由于三代核电厂的运行寿命为60~70年,因此核电厂对应循环水管道系统也是按此年限设计。循环水管道系统的主要功能是向常规岛汽轮机凝汽器及其辅助设备提供冷却水,将汽轮机排出的乏汽冷凝为水,同时还向核岛厂用水系统(SWS)提供冷却水。
核电厂通常以海水作为冷却水。由于海水具有腐蚀性,通常采用单一或组合的防腐蚀措施(衬胶、涂层、阴极保护等)对海水管道进行防护。
根据三代核电厂近几年运行经验,海水管道易出现局部防腐蚀层失效,从而形成小阳极大阴极的腐蚀模式,导致碳钢制海水管道迅速穿孔。管道穿孔会引起冷源损失,严重时还会导致停机停堆。
因此,山东核电有限公司联合国家电投集团电站运营技术(北京)有限公司的研究人员在模拟海水环境中研究了Q235B钢管的失效行为,推测其失效机理,以期为Q235B钢管在海水环境中的应用提供理论依据。
试验材料和方法
试验材料为某三代核电厂用Q235B钢管,采用线切割从管道上切取电化学试样和腐蚀浸泡试样。
电化学试样尺寸为10 mm×10 mm×2.5 mm。将试样的其中一面与铜导线连接,用环氧树脂和聚酰胺树脂的混合物将试样进行封装,暴露面积为1 cm2;依次使用400,800,1000号SiC水砂纸逐级对试样表面进行打磨;将打磨后试样置于无水乙醇中超声清洗,然后用蒸馏水、酒精进行清洗,最后用热空气吹干后保存在干燥器中。
腐蚀浸泡试样尺寸为40 mm×40 mm×3 mm。在试样一端钻孔(直径3 mm),用400,800,1000号SiC水砂纸逐级打磨试样表面,然后在无水乙醇中超声清洗,吹干后放置在干燥箱中。使用精度为0.001g的电子天平对试样进行称量。
试验溶液为3.5% NaCl,采用分析纯级的氯化钠和去离子水配制而成。试验溶液温度分别为20,30,40,50 ℃。
在CS2350H电化学工作站并采用三电极体系进行电化学试验。首先测量试样的开路电位(OCP),测试时间为40 min。OCP测试结束后立即进行电化学阻抗谱(EIS)测试,激励信号采用振幅为20 mV的正弦波,频率为10-2~104 Hz。所有的电化学测试至少重复3次,以确保重现性。然后用Zview软件对EIS进行拟合。
采用ESCALAB250Xi型单色Al Kα辐射源的X射线光电子能谱(XPS)对不同温度下浸泡60天后Q235B钢表面腐蚀产物的成分进行分析,并用Avantage5.0软件对XPS数据进行拟合。
电化学性能分析
从图1可以看出,在不同温度的3.5% NaCl溶液中,Q235B钢的开路电位均随着浸泡时间的增加逐渐降低,最终趋于稳定;稳定后的开路电位随温度的升高逐渐降低。
图1
在不同温度3.5% NaCl溶液中
Q235B钢的开路电位与时间的关系
根据能斯特方程可知,合金/金属在溶液中的开路电位与吉布斯自由能的变化有关,开路电位越低,吉布斯自由能的变化越大,表明材料的热力学腐蚀倾向越大。当温度为50 ℃时,开路电位最低,表明该温度下Q235B钢腐蚀倾向最高。
同时,在不同温度下,开路电位稳定的时间也与温度有关。20 ℃下,在测试范围内开路电位随着浸泡时间的增加持续降低;而30,40和50 ℃下,开路电位在最初的时间内迅速降低,然后趋于稳定,溶液温度越高,开路电位达到稳定所需的时间越短。
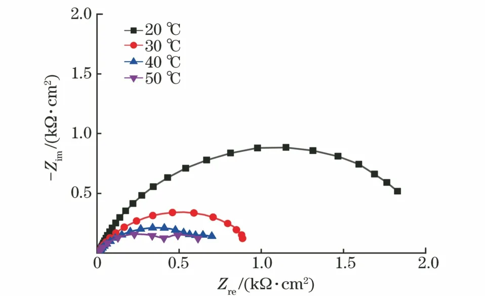
从图2可以看出,在3.5% NaCl溶液中,温度对Q235B钢的电化学阻抗谱有显著影响。
