第一作者:李天润博士 通讯作者:王建强研究员;张锁德副研究员 通讯单位:中国科学院金属研究所 DOI: 10.1016/j.jmst.2024.04.051
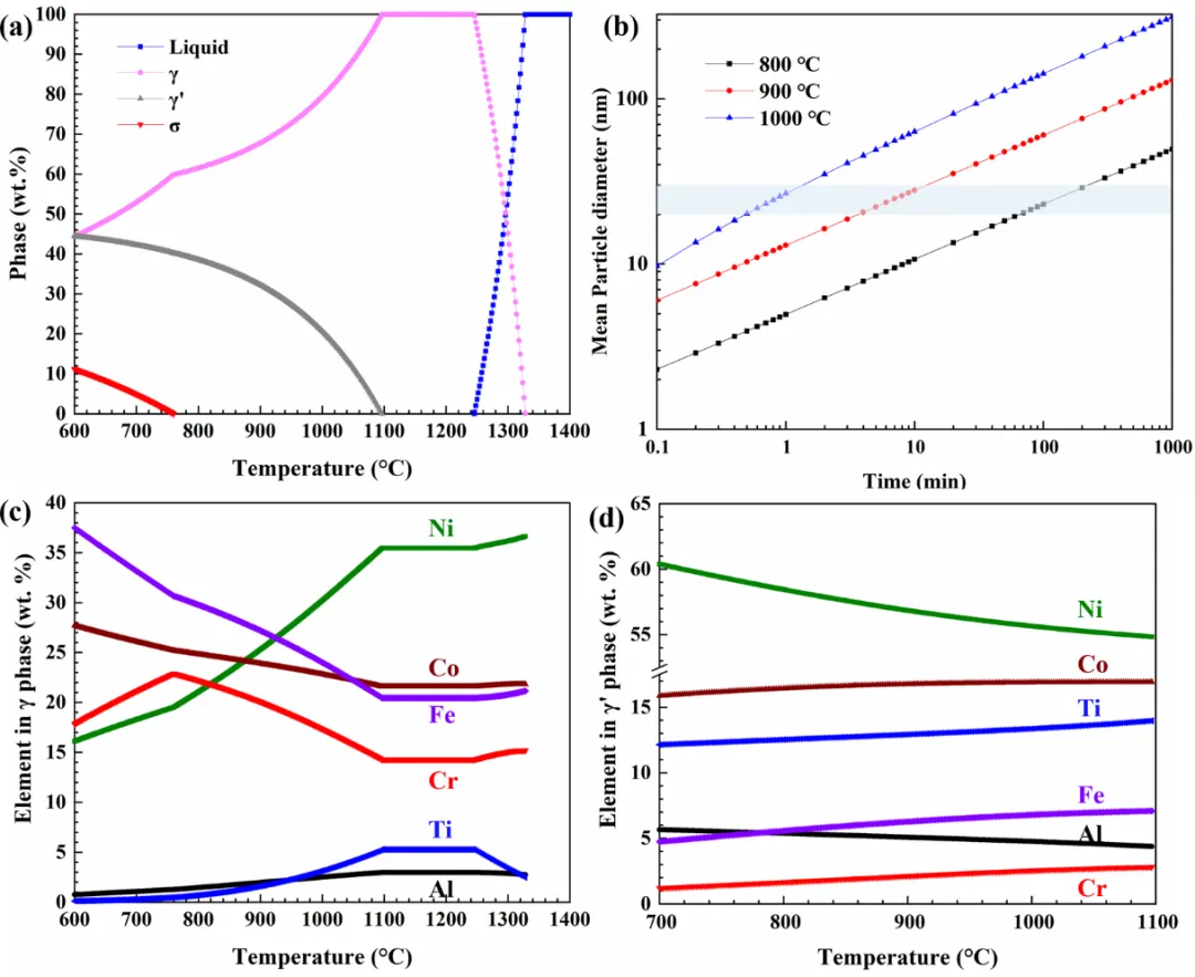
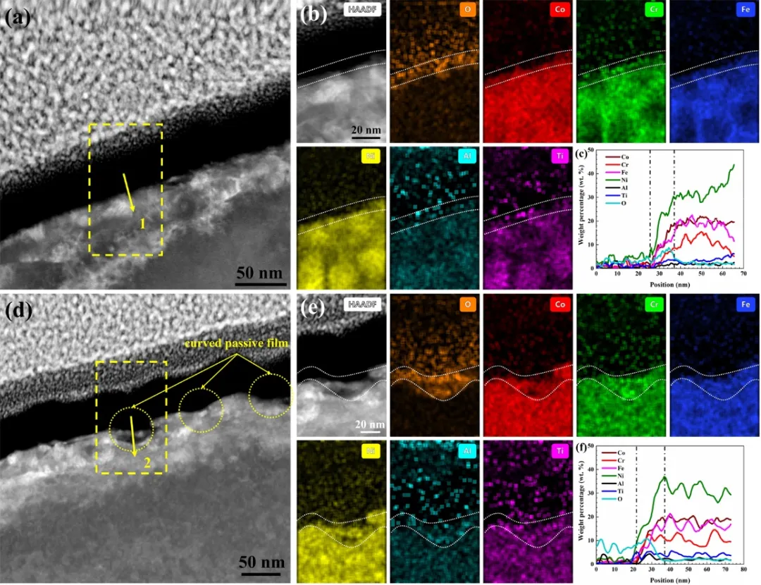
01 全文速览 析出强化型高熵合金在室温下表现出良好的强韧性匹配,然而在腐蚀性溶液环境中,第二相通常会降低合金耐局部腐蚀能力。近期中科院金属所王建强研究员团队提出了通过析出纳米级L12相大幅提高高熵合金点蚀电位的新策略,该策略实现了FCC基体中Cr元素的富集,协同提高了钝化膜稳定性和点蚀生长抗力。该工作澄清了析出强化型高熵合金的腐蚀机制,并为耐蚀高熵合金的设计提供了全新思路。 02 研究背景 在海洋环境中,结构材料面临着力学性能和耐蚀性能的双重挑战。析出强化型高熵合金具有出色的强韧性匹配,但析出相和基体相之间的成分差异和电偶腐蚀作用会诱发形成不均匀的钝化膜。因此,理解析出过程中的成分分布特点,阐明析出相对腐蚀行为的内在机制,并通过调控析出相来实现高熵合金耐蚀性的提升,成为材料科学和腐蚀领域的难题。 03 本文亮点 本研究基于相图计算实现了L12析出相的可控制备,结合腐蚀热力学电位pH图和钝化膜的TEM观察,系统研究了纳米级尺度L12相含量对高熵合金腐蚀行为的影响机制。阐明了纳米级L12相的析出有助于实现FCC基体中Cr元素的富集,从而提高钝化膜稳定性及点蚀生长抗力,提出了通过析出纳米级L12相大幅提高高熵合金点蚀电位的新策略。 04 图文解析 要点1:相图计算指导L12-高熵合金的可控制备。 图1的相图计算为析出强化型高熵合金的成分选择和制备工艺提供了准确指导。首先Co20Cr15Fe20Ni33Al6Ti6合金在800-1100 °C的宽温域内呈现FCC+L12的简单结构(图1a),避免了B2、Sigma相。结合图1a-b,可以实现L12相尺寸相同,含量变化的精准调控。图1c-d预判了FCC相和L12相内元素成分随温度的变化,这种变化可能是合金耐蚀性改变的重要原因。 