第一作者:杜翠婷
通讯作者:王巍,陈守刚
通讯单位:中国海洋大学材料科学与工程学院
研究速览
面对严酷的低温海洋环境,金属表面的高效防冰/除冰和长效腐蚀防护对于海洋机械装备而言至关重要。中国海洋大学陈守刚教授和王巍教授团队在Composites Part B: Engineering中提出了一种以Bi2S3/Ti3C2Tx为光热填料,聚氨酯(PU)为基体的多功能涂层(BSPU)。Bi2S3/Ti3C2Tx具有76.13%的光热转换效率和优异的光热循环稳定性。PU由聚二甲基硅氧烷(PDMS)和Diels-Alder反应(DA反应)等单体组成,赋予涂层具有光滑、疏水和自修复特性的表面,促使该涂层在低温环境中可同时实现被动防冰和主动除冰功能。Bi2S3/Ti3C2Tx经过光热转换以提高涂层温度,导致冰层在-30°C的300秒内脱落。BSPU将水滴在光照下的冷冻时间延长至1500秒以上,是裸金属基板上冷冻时间的6.3倍。由于二维填料提供的“迷宫效应”,涂层的耐腐蚀性显著增强。在低温模拟海水的环境中浸泡90天后,涂层仍保持良好的防腐防护能力。依靠光热效应触发涂层中Diels-Alder(DA)可逆反应,涂层够在短时间内实现损伤自愈。该涂层满足了疏水性和光热主导的被动防冰/主动除冰和耐腐蚀性的要求,在低温海洋环境中具有很高的应用前景。
亮点分析
亮点一:通过光热效率表征测试和COMSOL有限元模拟相结合的方法,深入解析了Bi2S3/Ti3C2Tx异质结的光热转换机理。
亮点二:所设计的多功能涂层克服常见防冰涂层耐蚀性的不足,兼具优异的被动防冰/主动除冰性能、防腐性能,快速的光热自修复性能增强了涂层的防护能力。
图文导读
图1 SEM图,(a,b)Ti3C2Tx,(c-e)Bi2S3/Ti3C2Tx,(f-h)单层Bi2S3/Ti3C2Tx及其EDS元素组成。
图2 (a)XRD光谱,(b)Zeta电位,(c-f)XPS全光谱和精细光谱,(g-h)UV-vis漫反射光谱和Tauc图,(i)光热循环(在1.5 W/cm?的808 nm激光照射下)。
图3(a)防冰实验装置和热能吸收耗散示意图,(b1)水滴延迟冻结和(b2)冰滴快速融化(-10°C恒温平台,1个太阳,0.2 mL去离子水),(C)光热除冰(涂层表面冰厚度为3 mm,-30 ℃,1 sun光照强度)。红色虚线表示冰-水边界。
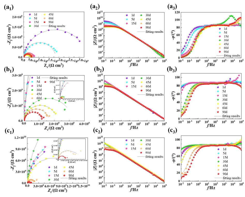
图4 在3.5 wt%的NaCl溶液中的电化学阻抗谱(a:20 ℃下的Pure-PU,b:20 ℃下的BSPU-2涂层,c:0 ℃下的BSPU-2涂层。(a1-c1)奈奎斯特图,(a2-c2)阻抗模量图,(a3-c3)相位角图。
图5 BSPU-2涂层的划痕修复(1.5 W/cm-2 808nm激光照射)。(a,b)通过激光共聚焦测试的修复过程,其中(b2)是交叉划痕中心的深度。SKP映射,(d)显示了表面电势在X方向上的数值变化过程。
结论
设计Bi2S3/Ti3C2Tx为填料、聚氨酯(PU)为基体开发了一种具有光热防冻、耐腐蚀和自修复性能的涂层。Bi2S3和Ti3C2Tx之间形成的Mott-Schottky异质结增强了材料的稳定性和光热性能。在光照下,Bi2S3/Ti3C2Tx作为局部热源,为涂层提供热能,有效延缓表面结冰,并在-30 ℃的低温环境中在300秒内实现快速脱冰。此外,Bi2S3/Ti3C2Tx在涂层中表现出的“迷宫”效应抑制了腐蚀介质的渗透,从而提高了其耐腐蚀性。此外,具有DA反应基团的PU,能够在808nm红外激光照射下实现本征自修复。因此,该涂层不仅提供了卓越的光热除冰性能,以满足复杂和动态应用中的防冰需求,而且还表现出优异的低温耐腐蚀性,可有效保护金属。固有的自我修复能力进一步延长了涂层的使用寿命。因此,这种创新涂层在极端寒冷的海洋环境中具有很好的应用潜力。
原文链接:https://doi.org/10.1016/j.compositesb.2024.111255
参考文献:Cuiting Du, Wei Wang, Zihao Guo, Peng Wang, Shougang Chen, A robust anti-icing/de-icing and self-healing coating based on efficient photothermal Bi2S3/Ti3C2Tx nanofillers, Composites Part B: Engineering 274 (2024) 111255.
免责声明:本网站所转载的文字、图片与视频资料版权归原创作者所有,如果涉及侵权,请第一时间联系本网删除。
官方微信
《腐蚀与防护网电子期刊》征订启事
- 投稿联系:编辑部
- 电话:010-62316606
- 邮箱:fsfhzy666@163.com
- 腐蚀与防护网官方QQ群:140808414









