川藏铁路是我国战略性百年工程,对促进我国西南地区经济发展将发挥重大作用,铁路建成投运后的安全稳定运行是工程的核心要求之一。由于存在工程跨度长、地质条件复杂、地形高差大等问题,且川藏铁路全线桥隧比达81%,因此川藏铁路大量使用的钢筋混凝土在沿线土壤环境中的耐久性是工程建成后能否长期安全稳定运行的关键因素。
地下水中会溶解土壤中的盐分(氯化物、硫酸盐、硝酸盐等)进入混凝土内部孔隙,与钢筋接触,并对其腐蚀产生影响,进而影响钢筋混凝土的耐久性。川藏地区地质条件复杂,局部区域会有地下热泉,如桑珠岭隧道洞身附近钻孔内温度超过70 ℃,热泉区域地下隧道和桥墩混凝土中钢筋的耐腐蚀性能也有待研究。
本工作采用实验室配制的溶液模拟川藏铁路沿线地区典型土壤环境,通过电化学试验,分析了土壤环境参数对Q355B钢筋腐蚀行为的影响,以期为钢筋混凝土运行维护策略的制定和川藏铁路更加安全和经济地运行提供科学数据支撑。
01
试验材料
将Q355B钢切割成尺寸为10 mm×10 mm×3 mm的薄片,镶嵌处理后,采用砂纸逐级打磨、清洗后备用。
表1为5个采样点土壤浸出液中阴离子浓度的最大值,配制过饱和氢氧化钙溶液(pH为12.6),并向其中添加氯化钠、硫酸钠、硝酸钾,使饱和氢氧化钙溶液中离子浓度与土壤浸出液保持一致,作为原始溶液(其中Cl-质量浓度为6.338 mg/L,NO3-质量浓度为0.382 mg/L,SO42-质量浓度为60.847 mg/L),以模拟川藏铁路沿线地区典型土壤环境,试样在原始溶液中浸泡14天后再进行电化学测试。
表1 土壤浸出液中阴离子的浓度
02
电化学测试
采用Autolab电化学工作站进行电化学测试,采用三电极体系,试样为工作电极,Pt电极为辅助电极,AgCl电极为参比电极。
1 在原始溶液基础上,按比例分别添加质量分数为0.1%,0.2%、0.3%的氯化钠、硫酸钠、碳酸钠、硝酸钾,设置低浓度,尽量与实际工况吻合,试验温度为常温(15 ℃),并放置24小时,将试样置于溶液中,随后进行极化曲线、电化学阻抗谱测试,并分析其影响规律。
2 在原始溶液基础上,分别添加1 mol/L的氯化钠、硫酸钠和硝酸钾,放置24小时,将试样置于溶液中,进行极化曲线、电化学阻抗谱测试,分析几种盐对钢筋腐蚀的影响。
3 采用原始溶液,在常温(15 ℃)、40 ℃以及70 ℃条件下进行极化曲线、电化学阻抗谱测试,分析温度对Q355B钢腐蚀的影响。
以上测试溶液中均加入过量氢氧化钙,溶液始终保持过饱和状态。
图1 Q355B钢在原始溶液中浸泡14天后的表面微观形貌
由图1可见,在原始溶液中浸泡14天后,Q355B钢表面未见腐蚀痕迹,大部分区域有附着物膜,表明Q355B钢在原始溶液中发生钝化,表面自发生成了一层铁氧化合物薄膜,且有氢氧化钙等混合物附着,该膜层作为钢筋基体和腐蚀性物质之间离子传递的屏障,阻止钢筋腐蚀进程,使钢筋处于稳定的钝化状态。
当电极表面存在较厚且致密的钝化膜时,由于膜电阻很大,离子的迁移过程受到极大的抑制,观察电化学阻抗谱可以发现,在低频部分阻抗谱表现为一条45°倾角的斜线,为Warburg阻抗,如图2a所示。等效电路见图2b,其中RS为溶液阻抗,Rp为界面反应阻抗,CPE为双电层电容,W为Warburg阻抗。Rp值反映了钝化膜和吸附物膜的电阻,以及腐蚀反应发生的难易程度。当钢筋与模拟溶液界面维持钢筋钝化的条件受到破坏时,钢筋表面可能会发生腐蚀,电化学阻抗谱会发生变化,Rp也会相应发生变化,根据阻抗谱的变化情况可以分析腐蚀和钝化膜破坏的情况。
(a) 电化学阻抗谱
(b) 等效电路图
图2 Q355B钢在原始溶液中浸泡14天的电化学阻抗谱及等效电路图
03
阴离子对腐蚀的影响
