电化学反应的能级表示
电化学反应牵涉到电极和电解液中的氧化剂(Ox)或还原剂(Rd)之间的电子传递,因此这一反应与电极的能带结构和电解液中氧化剂和还原剂的态密度分布有密切的关系。图1是电极/电解液界面电子转移的能级-能态密度示意图。
图1. 电极/电解液界面电子转移的能量示意图
在能级重叠的地方实行电子交换,电子从还原剂转移到金属电极的导带(Fermi能级以上)上,形成氧化反应,电子从金属电极的Fermi能级转移到氧化剂上,则形成还原反应。外加于金属电极的电位将改变金属的Fermi能级,即改变电子的能量。
阴极极化将使Fermi能级(EF)向上移动(图2(a)),使电子的能量升高,有利于还原反应的发生。阳极极化则使EF向下移动(图2(b)),使电子的能量降低,有利于氧化反应的发生。
图2. 改变电极电位对电子转移的能量的影响。(a)阴极极化;(b)阳极极化。
电化学反应的电流-电位方程
考虑电极反应式Ox+ne-⇌Rd(1),当反应处于平衡状态时,其电极电位φeq与溶液中氧化剂和还原剂的浓度cOx和cRd之间符合Nernst关系:
φeq=φ⊖′+RT/nF*lnCOx/CRd(2)
现在转向讨论电化学反应的动力学,令反应(1)式的前向反应(还原反应或称为阴极反应)的速率常数为kf,反应速率和反应电流分别为vf和ic;后向反应(氧化反应或称为阳极反应)的速率常数为kb,反应速率和反应电流分别为vb和ia,则有
Vf=KfCOx(0,t)=ic/nFA(3)
Vb=KbCRd(0,t)=ia/nFA(4)
式中A为电极/溶液界面面积;cOx(0,t)和cRd(0,t)分别为氧化剂和还原剂在电极表面处的浓度。
总的电化学反应为阴极电流和阳极电流之差,即
i=ic-ia=nFA[KfCox(O,t)-kbCRd(0,t)](5)
图3. 电化学反应活化能随电极电位变化的示意图。
观察图3,假定电极电位在0V时的阴极反应活化能和阳极反应活化能各为ΔG‡0,c和ΔG‡0,a,若电极电位φ从0V向正方向移动到+E,则电极上电子的能量将改变-nFE(能量下降),因此,(Ox+e-)曲线向下移nFE,如图中的虚线。
这样,氧化反应(阳极反应)的活化能ΔG‡a比原来(即φ=0时)的活化能小一些,ΔG‡a<ΔG‡0,a,即小于能量变化的某一分数,取为(1-α),α的值可以从0到1,这样
ΔG‡a=ΔG‡0,a-(1-α)nFE(6)
从图3中可以看出,还原反应(阴极反应)的活化能也起了变化,电极电位等于E时的活化能比φ=0时大,ΔG‡c>ΔG‡0,c,即大总能量变化的α倍,这样
ΔG‡c=ΔG‡0,c+αnFE(7)
假定反应速率常数kf和kb具有Arrhenius形式
kf=Afexp(-ΔG†c/RT)(8)
kb=Abexp(-ΔG†a/RT)(9)
将(6)式的ΔG‡a代入(9)式,(7)式的ΔG‡c代入(8)式,则
kf=Afexp(-ΔG†0,c/RT)exp(-αnFE/RT)(10)
kb=Abexp(-ΔG†0,a/RT)exp[(1-α)nFE/RT](11)
当E为0时,有
k⊖f=Afexp(-ΔG†0,c/RT)
k⊖b=Abexp(-ΔG†0,a/RT)
再设f=F/RT,并且为了统一符号,把E改写成φ,这样(10)式和(11)式可以写成下列形式:
kf=k⊖fexp(-αnfφ)(12)
kb=k⊖bexp[(1-α)nfφ](13)
现在进一步考虑一个特殊情况,即电化学反应处在平衡态并且溶液中Cbox=CbRd,这时有cOx(0,t)=Cbox,cRd(0,t)=CbRd,vf=vb,即kfCbox=kbCbRd。
因而kf=kb,又根据Nernst方程式,当Cbox=CbRd时,有φ=φ⊖′,再从(12)式和(13)式得
kf=k⊖fexp(-αnfφ⊖′)(14)
kb=k⊖bexp[(1-α)nfφ⊖′](15)
因为此时前向反应和后向反应的标准速率常数相等,故我们可以令其为k⊖,即
k⊖=k⊖fexp(-αnfφ⊖′)=k⊖bexp[(1-α)nfφ⊖′](16)
式中k⊖称为标准速率常数,也就是当电极处在热力学标准电位时的反应速率常数。将上述的k⊖代入(12)式和(13)式,得
kf=k⊖exp[-αnf(φ-φ⊖′)](17)
kb=k⊖exp[(1-α)nf(φ-φ⊖′)](18)
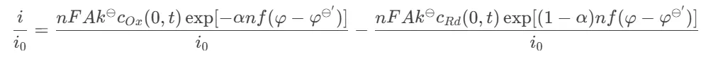
将上述关系式代入(5)式得到电流-电位方程:
这是电化学反应的基本方程,非常重要。
上面提到的α称为电子传递系数,它是电极反应动力学参数之一,它的数值在0和1之间,与电极电位和活化能有关,即
α=0.5+nF(φ-φ⊖′)/16ΔG†0(20)
当活化能较高(电子转移速率较低)、φ-φ⊖′较小时,α接近0.5。
电流-过电位方程的一般形式
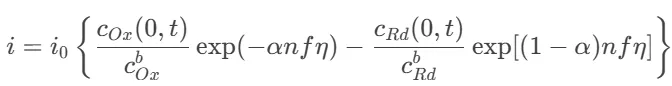
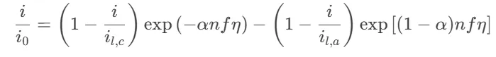
