、污损生物侵蚀时刻困扰着人们,如何有效解决这些问题成为一项重要的议题[1]。海洋生物污损是指附着于海工结构上的海洋生物对构件造成不利影响[2]。造成海洋污损的生物包括动物、植物以及微生物,其中起主要作用的有藤壶、贻贝、牡蛎、海藻和其他海洋细菌等,其对环境的危害主要包括:增加了船舶的航行阻力,增大了船舶在海上航行的经济负担;同时,污损的生物会随着轮船移动导致生物入侵的发生;随水流进入用水管道进而附着堵塞用水管道;产生的生物酸,加速了对金属的腐蚀,降低了金属的使用寿命周期[3]。因此,防治生物污损是各国共同关注的海洋环境问题。
生物污损是一种复杂的自发性的生物灾害,生活在海洋环境中的生物会在结构表面附着演变,最终形成能够适应海洋环境的生物污损群落[4]。其形成过程大致分为以下4个阶段[5-6]:(1)形成基膜。结构材料在浸入海水几秒或者几分钟内通过静电相互作用、物理吸附等吸附海水中的有机分子(蛋白、多糖、糖蛋白)形成基膜。(2)形成生物膜。在数小时内,海洋中的细菌和单细胞藻类通过与结构表面的微弱的相互作用在结构表面形成多物种初期生物膜。(3)几天之内,生物膜中的生物不断生长繁殖,并在此过程中进一步吸引微生物、藻类孢子 甚至原生动物幼虫,形成微型生物污损群落。(4)形成大型污损生物群落。污损生物中优势种类快速生长,经过优胜劣汰后,群落的结构趋于稳定。
为了防止生物污损的危害,早在木船时期,就采用涂刷沥青、焦油、砷化合物或者包覆铜板等方法作为防污的手段。铁船出现后,由于铜板会加速船体的腐蚀,以往的防污技术已经不再适用,直至有机锡自抛光防污材料作为一种新兴的防污技术开始出现在大众的视野中,由于其具有优良的防污性能,被广泛大量使用[7]。但随着自抛光防污材料使用量的增加,人们逐渐发现有机锡的使用会造成生物富集,且有机锡极难分解,会随着生物链进行转移,对人体健康以及生态环境造成极大的危害。因此《国际管制船舶有害防污系统公约》出台,要求自2008年1月1日起一律禁止船舶使用任何带有有机锡的船舶海洋防污材料。因此,研究新型环保的海洋防污材料已经逐渐发展成为目前我国从事海洋环境防污材料工程相关领域学术研究的一个重要研究热点。表1为目前防污材料的主要研究方向及各类型防污材料的特点。

污损生物只有进行附着后才可以形成群落,低表面能防污材料就是利用这种特性来阻止污损生物的生长。低表面能利用其超低的表面能使污损生物不宜附着,或可在高速水流冲刷状态下使已附着的污损生物脱落下来。涂层表面能的高低决定了污损生物附着的数量,表面能越低,污损生物就越难以附着[8]。研究结果表明,只有当涂层与水的接触角超过98°或者其表面能低于25mJ·m2时[9],涂层的表面才会具有防污和自清洁的功能。因其特殊的防污机理,整个涂层的使用过程没有防污剂的存在与释放,因此不需要考虑到防污剂对海洋环境的影响,符合各国对环保性能的需求,是防污材料的重点研究方向之一。目前低表面能防污材料系列主要是有机硅系列、有机氟系列以及其改性产品。