图2
在不同温度3.5% NaCl溶液中
Q235B钢的电化学阻抗谱
当温度为20和30 ℃时,该腐蚀体系的电化学阻抗谱呈现单容抗弧,表明温度为20和30 ℃时腐蚀机理相同,腐蚀主要是受到粒子在疏松腐蚀产物膜中的传输过程影响。
当温度为40和50 ℃时,该腐蚀体系的电化学阻抗谱呈两个容抗弧,表明材料形成了多层膜结构。碳钢/低合金钢在水溶液中形成的腐蚀产物膜呈多层结构,外层疏松,内层致密。随着温度的升高,容抗弧的半径逐渐减小,这表示材料的耐蚀性随着温度的升高逐渐降低。
利用等效电路对电化学阻抗谱进行拟合,20和30 ℃时腐蚀体系的电化学阻抗谱可以用图3(a)所示等效电路来拟合。40和50 ℃时腐蚀体系的电化学阻抗谱可以用图3(b)所示的等效电路来拟合。
图3
Q235B钢在不同温度3.5%
NaCl溶液中的等效电路图
图3中的Rs表示溶液电阻,Rp表示极化电阻,Rf表示腐蚀产物膜电阻,Rct表示电荷转移电阻,CPEf为用于表示腐蚀产物膜电容的常相位角元件,CPEct为用于表示双电层电容的常相位角元件。因为电极表面存在弛豫效应和电荷不均匀性,所以通常用CPE来代替纯电容。
电化学阻抗谱的拟合结果如表1和表2所示。其中极化电阻等于膜电阻和电荷转移电阻之和。
表1 20和30 ℃时电化学阻抗谱的拟合参数
表2 40和50 ℃时电化学阻抗谱的拟合参数
结果表明,当温度从20 ℃升高到50 ℃时,极化电阻呈单调递减。这表明随着温度的升高,Q235B钢在3.5% NaCl溶液中的耐蚀性降低。
腐蚀速率分析
从图4可知,在20 ℃的3.5% NaCl溶液中,Q235B钢的腐蚀速率随着浸泡时间的延长逐渐降低。浸泡时间为30天时,腐蚀速率为5.95×10-5 mg/(cm2·d);浸泡时间延长至120天时,腐蚀速率降为5.20×10-5 mg/(cm2·d)。
图4
在20 ℃的3.5%NaCl溶液中
Q235B钢的腐蚀速率
YAN等研究发现,低合金高强钢E690在3.5% NaCl溶液中的腐蚀速率也随着浸泡时间的延长而降低,且认为这是金属表面腐蚀产物的形成导致的。
在海洋环境中钢铁材料的腐蚀速率主要受海水温度、含氧量、pH、盐度、海水流速和生物活性等影响,长时间浸泡后,溶解的金属离子在材料表面形成一层腐蚀产物层,而这种腐蚀产物层一定程度上阻碍了材料与溶液的接触,腐蚀产物层下钢基体与溶液的接触面积减小,腐蚀性离子的穿透性降低,因此钢的腐蚀速率降低。
一般来说,碳钢/低合金钢在海洋中发生的腐蚀为均匀腐蚀,碳钢表面垢下腐蚀是最主要且持续时间最长的腐蚀形态。腐蚀过程涉及多个相内传质和多个相界面区迁移反应,且随着腐蚀过程中腐蚀产物的堆积和转化,腐蚀速率会发生变化。
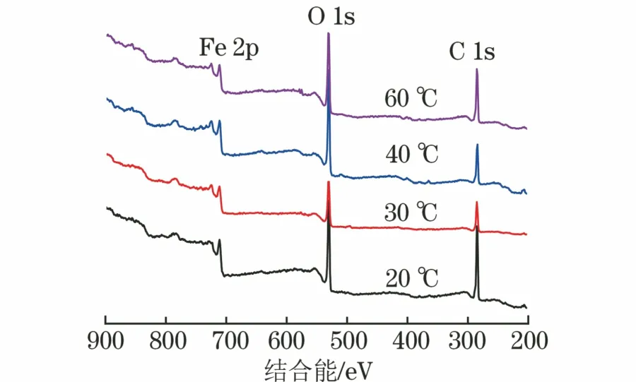
腐蚀产物成分分析
从图5可知,在不同温度下Q235B钢表面形成的腐蚀产物主要由铁和氧构成,即不同温度下的腐蚀产物主要由铁氧化合物组成。在腐蚀产物XPS谱中出现的C1s峰可能是腐蚀过程中钢中的残留碳,或者从空气中吸收的CO2,因此可以利用C1s的峰对铁和氧的峰进行校准。
图5
不同温度3.5% NaCl溶液中
Q235B钢表面腐蚀产物的XPS全谱
为了更进一步研究腐蚀产物的成分,对Fe 2p2/3的峰进行分峰处理,获得不同温度下腐蚀产物中各种物质的组成,Fe 2p2/3的精细谱如图6所示。