使用交换电流i0取代标准速率常数k⊖,来表示电极反应的动力学过程,一个突出的优点就是它把电流和过电位η:η=φ-φeq(2.1)直接联系起来。将(19)式两边同时除以i0,得
则电流-过电位方程为
应该注意,上式右端括号中的第一项代表阴极电流成分,第二项为阳极电流成分,并且一直假定阴极电流为正。
图4. 电流-过电位曲线
图4给出了一条有代表性的i-η曲线。实验为实际的总电流,是阴极电流ic和阳极电流ia的代数和,ic和ia分别由虚线表示。
在高度阴极极化区,阳极电流可略去不计,这时阴极电流基本代表了总电流,实线和虚线重合在一起。同样,在高度阳极极化区,阴极电流可略去不计,总电流等于阳极电流。
另外,无论是阴极极化还是阳极极化,当过电位很高时,电流都趋于一个饱和值,这时电流为溶液中传质过程所限制,出现极限电流。此极限电流用il表示。
Butler-Volmer方程
如果在电化学反应过程中对溶液进行充分搅拌,或者是电极反应电流很小,离子扩散过程比电极/溶液界面的电荷迁移过程快得多,使得电解质在电极表面的浓度与溶液本体中的浓度基本相等,即
COx(0,t)=CbOx,cRd(0,t)=cbRd
这样,电流-过电位方程可简化为
i=i0{exp(-αnfη)-exp[(1-α)nfη)]}(2.4)
上述称为Butler-Volmer方程。当电流i小于阴极或阳极极限电流中较小者的大约10%时,它是电流-过电位方程式的一个较好的近似。
图5为按(2.4)式计算的不同交换电流密度下的j-η理论曲线,在所有这些理论曲线中取n=1,α=0.5。在这种情况下,因为不包括传质过程的效应,所以全部过电位反映的是电极反应的活化能。
此时的过电位可以称为电荷传递活化过电位,它与电极反应的动力学参数交换电流密度密切相关,对于同一个净电流,交换电流越小,活化过电位越大。如果交换电流很大,像图5中的a那样,活化过电位就很小。对于这一类电极反应,如果发生了极化,则主要应考虑溶液中浓差过电位的作用。
图5. 交换电流密度对j-η曲线的影响。
从简化了的(2.4)式也很容易了解传递系数α对电极反应过电位的影响。图6为不同α值时的电流-过电位理论曲线。可以看出,对于同一个反应电流,随着α的增大,阴极过电位减小,而阳极过电位增大。
当∣nfη∣≪1时,(2.4)式可以进一步简化成
i=i0[1-αnfη-(1+(1-α)nfη]
即i=-i0nfη(2.5)
图6. 传递系数对j-η曲线的影响。
这时电流和过电位之间有线性关系,图5和图6中当η很小时,j-η曲线的线性部分说明了这一点。(2.5)式右端的负号是与以上所取阴极电流为正相一致的。比率-η/i具有电阻的量纲,称为电荷传递电阻,用Rct表示:
Rct=1/nfi0=RT/nFi0(2.6)
从上式可以看出,电荷传递电阻Rct与交换电流i0有反比关系。对于i0较大的反应,或者说对于标准速率常数k⊖较大的反应,Rct较小;反之,当i0较小时,Rct较大。所以Rct也可以用来表示电极反应动力学的快慢,它也是一个重要的动力学参数。电荷传递电阻Rct可以通过交流阻抗方法进行测量。
传质影响的i-η方程为:
(3.1)
图7给出了不同i0/il值时,依照上述计算的i-η理论关系曲线。图中i0/il=∞的曲线表示了电极反应完全可逆时的i-η关系,此时过电位完全由质传递过程所引起。
图7. i-η曲线随i0/il的变化,曲线相应的i0/il值为a=∞;b=1;c=0.1;d=0.01。
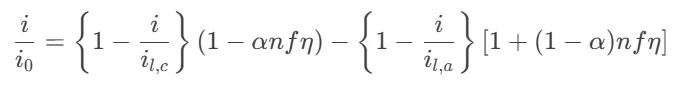
当过电位很小时,严格地说,当nfη≪1时,有exp(-αnfη)≈1-αnfη和exp[(1-α)nfη]≈1+(1-α)nfη。
代入(3.1)式得
(3.2)
在过电位η值小的情况下,一般i/il,c≪1,i/il,a≪1,这样(3.2)式变为
i/i0=-i/il,c+i/il,a-nfη(3.3)
或者
η=-i(1/nfi0+1/nfil,c-1/nfil,a)(3.4)
1/(nfil,c)和1/(nfil,a)具有电阻的量纲,分别称为传质电阻Rmt,c和Rmt,a:
Rmt,c=1/nfil,c,Rmt,a=1/nfil,a(3.5)
因此(3.4)式又可以改写成η=-i(Rct+Rmt,c-Rmt,a)(3.6)
从上式可以看出,当i0很大时,即当Rct≪Rmt,c+Rmt,a时,在平衡电极电位附近,过电位主要是取决于浓差极化。反过来,如果i0远远小于极限电流,即Rct≫Rmt,c+Rmt,a。此时,平衡电极电位附近的小的过电位则主要是电荷传递活化过电位。
免责声明:本网站所转载的文字、图片与视频资料版权归原创作者所有,如果涉及侵权,请第一时间联系本网删除。
官方微信
《腐蚀与防护网电子期刊》征订启事
- 投稿联系:编辑部
- 电话:010-62316606
- 邮箱:fsfhzy666@163.com
- 腐蚀与防护网官方QQ群:140808414