19世纪70年代,科学家们研制出了有机硅防污材料。有机硅防污材料树脂中的成膜物质是由羟基封端的直链聚硅氧烷与多官能的有机硅化合物交联剂交联固化反应,在室温下缓慢缩聚形成的三维结构聚合物[10],具有良好的防污效果。为了提高有机硅防污材料的应用性能,研究人员通过对其物理共聚改性复合或化学改性设计和制造出改性有机硅防污材料。在对有机硅化学改进的方法中,常用聚合物树脂(如环氧树脂、丙烯酸树脂、聚氨酯树脂等)与聚硅氧烷链上的活性基团(如羟基、羧基、异氰酸酯基等)反应[11]。周涛等[12]利用新型自由基改性聚合材料技术对丙烯酸聚酯树脂进行了有机硅改性改性复合,通过对热性分析及接触角测试的实验结果分析证明,在有机硅材料加入改性后,能够有效地帮助改善改性丙烯酸聚酯树脂的耐热性与疏水性。杜郢等[13]利用自乳化与外乳化相互结合的技术,合成了阴离子型高固含量硅烷偶联剂改性水性聚氨酯(WPU)乳液,这种新型水性涂膜的固体黏度相对较低、且具有稳定性好、耐水、抗热性良好等特点。有机硅防污材料不仅符合绿色环保的政策要求,且防污性能优异。但由于其力学性能及附着力差,通常在使用过程中设置中间漆以提高防污材料与防腐漆之间的黏结强度,增加了施工的难度[14]。此外,由于涂层的机械性能较差,容易受到外力的破坏,使得涂层的实际使用寿命大大减少,增加了其工程应用的难度。
含氟单体的碳链较短,更易降解,对环境更友好[15],且有机氟树脂与水的接触角大,表现出非常低的表面能[16],成为低表面能防污材料的的一大研究方向。Oldani等[17]在不锈钢基体表面制备了复合的含氟涂层。实验结果证明,用该类聚合物制备的涂层表面能更低,防污性能优异。刘金庭等[18]以乳液聚合法采用短碳链含氟单体N-甲基全氟丁基磺酰胺基乙基丙烯酸酯(C4)合成了含短链氟单体的丙烯酸酯聚合物,实验证明其与水的接触角可达114°。由于聚四氟乙烯(PTFE)的成膜方式采用热熔成膜法,导致其成膜的致密性较差,形成的PTFE微孔会成为附着在涂层表面污损生物的集中点[19],所以PTFE的实际防污性能并不优异。开发固化温度低、涂层附着力好的有机氟树脂成为热门课题之一。
由于有机硅和有机氟材料各存在其性能优缺点,因此科学家们对两者进行复合优化,以硅氧链为主链,在侧链中引入-CF3基团,制备了硅-氟树脂防污材料。线型聚硅氧烷保持了整个大分子的高弹性并且-CF3基团使得材料表面具有极低的表面能,使得硅-氟树脂防污材料能兼具有机硅和有机氟防污材料性能的优点。除了有机硅和氟的共聚之外,将有机硅与惰性低相对分子质量有机氟化合物物理共混[20-21]或是将具有反应活性的有机氟化合物作为交联剂与有机硅进行复合[22],均能使得形成的涂层具有更光滑的表面,进一步提高其防污性能。目前,低表面能防污材料仍存在基体的附着力差、施工工艺复杂、使用寿命较短、防污广谱性能差等实际应用问题。但是与传统防污材料相比,低表面能防污材料污染物排放量少,环保效益好,所以低表面能防污材料仍是一大发展趋势。
