氘-氚核聚变能因具有清洁、安全、能量密度高、燃料储量丰富等诸多优点,被视为彻底解决人类能源危机的最理想的绿色能源。要和平利用核聚变能,必须建造核聚变反应堆,实现可控核聚变。
钒的氧化产物种类繁多,在空气等高氧分压气氛中,钒合金最主要的高温氧化产物是V2O5,其熔点仅约680 ℃,无法对基体形成有效保护,因此,钒合金的热加工一般需要预先进行真空包套封装或在高真空条件下进行。
钒合金的氧化行为较为复杂,其氧化行为和氧化产物会受到氧化温度、氧分压、合金成分等诸多因素的影响。一般而言,钒合金的氧化增重行为会随着温度或氧分压的升高由线性(n=1)向抛物线(n=0.5)规律转变,其相应的氧化产物则由VO2等低价氧化物转变为V2O5等高价氧化物。
图1是V-4Cr-4Ti合金在不同温度和氧分压环境中的单位面积氧化增重规律。可知即使在高真空或高纯He中(氧分压≤10-4 Pa),V-4Cr-4Ti合金在500~700 ℃区间仍然会发生明显的吸氧增重现象。
当基体中的氧达到0.2%(质量分数)时,钒合金会显著变脆,如图2所示。Hayakawa等发现,当处于高真空环境中时V-O氧化物在400 ℃以上会发生分解而生成单质V,导致氧在基体中的再溶解。计算表明,若要保证钒合金在700 ℃服役25000小时而不会发生吸氧脆化(即氧化增重<0.1 mg·cm-2且延伸率≥10%)的问题,可能需要服役环境满足氧分压<10-8 Pa。但是,考虑到钒合金作为包层结构材料时其实际“表面积/体积比”较实验样品要小,钒合金在实际服役条件下的吸氧脆化临界氧分压值应更高,如10-6 Pa,该因素的具体影响有待进一步的研究。
图2 不同温度下V-4Cr-4Ti合金的延伸率随基体中氧含量的变化情况
此外,当基体中含有一定量的氢时,H、O协同效应会使钒合金发生脆化的临界氧浓度降至更低,如图3所示,因此还需重点关注钒合金在服役过程中是否存在氢同位素渗透的问题。
图3 H含量对V-4Cr-4Ti合金在不同热处理后的室温延伸率的影响
高质量的抗氧化防护涂层通常应具备以下特点:
1 添加抗氧化性元素
研究表明,无论在空气、高纯He还是高真空气氛中,Si元素均有助于降低V-Cr-Ti合金在500 ℃及以下温度区间的氧化增重行为,Y元素则可显著提高V-Cr-Ti合金在600~700 ℃区间的抗氧化性能,而Al元素的添加可以提高V-Cr-Ti合金在700 ℃的抗氧化性能,如图5所示;但是,当温度进一步提高至750 ℃时,添加Al、Si或Y元素的V-Cr-Ti合金均发生严重的氧化增重行为,其中V-Cr-Ti-Y合金的氧化增重最高,这是因为V-Cr-Ti-Y合金在700 ℃时会形成结构较为致密的VO2表面氧化层,而在750 ℃则会形成结构疏松的低熔点V2O5氧化层,使得大量的氧仍可通过溶解、扩散等方式进入到V-Cr-Ti合金基体内部,并会导致合金显著变脆。当同时添加Al、Si和Y元素时,V-4Cr-4Ti-(0.1-0.5)Si-(0.1-0.5)Al-(0.1-0.5)Y合金在不同氧化温度下的质量变化与V-4Cr-4Ti合金均相差较小,即同时添加上述三种元素并未显著提升V-4Cr-4Ti合金的抗氧化性能,如图5所示。另有研究表明,添加Cr、Al、Si等元素还会增加钒合金的氢致脆化敏感性。因此,抗氧化性元素的添加是否会对合金的力学性能造成较大的损害也需要充分的研究。
