深中通道混凝土结构耐久性设计
2023-03-27 17:08:27 作者:王康臣,方翔,等 来源:腐蚀与防护 分享至:

 

 

深中通道起始于深圳广深沿江高速公路机场互通立交,向西跨越珠江口,在中山市马鞍岛登陆,终止于横门互通。路线全长约23.977 km,跨海长度22.257 km,陆地段长度1.72 km。主线桥梁总长17034 m,隧道总长6845 m,海中设置两处人工岛。深中通道工程采用双向八车道的技术标准,路基宽度41 m,设计时速100 km/h,该工程跨越珠江口内伶仃洋,工程区域环境具有温度高、湿度大和海水盐度随潮汐变化等特点。深中通道设计使用年限为100年,具备隧道、岛和桥等多种结构形式,结构复杂,耐久性问题突出,如何确保工程的耐久性,是工程建设所面临的关键问题之一。

 

通过开展环境作用等级划分,明确不同环境中混凝土结构的各项耐久性指标,并采用合适的附加防腐蚀措施,是国内外普遍采用的耐久性设计方法。对于确定耐久性指标,较常采用经验法,即按标准规范直接规定工程混凝土结构的氯离子扩散系数、保护层厚度等指标。

近年来,基于工程数据与实际经验,具有失效概率或可靠性的耐久性定量设计方法逐渐写入各国规范,如BS EN 206-2013+A1:2016和ISO 16204:2012等。我国的JTS 153—2015《水运工程结构耐久性设计标准》提出了不同设计使用年限对应的耐久性指标要求,同时给出了使用年限定量校核方法。对于附加防腐蚀措施,其作用是弥补施工、运营期间不确定因素造成的影响,一般结合技术可行性和经济性合理选用。

在深中通道工程建设之前,港珠澳大桥于2018年通车运营,在耐久性设计上,采用了基于可靠度理论的混凝土结构耐久性设计模型,计算得到120年设计保护年限条件下的耐久性指标。同时,针对不同构件及部位,选用不锈钢钢筋、硅烷浸渍等附加防腐蚀措施,以提高其安全裕度。

深中通道临近港珠澳大桥,两者服役环境(海洋腐蚀环境)相似,其耐久性设计可采用港珠澳大桥的耐久性设计模型,并结合深中通道的特点以及港珠澳大桥建设经验,对模型进一步修正,开展满足工程需求、更贴近工程实际的耐久性设计。

 

港珠澳大桥耐久性

保障技术适用性分析


深中通道距港珠澳大桥约40 km,两个工程位置较近,腐蚀环境特征类似,从服役环境、结构构件腐蚀条件进行对比,分析港珠澳大桥耐久性保障技术对深中通道的适用性。


服役环境对比

表1 深中通道与港珠澳大桥服役环境比较

由表1可见:两个工程所处环境的气温、湿度接近;深中通道更靠近珠江入海口,其所处区域的氯离子含量受潮汐影响较大,氯离子含量最大值与港珠澳大桥所处环境的相近,氯离子含量最小值远小于港珠澳大桥所处环境,且沿桥轴线变化随季节起伏较大。


结构构件腐蚀条件对比

表2  深中通道与港珠澳大桥构件腐蚀条件比较

深中通道与港珠澳大桥均采取岛-隧道-桥组合的设计方式。由表2可见:深中通道的整体线路较短,93%的线路处于跨海段;港珠澳大桥整体线路较长,但海中主体部分线路只占66%;综合比较可知,两者在岛-隧道-桥主体部分,港珠澳大桥比深中通道长约14 km;两者海底隧道的建设长度相近,约为6.7 km;深中通道与港珠澳大桥采用的构件结构形式相似,工程构件所处腐蚀环境也相近。


耐久性保障技术的工程适用性分析

港珠澳大桥耐久性设计具有以下特点:

(1) 采用了基于可靠度的混凝土结构耐久性设计技术,利用相似环境的暴露试验数据,建立了耐久性设计数学模型,开展了耐久性定量设计;

(2) 综合考虑腐蚀风险、防护效果和全寿命成本,开展了附加防腐蚀设计,作为提高混凝土结构耐久性安全裕度的措施。

深中通道具有与港珠澳大桥相似的环境条件,相似的结构形式,深中通道设计使用年限为100年,港珠澳大桥设计使用年限为120年。因此,深中通道的耐久性设计可以借鉴港珠澳大桥的混凝土结构的耐久性设计模型。此外,深中通道处于内伶仃洋,工程跨越的区域环境复杂,在借鉴港珠澳大桥耐久性设计成果和工程建设经验的同时,对部分技术进行了优化和深入研究,例如考虑荷载和依据港珠澳大桥施工质量核定保护层厚度等,以更好地指导深中通道工程建设。

混凝土结构耐久性设计


深中通道混凝土结构耐久性劣化主要是氯盐侵蚀造成的。混凝土结构的耐久性设计分为两个层次,提高混凝土材料本身致密性和耐氯离子渗透性的措施统称为耐久性设计的基本措施,一般规定混凝土材料的最大氯离子扩散系数和混凝土最小保护层厚度等耐久性指标。在基本措施的基础上,需要考虑涂层、硅烷浸渍、阻锈剂、不锈钢钢筋等耐久性附加防腐蚀措施。