图1 相图计算指导L12-高熵合金的可控制备 要点2:L12相强化高熵合金的腐蚀行为。 图2a-b表明随L12相含量的提高,合金的点蚀电位大幅提高,最高可达接近600mVSCE。与其他多相高熵合金或传统合金相比,该合金的耐均匀腐蚀能力和耐点蚀能力存在明显优势(图2c)。 图2 L12相强化高熵合金的腐蚀行为 要点3:电位-pH图分析两相表面氧化物的热力学稳定性。 图3a-b分别展现了FCC相和L12相表面形成氧化物的热力学稳定性。其中FCC表面形成的氧化物以Cr2O3为主,而L12相表面形成的氧化物以Al2O3为主。Cr2O3具有较强的耐点蚀能力,而在含氯溶液中Al2O3易被Cl-吸附、侵蚀,具有较弱的耐点蚀能力。因此可以判断L12相相比于FCC相更易被腐蚀。 图3 FCC相和L12相表面氧化物的电位-pH图 要点4:钝化膜TEM观察证实热力学预测 图4a-f表明L12相在腐蚀过程中被优先腐蚀,但钝化膜沿着下层FCC基体快速生长,形成弯曲但连续、均匀的钝化膜,该结果与电位-pH图的预测相符。此外,合金钝化膜稳定性主要与FCC基体的性质有关,而FCC基体的Cr元素含量越高,钝化膜就越稳定。因此,通过提高L12相含量,促进FCC基体中Cr元素富集(图1c),可以有效提高钝化膜稳定性。 图4 L12相在腐蚀过程中被优先腐蚀,形成弯曲但连续、均匀的钝化膜 要点5:点蚀生长稳定性分析 假设L12相被完全溶解,那么溶解留下的亚稳“坑”会继续长大还是发生再钝化呢?图5a展现了亚稳点蚀坑内发生的电化学过程,其中,点蚀能否稳定生长取决于溶解动力学和扩散动力学的竞争。对于相同尺寸的亚稳点蚀坑,idiff,crit应保持恒定,如图5b蓝线所示,而不同Cr含量的FCC基体会导致溶解动力学的显著改变,如图5b红线所示。FCC基体Cr含量越高,电流密度对电位的斜率则越低,因此需要达到更高的临界条件才会发生点蚀的稳定生长,即提高了点蚀稳定生长的抗力。 图5 点蚀生长稳定性分析 05 总结与展望 本工作通过调控L12相含量,大幅提升了析出强化型高熵合金的耐腐蚀性能。