(a) 添加Al、Si、Y中的一种元素;(b) 添加Al、Si、Y三种元素
Keller和Douglass在研究纯钒和钒合金在空气中氧化行为时发现,纯钒在700~1000 ℃区间的氧化增重行为近似符合线性规律,这是因为低熔点氧化产物V2O5在氧化过程中会持续从基体表面流失掉,无法减缓纯钒的氧化腐蚀行为;V-30Al、V-30Al-10Ti和V-30Al-10Cr合金的氧化增重行为均呈“抛物线+直线”变化规律,其氧化层均由低熔点的V2O5外层和混合氧化物内层组成。所有材料中,纯钒的增重最为显著,而V-30Al-10Cr合金的氧化增重最小。Al2O3、Cr2O3等高熔点合金氧化物与V2O5的共存会一定程度地提高后者的熔点和黏度,并有助于氧化层结构的致密化,这可能是钒合金较纯钒在空气中具有更好抗氧化腐蚀性能的一个重要原因。
此外,Jain等研究了Ta含量对V-4Cr-(1-7)Ta合金在空气气氛中的抗氧化性能的影响,研究发现,V-4Ti-7Ta合金在250~700 ℃区间的抗氧化性能最好,但其表面氧化产物仍由低熔点V2O5和少量VO2组成,并未发现Ta-O氧化物的存在,这也意味着V-4Ti-7Ta合金在高温(如700 ℃)、高氧分压服役条件下并不具备十分优异的抗氧化腐蚀性能。
综上可知,添加Al、Si、Ta等抗氧化性元素并不能显著改变V-Cr-Ti合金的氧化产物,也难以使合金在氧化过程中形成结构致密、熔点高的表面氧化层,因而也无法显著提高钒合金在高温、高氧分压条件下的氧化腐蚀问题。
2 扩散型涂层
扩散型抗氧化涂层(Diffusion coating)一般是利用高温扩散的方法在材料表面形成某种金属元素(如Al、Si、Cr等)的富集层,然后通过选择性氧化等处理而在材料表面形成特定元素的致密氧化层(如Al2O3、SiO2、Cr2O3等),从而显著提高材料的抗高温氧化腐蚀性能。扩散型涂层常用的制备方法包括粉末包埋渗、气相渗、热浸渗或“电镀+热扩散”等。扩散型涂层的微观结构和组织形貌会明显受到其制备工艺参数的影响。
Mathieu等采用包埋渗硅法在V-4Cr-4Ti合金表面制备了结构致密、厚度约80 μm的VxSiy抗氧化涂层,其截面如图6(a)所示。该涂层由VSi2相表层和V-Si过渡层阻成,其成分分布如图6(b)所示。650 ℃的空气氧化实验结果表明,VSi2涂层样品在50小时持续氧化实验中的增重较无涂层的V-4Cr-4Ti合金降低约4/5。VSi2相涂层在氧化过程中会形成结构较为致密的(SiO2+V2O5)氧化层,可显著降低钒合金基体的氧化反应速率。需要说明的是,该VxSiy涂层的制备温度高达1200 ℃(保温时间为6小时),可能会引起钒合金晶粒的明显长大,从而影响到其力学性能。
图6 V-4Cr-4Ti合金表面VxSiy涂层的截面SEM形貌(a)和元素分布(b)情况
由于使用包埋渗透中间合金料VSi2+Si制备的VxSiy涂层容易出现鼓泡结构,Chaia等分别以CrSi2+Si和TiSi2+Si为包埋渗料进行抗氧化涂层的制备,获得了结构致密的V1-xCrxSi2和V1-xTixSi2涂层,但其表面仍会存在一些尺寸较小的鼓泡结构。650 ℃空气氧化实验结果表明,V1-xTixSi2涂层的氧化增重是VSi2的近1/4,是V1-xCrxSi2涂层增重的近1/2,即V1-xTixSi2涂层具有最优的抗氧化性能。