现有的自抛光防污材料是在有机锡自抛光的基础上变化改进而得,比有机锡自抛光防污材料更加绿色环保,适应各国绿色环保的政策要求。是目前海洋防污材料的一大研究方向。研究人员通过模仿聚丙烯酸锡酯的结构,在其基础上进一步改进,采用铜、锌及硅等[23-25]元素来代替锡元素,研制出了侧链水解型的聚丙烯酸铜、聚丙烯酸锌和聚丙烯酸硅烷酯树脂,制备出含有机锡自抛光防污材料性能的新型自抛光防污材料。由于有机锡被替换后的自抛光防污材料防污性能下降,所以需添加Cu2O或辅助高效的有机防污剂,才能保证防污的有效性和广谱性。该类自抛光防污材料水解机理见式(1)~式(3),侧基在海水中不断发生离子交换,主链则可在海水的冲刷下脱落,从而达到自抛光效果。

为了改变复配防污剂导致的涂层分布不均和防污剂团聚现象,研究人员考虑将防污剂接枝到树脂上,就可以通过化学方法“水解和扩散”释放防污剂,如此有利于提高防污剂的使用率,避免局部防污剂爆释现象。于良民等[26]制备了一类接枝的功能性丙烯酸锌树脂,浅水挂板试验表明,丙烯酸锌树脂具有良好的物理性能和防污性能。马红圳、谢志鹏等[27-28]通过对苯并异噻唑啉酮进行改性得到羧基,然后将含羧基的苯并异噻唑啉酮接枝到丙烯酸树脂上得到改性的丙烯酸锌树脂,使其侧链具有防污效果。结果表明,苯并异噻唑啉酮接枝丙烯酸锌树脂具有良好的防污性能。由于技术原因,大多数含接枝防污剂的防污材料还处于研究阶段,在实际应用中存在一些困难:由于接枝的防污剂大多需要提前改性,因此往往导致生产工艺复杂和防污剂防污性能的下降,并且在一定程度上提高了生产成本。因此,如何保证防污剂的性能,简化生产过程是未来研究的重点。
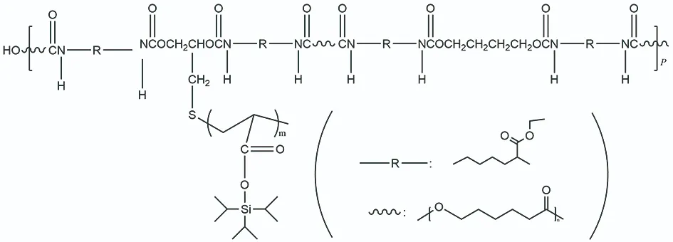
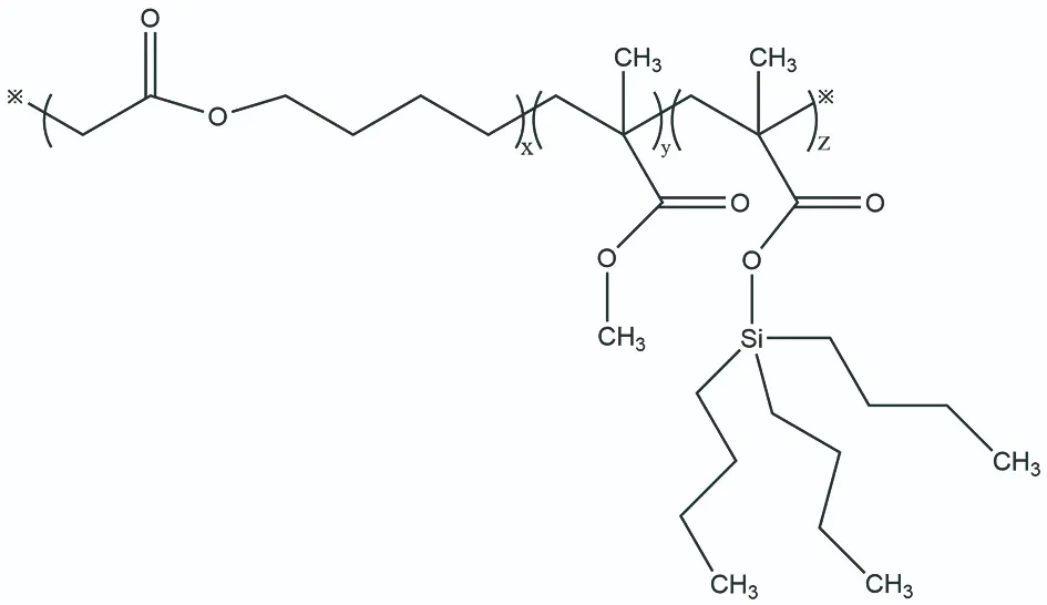
传统自抛光防污材料的主链是不可降解的,在侧链水解之后涂层表面残留有主链骨架,这不仅阻碍了防污剂的释放,而且由于其不易在海水中降解,对环境也有一定的危害。叶章基、艾孝青等[29-32]制备了一种新型自抛光防污材料,主链降解-侧链水解聚氨酯(如图1所示)和主链降解-侧链水解聚丙烯酸硅烷酯(如图2所示),可以使得侧链被水解时,主链被降解。浅海挂板试验证明,其防污性能优异。

图1 主链降解-侧链水解型聚氨酯结构

图2 主链降解-侧链水解型丙烯酸硅烷酯结构
