文章引用: Zhou Q, Wang Q, Yang L,Zhou Y. Investigating CMAS corrosion in ultrahightemperature Hf6Ta2O17-based thermal barriercoatings: A mechanism by which corrosion productshinder corrosion resistance. MGE Advances. 2025;e70018. https://doi.org/10.1002/mgea.70018 摘要 Hf6Ta2O17陶瓷兼具优异的热学与力学性能,并具有高达2244 °C的相变温度,被认为是新一代超高温热障涂层(TBCs)的理想候选材料。然而,在高温服役条件下,钙镁铝硅酸盐(CMAS)熔体对热障涂层的化学腐蚀是导致其结构失效的关键因素之一。为揭示Hf6Ta2O17在高温下优异抗CMAS腐蚀性能的内在原因,本文基于密度泛函理论(DFT)对CMAS/Hf6Ta2O17体系进行了界面反应与扩散行为分析。结果表明,CMAS与Hf6Ta2O17之间的相互作用具有较低的反应能,促使界面能够快速生成致密而稳定的腐蚀产物层,主要由CaTa2O6和HfSiO4组成。该反应层显著降低了CMAS中元素向基体内部的扩散速率,从而有效阻止了腐蚀的进一步发展。这种界面自钝化机制使Hf6Ta2O17在高温CMAS环境中表现出优异的化学稳定性,进一步强化了其作为下一代超高温热障涂层材料的应用潜力。
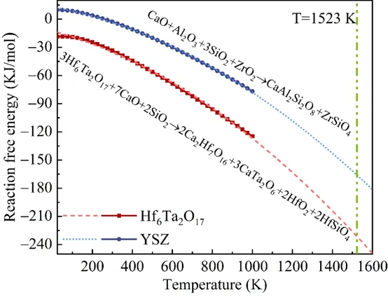
文章重点内容介绍 本文以长周期正交结构的超高温陶瓷Hf6Ta2O17为核心对象,首次从原子尺度系统揭示了其在极端服役环境下抗CMAS腐蚀性能的本质机理。结合第一性原理密度泛函理论(DFT)与从头算分子动力学(AIMD)方法,构建了CMAS/ Hf6Ta2O17(010)界面模型,从结构能量、扩散动力学及反应热力学等方面深入剖析了腐蚀过程的原子演化行为。结果发现,在超过1523 K的高温下,CMAS中的Ca、Si元素具有较高的扩散活性,能够穿透界面并与Hf、Ta发生化学反应,在界面快速生成致密的腐蚀产物层。主要产物CaTa2O6与HfSiO4均具有极高的热稳定性和较快的生成速率,能在CMAS熔体环境中长期保持结构完整,形成高密度、低扩散的防护层。计算进一步表明,这一反应为放热过程,扩散势垒较低,说明反应自发且稳定(如图1、2);同时,腐蚀产物层的存在显著降低了Ca、Si等元素的扩散系数(如图3)。热力学分析显示,Hf6Ta2O17与CMAS的反应自由能远低于传统YSZ(如图4),与实验中观察到的致密保护层形成过程高度一致。如图5所示,CMAS/Hf6Ta2O17的腐蚀过程可分为四个阶段:初始阶段CMAS颗粒附着于涂层表面;随温度升高,CMAS熔融并与基体发生快速互扩散;在高温下界面生成稳定的CaTa2O6和HfSiO4反应层;随着时间延长,该反应层逐渐致密化并显著降低元素扩散速率,从而阻止CMAS的进一步渗透。结合上述分析可知结合上述分析CMAS虽与Hf6Ta2O17发生反应,但生成的CaTa2O6–HfSiO4复合层反而成为阻止后续侵蚀的天然屏障。本研究不仅从原子尺度揭示了Hf6Ta2O17涂层的抗腐蚀本质,也为未来设计具有自防护和超高温稳定性的热障涂层提供了新的理论支撑与设计思路。 图1 CMAS/Hf6Ta2O17(010)I 不同扩散路径的扩散活化能 图2 CMAS/Hf6Ta2O17 (010)Ⅱ 不同扩散路径的扩散活化能 图3 界面相对不同元素扩散系数的影响:(a)CMAS/Hf6Ta2O17(010)I与CMAS/CaTa2O6(100)/Hf6Ta2O17(010)I的对比;(b)CMAS/Hf6Ta2O17(010)I与CMAS/HfSiO4(100)/Hf6Ta2O17(010)I的对比;(c)CMAS/Hf6Ta2O17(010)II与CMAS/CaTa2O6(100)/Hf6Ta2O17(010)II的对比;(d)CMAS/Hf6Ta2O17(010)II与CMAS/HfSiO4(100)/Hf6Ta2O17(010)II的对比。A➜B表示元素从相A向相B的扩散,其中A和B为两种不同的相。 图4 反应自由能随温度的变化 图5 CMAS/Hf6Ta2O17热障涂层(TBCs)腐蚀过程的四阶段示意图
免责声明:本网站所转载的文字、图片与视频资料版权归原创作者所有,如果涉及侵权,请第一时间联系本网删除。
官方微信
《腐蚀与防护网电子期刊》征订启事
- 投稿联系:编辑部
- 电话:010-62316606
- 邮箱:fsfhzy666@163.com
- 腐蚀与防护网官方QQ群:140808414