Chaia等对比分析了热压法制备的VSi2、TiSi2和CrSi2三种化合物的氧化行为。研究发现,TiSi2和CrSi2在650 ℃空气中氧化50小时后的增重分别是VSi2的近1/60和1/3,而在750 ℃则进一步降低至约1/140和1/4。进一步的分析表明,VSi2的抗氧化性能较差主要与低熔点氧化物V2O5的形成有关,而TiSi2在氧化过程中由于形成更为致密的(SiO2+TiO2)表面氧化层而表现出更为优异的抗氧化性能,如图7所示。
图8 不同涂层样品在650 ℃、He(含5×10-6 O2)中的氧化增重情况
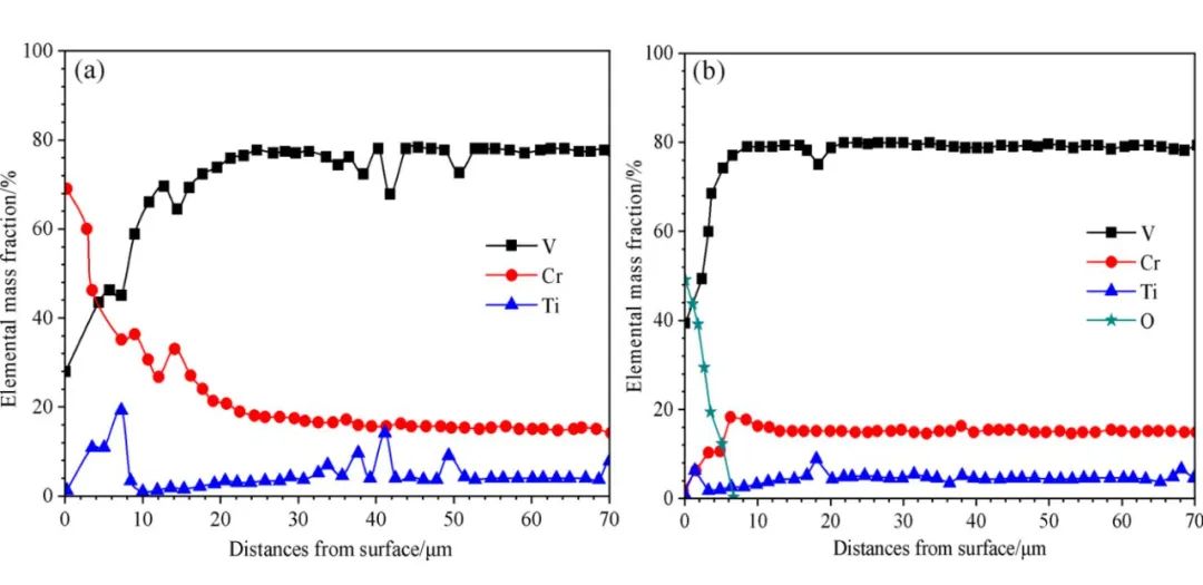
Tobin和Busch采用“高温真空蒸镀与扩散”的方法在V-15Cr-5Ti合金表面制备了厚度约40 μm的富Cr层。650 ℃氧化实验结果表明,该富Cr层的存在可使V-15Cr-5Ti合金在He(含0.01% H2O)中的氧化增重降低2个数量级;但研究中也发现,当富Cr涂层样品在600 ℃氧化时间增加至1000小时时,Cr元素的扩散会导致其在表面的质量分数由70%急剧降低至2%左右,并在深度约7 μm处达到最高(~20%),V元素在表面的质量分数则由初始时28%升高至40%,同时,相应的材料表层区形成了厚度约7 μm的富氧层,如图9所示,而氧在无富Cr层的V-15Cr-5Ti合金中的扩散深度超过了70 μm,表明富Cr层可显著减缓氧向合金基体内部的扩散。
图9 渗Cr样品在650 ℃的He(含0.01% H2O)中氧化1000小时前(a)、后(b)的表层区域元素分布情况
但由于高温(~700 ℃)、长期服役必然会导致Cr、O元素向基体内部的进一步扩散以及表层区V质量分数的持续升高,因此,这一情况对该富Cr涂层的抗氧化性能、结构完整性及其服役寿命的影响还需要进一步的研究,这也是扩散型涂层普遍面临的一个问题。
此外,渗透型涂层的制备温度也是一个不可忽视的影响因素,例如,该富Cr层的制备温度高达1100~1300 ℃,可能会引起钒合金晶粒的显著粗化,进而导致其力学性能的下降和DBTT的升高。
彭雪星采用“离子液体电镀铝+热处理渗铝+选择氧化”技术在V-5Cr-5Ti表面制备了V-Al/Al2O3(阻氚)涂层。研究者首先采用表面阳极化处理和电镀技术对V-5Cr-5Ti合金进行表面镀铝,然后对镀铝样品在高纯Ar中进行热处理渗铝,以通过涂层与集体之间的元素扩散来获得较高的界面结合力。不同热处理温度下V-Al涂层的截面SEM形貌和主要元素分布如图10所示。可知V-Al涂层主要由结构致密的内层和多孔结构的外层组成。涂层的总厚度随着热处理温度的升高而增加,而外层的厚度却逐渐变薄。X射线能谱分析结果表明,镀铝涂层在750 ℃热处理1小时后,其表面附近V、Al元素的原子分数分别约为20%和75%;随着热处理温度的升高,涂层中Al、V元素的含量则分别呈现降低和升高的趋势,这是涂层和基体之间元素相互扩散加剧的结果。研究者利用机械打磨去除结构疏松的外层涂层后,在950 ℃、10 Pa氧分压条件下对V-Al层进行选择性氧化处理0.5~1小时,最终在V-Al层表面获得了结构致密、厚度约300 nm的Al2O3氧化层,具有非常优异的阻氢性能。Al2O3涂层还兼具优异的抗氧化性能,因此,该涂层的抗高温氧化性能以及服役寿命有待进一步的评估。