图6
不同温度下Q235B钢表面形成的
腐蚀产物中Fe 2p3/2的精细谱
在20和30 ℃时,Fe 2p2/3峰可以分为706.8,710.7,711.8,713.3 eV,分别对应金属态的铁Fe0(met)和铁化合物α-Fe2O3,α-FeOOH和γ-FeOOH。XPS的分峰拟合结果中Fe0(met)的出现可能是温度较低时反应产生的腐蚀产物比较薄,不能完全覆盖基体材料所致。
在40和50 ℃时,Fe 2p2/3峰可以分为710.7,711.8,713.3 eV,分别对应于α-Fe2O3,α-FeOOH和γ-FeOOH,Fe0(met)的峰消失。这说明在40和50 ℃时,钢表面腐蚀产物增加,检测不到基体的峰。
腐蚀产物的组成以及其稳定性对材料有重要的影响。因此,进一步分析了不同温度下形成的腐蚀产物中α-Fe2O3,α-FeOOH和γ-FeOOH的质量分数,结果如表3所示。
表3 不同温度下Q235B钢表面形成的腐蚀产物中各物相的质量分数
其中,γ-FeOOH的稳定性最差,α-Fe2O3次之,α-FeOOH最高。随着温度升高,γ-FeOOH和α-Fe2O3的含量逐渐降低,而α-FeOOH的含量逐渐升高,这说明腐蚀产物中稳定性最好的成分逐渐增加。
Q235B钢在3.5% NaCl溶液中腐蚀时,阳极反应为金属(Fe)的活性溶解;阴极反应为溶液中的溶解O2得到电子被还原;溶液中部分Fe2+与OH-结合形成Fe(OH)2。Fe(OH)2不稳定,会被溶液中的O2氧化为Fe(OH)3;随后Fe(OH)3可转化为γ-FeOOH。
由于阴极和阳极反应发生在基材和溶液之间的界面,因此γ-FeOOH通常优先沉积在基材表面。然后γ-FeOOH逐渐转变为α-FeOOH和α-Fe2O3。
由表3可知,α-FeOOH的相对含量随着温度的升高而增加。相较于γ-FeOOH,α-FeOOH的稳定性更高,并且更致密,对钢基体具有保护作用。因此,随着温度的升高,腐蚀产物层的厚度和致密度增加,基体金属与溶液之间的接触减少,基体腐蚀速率降低。但是,温度的升高也会增强离子的移动,从而促进基体的溶解。温度升高既可降低钢材腐蚀,也可加速钢材腐蚀,这两种截然相反的影响相互博弈,最终决定了Q235B钢的腐蚀速率。
结论
1
随着温度的升高,Q235B钢的开路电位逐渐降低,电化学阻抗逐渐降低,耐蚀性降低。
2
温度的升高不仅促进了Q235B钢基体的溶解,而且促进了腐蚀产物的形成。在20和30 ℃下,腐蚀产物主要由α-FeOOH和α-Fe2O3组成;在40和50 ℃下,腐蚀产物由α-FeOOH和少量的α-Fe2O3,γ-FeOOH组成,与20和30 ℃相比,α-FeOOH的相对含量在40和60 ℃时显著增加。
作者:袁禹,李伟,周录坤(山东核电有限公司)
方奇术,乔彦龙【国家电投集团电站运营技术(北京)有限公司】
通信作者简介:方奇术,高级工程师,硕士,主要从事电站设备与材料的腐蚀与防护研究工作。
来源:《腐蚀与防护》2024年8期
免责声明:本网站所转载的文字、图片与视频资料版权归原创作者所有,如果涉及侵权,请第一时间联系本网删除。
官方微信
《腐蚀与防护网电子期刊》征订启事
- 投稿联系:编辑部
- 电话:010-62316606
- 邮箱:fsfhzy666@163.com
- 腐蚀与防护网官方QQ群:140808414