基于概率的耐久性设计

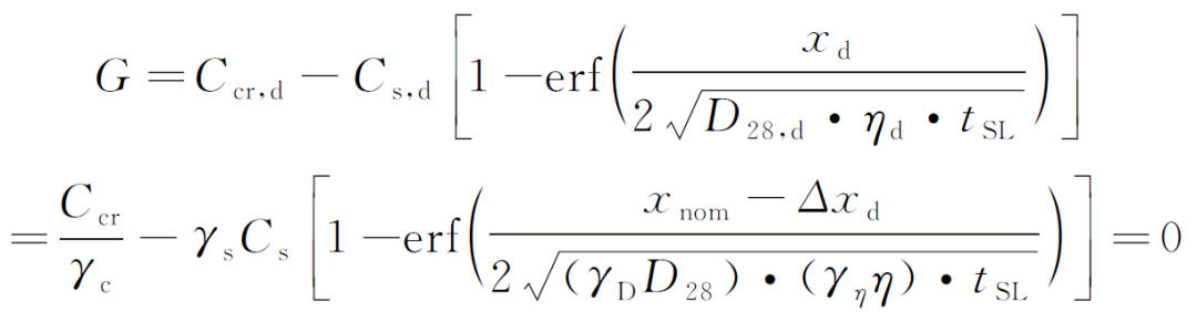
耐久性设计基于混凝土氯离子渗透理论,以钢筋表面氯离子浓度达到临界浓度作为极限状态,并以概率理论为基础,通过分项系数表示。

使用分项系数的近似概率设计方程如下:

(1)

式中:Ccr,d,Ccr分别为钢筋锈蚀的临界氯离子总质量占混凝土胶凝材料的百分比的设计值和特征值,%;Cs,d,Cs分别为每立方米混凝土中氯离子的总质量占混凝土胶凝材料的百分比的设计值和特征值,%;xd为混凝土最小保护层厚度,mm;D28,d,D28分别为暴露28天条件下混凝土的氯离子扩散系数的设计值和特征值,m2/s;ηd,η分别为氯离子扩散系数衰减率的设计值和特征值;tSL为设计使用年限,a;γc为临界氯离子浓度的分项系数;γs为表面氯离子浓度的分项系数;xnom为耐久性设计保护层厚度的名义值,mm;Δxd为保护层厚度安全裕度(允差),mm;γD为扩散系数的分项系数;γη为氯离子扩散系数衰减率的分项系数。

氯离子扩散系数的衰减率η由下式表示:

(2)

式中:n为试验混凝土扩散系数的龄期因子。

通过统计类似环境工程中获得的各参数的平均值及偏差,可根据设计使用年限求得氯离子扩散系数和保护层厚度。港珠澳大桥耐久性设计过程中,通过分析位于湛江的华南暴露试验站近30年的暴露试件的氯离子渗透率数据确定上述参数。深中通道耐久性设计过程中,通过分析港珠澳大桥施工检测结果以及港珠澳大桥暴露试验数据,并结合深中通道的自身情况,对上述参数进行了修正。

港珠澳大桥耐久性设计模型分项系数的计算结果见表3,在同样采用β=1.3的可靠指标条件下,深中通道耐久性设计模型分项系数暂时不予修正。

表3 港珠澳大桥耐久性设计模型设计参数的特征值及分项系数


考虑荷载的耐久性设计

上述耐久性设计并未考虑荷载影响。事实上,荷载对氯离子扩散系数影响较大,不同区域构件所受荷载类型和水平均不一样,因此进行耐久性设计时应考虑荷载影响。

将荷载因子引入氯离子扩散系数衰减公式中,可得到用于深中通道耐久性设计的数学模型如下:

(3)

式中:kη为混凝土荷载影响系数;kc为试验方法转换系数,采用RCM方法时,取值0.5;t0为测定氯离子扩散系数时混凝土的龄期,a;t为混凝土氯离子扩散系数衰减至恒定值的时间,a。

目前,荷载试验数据主要通过室内短期试验研究结果得到,较好地反映了外部荷载对氯离子在混凝土中扩散过程的影响规律,初步建立了外部荷载与氯离子扩散系数的定量关系,由于试验数据来源于室内加速试验,最终的荷载影响系数与实际情况是否吻合,还有待长期试验数据的修正和完善。目前,主要利用短期试验结果,确定耐久性设计过程中引入的荷载影响因子。同时,后续还将利用暴露试验数据对现有成果进行补充和调整,以提高工程耐久性设计的可靠性。


深中通道混凝土结构耐久性设计指标

对于深中通道的混凝土结构,按照公式可以计算得出不同暴露区域混凝土结构的耐久性设计指标,如表4所示。表中最小保护层厚度未考虑施工偏差对保护层厚度保证率的影响,对于预制构件,建议以最小保护层厚度+5 mm为安全裕度;对于现浇构件,建议以最小保护层厚度+8 mm为安全裕度。

