第一作者:孙士斌
通讯作者:常雪婷
通讯单位:上海海事大学
DOI: 10.11902/1005.4537.2022.013
全文速览
针对在极地环境使用的特殊海水-海冰摩擦-腐蚀耦合作用环境,分别测试了新型FH40级低温钢板、抗海水腐蚀性能优异的317L不锈钢以及两种钢板焊接部位在不同条件下的往复摩擦-腐蚀耦合行为;使用金相显微镜、白光干涉仪以及扫描电子显微镜表征了钢样的显微组织形貌和磨痕形貌。结果表明:随着环境温度从20℃降低到-20 ℃,FH40钢及焊缝处的摩擦系数和磨损量都明显增加,而317L不锈钢变化不大;值得关注的是,在海水环境中进行摩擦测试时,可见317L不锈钢的整体损失量远远低于FH40钢及焊缝处,证明了317L不锈钢应用于极地破冰船船体外表面的可行性。另外,使用电化学阻抗、极化技术测试了钢材耐蚀性能,以期确定低温环境对复合钢板耐蚀性的影响。结果证明复合板焊缝处在常温及低温条件下,腐蚀速率皆低于FH40低温钢,两种钢板复合仍保持良好耐蚀性。
背景介绍
全球气候变暖,导致北极冰雪消融,为各国开发、利用北极航线提供了有利条件,北极常态化通航逐渐成为可能。开通北极航线极大幅度的缩短了北欧与亚洲地区的航程,可促进我国国家极地战略的实施。但是,近年来极地船舶航行时,保护性船体涂层的脱落是海洋微塑料污染的重要来源,因此不锈钢复合板作为船体材料的研究逐渐引起极地专家的关注。不锈钢复合板是一种先进的层状结构复合材料,因兼具基层优异的力学性能与复层良好的耐腐蚀性能,在船舶制造、极地工程、核能工业等领域具有良好的应用前景。本文选用耐Cl-腐蚀性能优异的 317L 不锈钢与耐低温的FH40低温钢相复合,对复合板各部位及其焊缝处在不同温度、不同介质条件下的摩擦-腐蚀性能开展相关研究,为该类不锈钢复合板在实际极地船舶建造应用中的可行性提供支持。
本文亮点
极地海域船舶航行特有海水-海冰耦合作用环境,其对材料失效的影响十分复杂。本文通过讨论在不同温度、不同介质下材料摩擦-腐蚀行为及机理,为极地船舶材料性能评价提供新思路。
图文解析
图1 实验所用复合钢板金相及取样方法
本文研究对象为317L/FH40复合板,该复合钢板研发的初衷是充分利用不锈钢的耐蚀性、低温钢的低温耐冲击性,减少极地船体表面涂料使用的同时降低船重,因此对其性能的要求除了力学性能,还包括在常温和低温条件下的表面以及焊缝处的耐蚀、耐磨性能。鉴于此,本文的取样部位分别为不锈钢部分、低温钢部分及焊缝部分。
图2 FH40低温钢(a)、焊缝处(b)与317L不锈钢(c)在不同温度/介质条件下的摩擦系数
图2a~c为钢板在纵向载荷为20N时室温下进行2 h摩擦的摩擦系数随时间变化曲线。可以看出,摩擦系数在摩擦磨损试验前期逐渐变大,然后逐渐趋于稳定。开始摩擦的前5 min左右处由于摩擦发生突变,摩擦系数急速上升。在进行到15~20 min左右,摩擦系数几乎都是逐渐上升,然后趋于稳定波动,但是波动幅度在不同钢板钢样之间有较大的差异。由于钢板和焊缝在模拟海水环境中都有腐蚀产物产生,因此降低了其摩擦系数。
图3 FH40低温钢(a)、焊缝处(b)与317L不锈钢(c)磨痕轮廓与磨损量(d)
