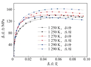
Ti60合金微观组织演变及力学 性能预测的模拟研究 张金虎1,李学雄1,许海生1,赵子博1,2,徐东生1,董利民1,王清江1,杨 锐1 (1.中国科学院金属研究所,辽宁 沈阳 110016;2.宝鸡西工钛合金制品有限公司昱华先进材料研究院,陕西 宝鸡 721300) 摘 要:通过模拟的方法对Ti60合金的组织及力学性能进行预测已成为材料研发的重要手段。本研究将Ti60合金折算为Ti-Al-Mo三元合金体系,通过建立相应的热动力学数据框架和多相场动力学模型,描述了Ti60合金双态微观组织的演变,并结合晶体塑性有限元模型评估了其力学性能。研究表明,随着热处理温度升高,体系内初生与次生α相的体积分数均降低,内应力对变体的选择作用增强。同时,Al元素在α相中的富集程度提高,而Mo元素相对贫乏。在双态微观组织变形过程中,β相是高应力分配相,次生α相周围易发生应力集中,且初生α相的平均应变显著高于次生α相的。随着温度升高,片层增厚,变体选择效应增强,导致应力协调性和分布均匀性降低,加剧了应变分布的不均匀性,使合金塑性降低。本研究为通过热处理工艺优化Ti60合金的显微组织和力学性能提供了理论依据。 关键词:Ti60合金;组织演变;性能评估;相场;晶体塑性 文中主要图表 (序号为文中序号) 图1 Ti- 15.17Al-0.38Mo合金随 温度变化时的相体积分数情况 图2 Ti-15. 17Al-0.38Mo合金随温度 变化的α与β相的吉布斯自由能曲线 图3 10 000时间步时初生α相形貌 图4 不同温度下初生α相的体积分数 图5 1 250~1 290 K,10 000时间步时 显微组织、Al及Mo元素分布演化过程 图6 不同温度条件下组织演化后 拉伸压缩真应力-真应变曲线 图7 不同温度条件下组织演化后变体及 相体积分数 图8 不同温度条件下组织演化后变形云图 结 论 本研究对Ti60合金微观组织演变及其力学性能预测进行了模拟研究,通过铝当量与钼当量换算,确定以Ti-15.17Al-0.38Mo(原子分数, %)近似代表Ti60合金作为模拟目标合金,得到的主要结论如下: (1)建立了可描述Ti60合金双态组织演变的多相场动力学模型。同时,输出的微观组织构型可输入到晶体塑性有限元模型中对其力学性能进行预测。 (2)随热处理温度升高,即过冷度降低,合金体系内α相的体积分数减小,其中初生α相的体积分数也逐渐减小,但内应力对变体的选择效应却增强。Al元素在α相内的富集程度提高,而Mo元素则相对贫乏。 (3)双态组织变形时,β相是高应力分配相,较小的次生α相周围容易造成应力集中;初生α相的平均应变明显高于次生α相的。随温度升高,微观组织的片层厚度增加,变体选择效应加强,降低了合金的应力协调性和分布均匀性,加剧了应变分布的不均匀性和差异分配特征,使合金塑性降低。 综上,本研究基于热处理制度对Ti60合金显微组织结构进行调控,为进一步改善和优化合金的力学性能提供模型与数据基础。 本文引用格式 张金虎, 李学雄, 许海生, 等. Ti60合金微观组织演变及力学性能预测的模拟研究[J]. 材料开发与应用, 2025, 40(3): 92-100+113. ZHANG J H, LI X X, XU H S, et al. Simulation study on microstructure evolution and mechanical property prediction of Ti60 alloy[J]. Development and Application of Materials, 2025, 40(3): 92-100+113.
免责声明:本网站所转载的文字、图片与视频资料版权归原创作者所有,如果涉及侵权,请第一时间联系本网删除。
官方微信
《腐蚀与防护网电子期刊》征订启事
- 投稿联系:编辑部
- 电话:010-62316606
- 邮箱:fsfhzy666@163.com
- 腐蚀与防护网官方QQ群:140808414