表4 不同区域深中通道混凝土结构的耐久性设计指标

混凝土结构附加防腐蚀措施


采用耐氯离子渗透性能较高的混凝土和足够的保护层厚度等耐久性保障基本措施,一般可使结构构件满足设计使用寿命。但是,环境变化、施工过程中的不确定性因素会造成实际情况可能与设计有偏差。为提升安全裕度,对于长寿命结构构件,一般在基本措施的基础上,增加附加防腐蚀措施。

混凝土附加防腐措施可分为两大类。一类是通过屏蔽作用进一步提升混凝土的耐氯离子渗透性能,例如硅烷浸渍、涂层等。另一类是通过提高钢筋的耐腐蚀性能,如采用不锈钢钢筋、环氧涂层钢筋、FRP钢筋等替代普通碳钢钢筋,或添加阻锈剂、实施阴极保护等。不同的附加防腐蚀措施可使混凝土结构构件的使用寿命提高15~50年。多种附加防腐措施可联合使用,进一步起到延长混凝土结构构件使用寿命的作用。

目前,混凝土结构附加防腐蚀技术发展趋于成熟,其中,以硅烷浸渍、涂层的应用最为广泛。耐腐蚀钢筋中以环氧涂层钢筋的应用最多,不锈钢钢筋耐腐蚀性能最佳,但高昂的成本限制了其应用,国内仅港珠澳大桥、武汉青山长江大桥采用该种材料。FRP钢筋、耐腐蚀钢筋在实体工程中应用不多。混凝土结构外加电流阴极保护效果良好,但实施复杂,且需要长期维护,国内应用不多,青岛海湾大桥通航孔桥承台采用了外加电流阴极保护的措施。目前,国内已针对各种防腐蚀措施的应用建立了标准规范体系,如JTS 153-2015,JTS/T 209-2020《水运工程结构防腐蚀施工规范》对各种附加防腐蚀措施的设计、施工及维护均做了详细的规定。

深中通道混凝土结构构件覆盖多个区域,各区域腐蚀风险从大到小排序为浪溅区、水位变动区、大气区、水下区。大气区腐蚀情况较温和,但该区域常年受到台风影响,因此需采用附加防腐蚀措施,一般采用在混凝土表面涂覆涂层和硅烷浸渍这两种措施。从经济成本方面考虑,硅烷浸渍的费用较低,且硅烷浸渍后混凝土表面的颜色基本不会改变,涂层会随着时间的推移发生颜色不均的现象。综合分析可知,大气区的混凝土表面采用硅烷浸渍处理更为合适。

对于浪溅区和水位变动区的混凝土结构构件,港珠澳大桥工程采用了环氧涂层钢筋和外层不锈钢钢筋。不锈钢钢筋的价格约为普通钢筋的10倍,而环氧涂层钢筋价格较普通钢筋的高2000~3000元/t。深中通道腐蚀环境的恶劣程度较港珠澳大桥的轻,其设计使用年限较短,考虑到建造成本,推荐采用硅烷浸渍+外层环氧涂层钢筋联合的附加防腐蚀措施,提高结构耐久性。环氧涂层钢筋与普通钢筋应采用绝缘措施。

对于水下区的混凝土结构构件,腐蚀风险相对于其他区域的较低,一般可不采用附加防腐蚀措施。不同区域构件的附加防腐蚀措施如表5所示。

表5 深中通道混凝土结构构件附加防腐蚀措施推荐方案

结论



1

深中通道结构构件所在区域氯离子浓度较高,变化较大,在混凝土结构耐久性设计过程中,主要考虑氯离子侵蚀。

2

根据深中通道的耐久性设计原则,采用耐氯离子渗透性能较高的混凝土和足够的保护层厚度等耐久性保障基本措施,以及涂覆涂层、硅烷浸渍和防腐蚀钢筋等附加防腐蚀措施,以保障构件满足设计使用寿命的要求,并具备一定的安全裕度。

3

深中通道的耐久性设计基于概率理论,通过分项系数表示混凝土氯离子渗透率的方程,并以钢筋表面氯离子浓度达到临界浓度作为极限状态,根据不同构件所处环境得出经28天和56天暴露试验后最大氯离子扩散系数指标分别为6.5×10-12~7.0×10-12 m2/s和4.5×10-12~5.0×10-12 m2/s,最小保护层厚度指标为40~70 mm。对于预制构件,建议以最小保护层厚度+5 mm为安全裕度;对于现浇构件,建议以最小保护层厚度+8 mm为安全裕度。

4

在受弯荷载试件上,混凝土氯离子扩散系数的变化与弯曲应力水平呈指数函数关系,在受压荷载试件上,随着弯曲应力水平的逐渐增加,混凝土氯离子扩散系数呈先减小后增大的趋势。在耐久性设计过程中,通过增大混凝土荷载影响系数考虑不同荷载类型和水平的影响。

5

根据不同构件及其所处区域,提出了采用硅烷浸渍和环氧涂层钢筋的附加防腐蚀措施。

 

免责声明:本网站所转载的文字、图片与视频资料版权归原创作者所有,如果涉及侵权,请第一时间联系本网删除。