理解了L12相析出过程中元素的分布特点,澄清了析出相含量对高熵合金腐蚀行为的影响,阐明了L12相含量对钝化膜稳定性和点蚀生长过程的影响机制。 论文原文链接:https://doi.org/10.1016/j.jmst.2024.04.051 06 作者介绍 高熵/非晶合金涂层课题组隶属于中国科学院金属研究所沈阳材料科学国家研究中心材料动力学研究部,由王建强研究员担任组长,主要研究方向涉及亚稳合金(非晶及高熵)的成分设计与开发,耐蚀耐磨合金涂层的设计与开发,熔覆层工艺过程数值模拟与仿真,以及增材修复与防护等领域。课题组先后承担国家自然科学重点、面上等项目10余项,其中重点项目2 项,以及科技部重点研发和部委预研项目等20余项。课题组荣获2021年度辽宁省自然科学二等奖,发表高质量文章100余篇,授权专利20余件。 课题组秉承实事求是,勇于创新的理念,瞄准材料科学前沿和紧密结合国家重大需求,注重学科交叉,在亚稳合金,增材修复等领域深耕细作,取得了丰硕成果,课题组欢迎本领域有识之士深入交流与合作,共同进步与发展。 课题组网站:http://www.imr.cas.cn/yjtd/AACHEA/ 07 引用本文
Tianrun Li, Debin Wang, Jingping Cui, Qi Wang, Suode Zhang, Jianqiang Wang, Enhanced pitting resistance for high-entropy alloys by precipitating nano-sized L12-strengthened phase, J. Mater. Sci. Technol. 208 (2025) 53-66
免责声明:本网站所转载的文字、图片与视频资料版权归原创作者所有,如果涉及侵权,请第一时间联系本网删除。
官方微信
《腐蚀与防护网电子期刊》征订启事
- 投稿联系:编辑部
- 电话:010-62316606
- 邮箱:fsfhzy666@163.com
- 腐蚀与防护网官方QQ群:140808414