图3为FH40低温钢、317L不锈钢及焊缝处在不同温度及海水条件中摩擦磨损后的磨痕轮廓,体积磨损率结果如图3(d)所示。通过对比图3a~c可以看出,温度对焊缝处摩擦性能影响较大,尤其是-20 ℃条件下,磨痕最深处达到75 μm,宽度约为1900 μm;317L不锈钢的耐磨性能与温度相关性不大,3个温度条件下磨痕深度和宽度基本不变,最深处约为 60 μm,最宽处约为 2100 μm;FH40低温钢的低温力学性能优异,表现了最优的低温耐磨性能,但是仍然呈现随温度降低不断劣化的趋势,磨痕最深处约为 50 μm,宽度约为 1200 μm。上述数据说明317L不锈钢与FH40低温钢复合后,焊缝处的低温耐摩擦性能有所下降,说明焊接部位受热影响作用明显。FH40低温钢及焊缝部位的海水条件耐磨性基本一致,磨损量都较干摩擦明显降低;但是在海水摩擦条件下,317L 不锈钢表现了优异的耐磨蚀性能,磨损率仅为 0.003,这主要是由于海水条件下 317L的钝化性能明显改善,钝化膜一方面以高硬度提供耐磨性、一方面由于其表面与海水结合,降低粗糙度低,从而提高润滑性;另外,317L不锈钢表面基本杜绝了摩擦-腐蚀耦合作用,保证了表面优异的耐磨蚀性能,证实了317L不锈钢作为极地破冰船用增强部位表面材料的可行性。
图4 FH40低温钢、焊缝处及317L不锈钢在海水中的开路电位
不锈钢复合钢板作为船舶材料使用的最大顾虑为表面不锈钢一旦发生微裂纹,焊缝处是否会由于不同金属接触引起电偶腐蚀。因此,对FH40低温钢、焊缝处及317L不锈钢的电化学性能进行了研究。从图4中可以看出,在海水环境中,焊缝处钢材的开路电位与FH40基体相符。其在海水浸泡10 d的电化学阻抗谱表明,焊缝处的耐蚀性较基体略有下降,如图5所示。
图5 复合钢板海水腐蚀10d后电化学阻抗谱及等效电路图
表1 海水腐蚀10 d后等效电路拟合参数
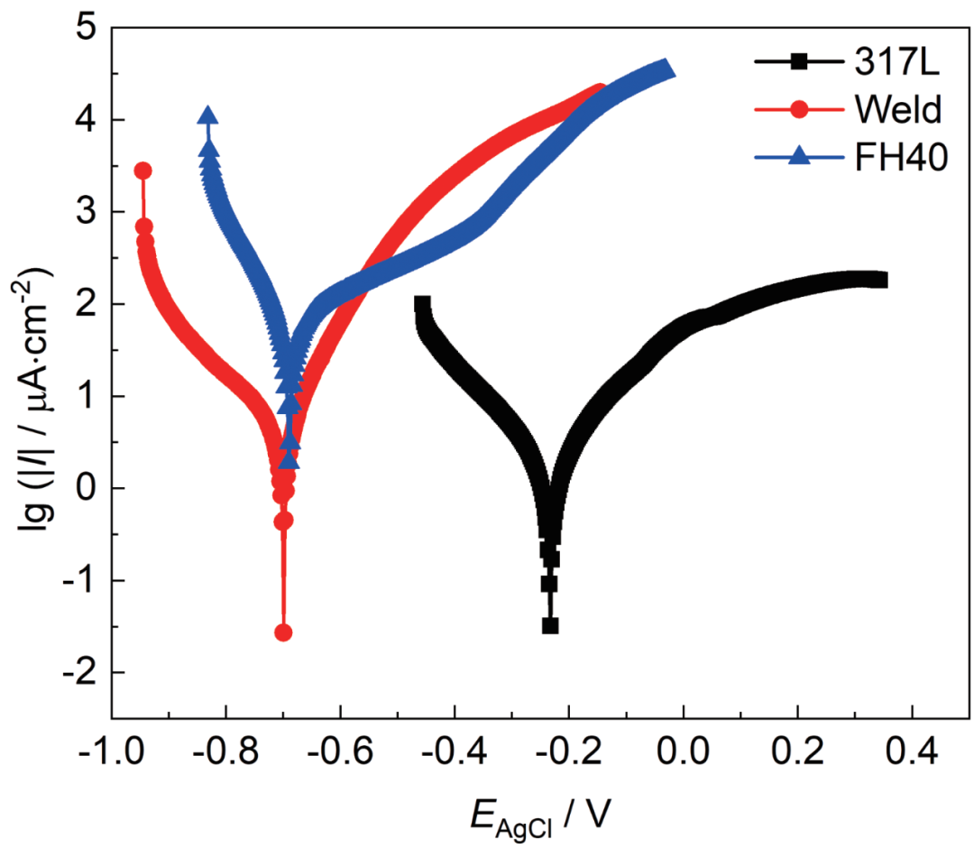
3种钢样静态下极化曲线如图6所示。FH40低温钢与焊缝处腐蚀电位差别不大,皆在-0.70左右。而317L不锈钢腐蚀电位为-0.23 V,表明317L腐蚀倾向更低。通过Tafel外推法拟合了极化曲线,拟合数据如表2所示。可得FH40低温钢、焊缝处、317L不锈钢的电流密度分别为 7.13×10-3、4.76×10-3 和1.49×10-3 μA?cm-2,腐蚀速率依次为 40.3×10-4、26.9×10-4和 8.4×10-4mm/a,这些数据证明了即便不锈钢材料出现裂纹,焊缝处的 317L 不锈钢抗腐蚀能力仍远远好于FH40低温钢,对FH40低温钢基体保护作用明显。
图6 海水腐蚀10 d后动电位极化曲线
表2 3种材料海水腐蚀10 d后的极化曲线拟合结果
总结与展望
综上所述,海水条件下使用不锈钢复合板表面腐蚀产物的产生较少,从而增加了材料表面的摩擦系数。且由于317L不锈钢表面的低硬度影响了复合板整体耐磨性,其在常温及低温条件下的耐磨擦磨损性能皆低于基体FH40材料。另外,317L不锈钢在模拟海水环境中有优秀的耐蚀性,可以达到替代涂层材料的目的,且焊缝区域耐蚀性显著高于基体,不易于产生局部腐蚀。
免责声明:本网站所转载的文字、图片与视频资料版权归原创作者所有,如果涉及侵权,请第一时间联系本网删除。
官方微信
《腐蚀与防护网电子期刊》征订启事
- 投稿联系:编辑部
- 电话:010-62316606-806
- 邮箱:fsfhzy666@163.com
- 腐蚀与防护网官方QQ群:140808414