图10 不同热处理工艺下V–5Cr–5Ti合金表面渗Al涂层的截面SEM形貌和元素分布
3 包覆型涂层
包覆型抗氧化涂层(Overlay coating)是指采用物理、化学、喷涂、料浆烧结等方法在材料表面制备的具有优异抗高温氧化性能的涂层。
图11 搪瓷涂层对V-10Cr-5Ti合金在500~700 ℃氧化增重速率的影响
受到热障涂层的启发,张高伟等提出了应用于钒合金基体的“Ti+搪瓷”复合抗氧化涂层,即先通过压力加工等方法制备出钒合金/钛复合材料,随后在钛层表面进行一次或多次涂搪烧成处理来制备目标复合搪瓷涂层。由于钛较好的抗氧化性和润湿性,钒合金在涂搪前无需对其表面进行预氧化处理,因而还能避免将氧杂质引入钒合金基体。
高性能结构材料是建造先进核聚变堆的基础。作为聚变堆候选包层结构材料之一,钒合金具有非常显著的优势和巨大的应用潜力。然而,高温氧化腐蚀及吸氧脆化问题仍是制约其高性能、长寿命服役的重要因素。 基于对已有的提高钒合金抗高温氧化腐蚀性能的三种方案进行对比和分析,可知添加Al、Cr、Si等抗氧化性元素无法使钒合金在氧化过程中形成致密的表面氧化层,也难以显著改变氧化产物,因而,该方案对钒合金抗高温氧化性能的提升作用很小;扩散型抗氧化涂层可以有效降低氧化过程中氧向合金基体的扩散,但是高氧分压条件下仍然会形成低熔点氧化物V2O5以及涂层和基体之间元素相互扩散等问题会制约该涂层的应用,因此,仅当在低于V2O5熔点的温度区间或低氧分压环境(不形成V2O5)中服役时,该涂层可能会满足长寿命服役的要求;相比而言,包覆型抗氧化涂层将材料基体与服役环境完全隔离,使得氧化行为仅发生在表面涂层区域,因而其应用不会受到温度和氧分压等因素的影响,属于最有吸引力的解决方案。 对于包覆型涂层,不仅要考虑其抗高温氧化腐蚀性能,还需关注涂层材料与基体的热匹配性、抗辐照肿胀性能等,这些因素会显著影响涂层的结构完整性和服役寿命。通过构建具有复合结构的涂层,将助于实现对涂层微观结构和界面应力的调控,进而提升其服役寿命。 对于复合结构的包覆型抗氧化涂层而言,中间层材料还需具备较高的热稳定性,以降低中间层与基体或表层涂层之间因元素扩散或界面反应而带来的负面影响,如较厚的热生长氧化物(TGO)脆性层的形成容易导致复合涂层的开裂和失效等。 另一方面,面对钒合金复杂的结构设计和多变的应用场景,优化和开发具有制备工艺简单、可应用于复杂表面、涂层具备致密性好和应变容限高等特点的涂层制备新工艺和新技术,这也是未来发展的重要趋势和需求。
免责声明:本网站所转载的文字、图片与视频资料版权归原创作者所有,如果涉及侵权,请第一时间联系本网删除。
官方微信
《腐蚀与防护网电子期刊》征订启事
- 投稿联系:编辑部
- 电话:010-62316606-806
- 邮箱:fsfhzy666@163.com
- 腐蚀与防护网官方QQ群:140808414