仿生防污材料根据其不同的特性,主要分为2类[33]:一是从珊瑚、海绵等生物体内提取具有防污活性的物质,制备高效光谱的防污剂;二是模仿鲨鱼、荷叶等动植物的表面构造,制造一种特殊表面的防污材料,使其具有防污的功效。仿生防污材料由于其环保性能优良,符合目前世界各国环保方针政策的趋势,具有广阔的前景,但是由于其提取工艺、合成制造存在一定的难度,使其大多停留在试验阶段,没有很好的应用。通过研究生物表皮的形态和特征,如鲨鱼和荷叶,发现与光滑表面相比,微观表面呈现微纳米规则的突起结构,可以极大地减少污损生物的附着点,有效减少污损生物附着。模拟制备这种微结构表面,可以使污损生物难以在表面附着,或者使已附着的生物在水流的冲刷下脱落下来,从而达到防污效果。Karen L.Wooley[34]研发了一种由超支链氟化聚合物和线性聚乙烯乙二醇构成微观上呈现纳米尺寸的亲/疏水相间结构,结果证明,该结构有良好的防污性能,并由此提出了附着点理论,即可以使污损生物附着的点数越少,污损生物就越难以附着。张金伟等[35]制备了具有不同结构特征的材料,其表面具有不同的物理和化学性质,并研究了这些性质对硅藻等污损生物附着的影响。
目前从海洋微生物、海藻、海洋无脊椎动物等海洋生物中提取出的防污活性物质,主要包括有机酸、萜类、酚类、吲哚类等[36-38]。例如Salama等[39]在红海内生长的大型藻类体内提取出来具有防污活性的物质,制备涂膜后进行防污试验,结果发现,这种天然产物的提取物具有良好的防污效果,能有效减少污损生物的生长。钱培元等[40]通过研究海洋链霉菌,研发出了丁烯酸内酯类防污剂(Butenolide)。除海洋生物外,陆生植物中也提取出了防污活性物质。例如从辣椒中提取的辣椒素就是一种防污活性物质,具有良好的防污效果。目前,市面上常用的绿色防污剂有2-(对-氯苯基)-3-氰基-4-溴基-5-三氟甲基-吡咯(ECONEA)、4,5-二氯-2-辛基-4-异噻唑啉酮(DCOIT)、吡啶硫酮铜、吡啶硫酮锌以及美托咪啶等。虽然现阶段天然防污活性物质被认为是防污剂的有效替代品,但天然防污活性物质的应用仍面临挑战。首先,生物体内天然防污活性物质含量小,提取难度大;其次,天然防污活性物质的稳定性差,广谱性差等问题使其难以在实际工程中广泛应用。因此,在天然活性物质的基础上,通过化学改性提高稳定性和广谱性或寻求工业化合成是推广仿生防污剂应用的主要途径。
在海洋环境中,不论是海洋牧场等静态海工结构还是船舶等动态结构,都面临着防污的迫切问题。低表面能海洋防污材料、自抛光海洋防污材料以及仿生防污海洋防污材料是继有机锡防污材料之后的主要方向。低表面能防污材料符合绿色环保的要求,但存在机械性能差、施工困难等问题,且不能完全适用于静态海工结构,其应用受到一定限制。自抛光海洋防污材料防污性能优良,但存在抛光速率不稳定、大量使用氧化亚铜以及适用于船舶困难等问题,解决树脂抛光速率、提升绿色化防污剂性能是今后研究的重点。可针对不同类型海洋防污材料的优缺点,将仿生防污材料与低表面能以及自抛光海洋防污材料相互结合,取长补短,综合运用,针对设备所处海洋环境和使用条件开发工艺简单、 防污性能好、多功能复合型防污材料是今后的重要发展趋势。
免责声明:本网站所转载的文字、图片与视频资料版权归原创作者所有,如果涉及侵权,请第一时间联系本网删除。