关于Cl-、SO42-以及两种离子协同作用对钢筋腐蚀的影响已有较多研究,NO3-对钢筋腐蚀影响研究相对较少。本工作采用过饱和氢氧化钙溶液加土壤浸出液中的阴离子作为原始溶液。
Cl-对腐蚀的影响
由图3a和表2可见,随着氯化钠溶液浓度的增加,开路电位逐渐变得更负,腐蚀电流密度逐渐增大,腐蚀速率逐渐增大,腐蚀电流密度和腐蚀速率变化量在5%左右,变化较小。
由图3b和表3可见,与原始溶液相比,Q355B钢在添加不同量氯化钠原始溶液中的电化学阻抗谱的容抗弧和扩散趋势和变化都比较接近,拟合结果也表明界面处反应速率和反应难易程度基本一致,表明在过饱和氢氧化钙溶液中,Cl-难以穿透钝化膜和表面附着物复合膜,基体腐蚀速率基本不受影响。
(a) 极化曲线
(b) 电化学阻抗谱
图3 Q355B钢在添加不同量氯化钠溶液的原始溶液中的极化曲线和电化学阻抗谱
表2 Q355B钢在添加不同量氯化钠的原始溶液中的极化曲线拟合参数及腐蚀速率
表3 Q355B钢在添加不同量氯化钠的原始溶液中的电化学阻抗谱拟合结果
SO42-对腐蚀的影响
由图4a和表4可见,随着硫酸钠溶液浓度的增加,腐蚀电流密度增加,腐蚀速率增大。
由图4b和表5可见,随着硫酸钠溶液浓度的增加,与原始溶液相比,Q355B钢在添加不同量硫酸钠的原始溶液中电化学阻抗谱的容抗弧和Warburg阻抗变化趋势保持一致,变化量较小。
(a) 极化曲线
(b) 电化学阻抗谱
图4 Q355B钢在添加不同量硫酸钠的原始溶液中的极化曲线和电化学阻抗谱
表4 Q355B钢在添加不同量硫酸钠的原始溶液中的极化曲线拟合参数及腐蚀速率
表5 Q355B钢在添加不同量硫酸钠的原始溶液中的电化学阻抗谱拟合结果
NO3-对腐蚀的影响
由图5a和表6、表7可见,随着硝酸钾浓度的增加,腐蚀电流密度和腐蚀速率逐渐增大,但变化率不大,界面反应的Rp减小。
由图5b可以看出:与原始溶液对比,加入硝酸钾后,Q355B钢电化学阻抗谱的容抗弧半径变大,Warburg阻抗消失,反应不再受扩散影响。在测试范围内,与添加氯化钠和硫酸钠的原始溶液相比,Q355B钢在添加硝酸钾的原始溶液中的反应控制步骤略有差异。
(a) 极化曲线
(b) 电化学阻抗谱
图5 Q355B钢在添加不同量硝酸钾的原始溶液中的极化曲线和电化学阻抗谱
表6 Q355B钢在添加不同量硝酸钾的原始溶液中的极化曲线拟合参数及腐蚀速率
表7 Q355B钢在添加不同量硝酸钾的原始溶液中的电化学阻抗谱拟合结果
阴离子影响对比分析
由图6和表8、表9可见:在分别添加1 mol/L氯化钠、1 mol/L硫酸钠和1 mol/L硝酸钾的原始溶液中,Q355B钢的腐蚀轻重程度依次为氯化钠、硫酸钠、硝酸钾。从表面形貌来看,Q355B钢试样表面未见明显锈蚀和点蚀痕迹,部分表面附着物膜厚度较厚,未附着部位仍保持金属光泽,这表明在过饱和氢氧化钙溶液中,有氯化物、硫酸盐和硝酸盐进入混凝土内部,盐溶液与钢筋接触,只要钢筋混凝土内部pH能保持稳定,钢筋仍能保持钝态,从而保护基体不被腐蚀。
(a) 极化曲线
(b) 电化学阻抗谱
图6 Q355B钢在添加1 mol/L不同溶液的原始溶液中的极化曲线和电化学阻抗谱
表8 Q355B钢在添加1 mol/L不同化合物原始溶液中的极化曲线拟合参数及腐蚀速率
表9 Q355B钢在添加1 mol/L不同化合物原始溶液中的电化学阻抗谱拟合结果
04
Na+对腐蚀的影响
根据以往研究结果,阳离子导致钢筋腐蚀的总氯离子质量分数变化趋势与KCl与NaCl基本一致。本工作以Na+为代表,研究阳离子对Q355B钢在原始溶液中腐蚀的影响。
由图7和表10、表11可见,随着Na+浓度的增加,Q355B钢的腐蚀速率增大,界面处反应电阻Rp减小。
(a) 极化曲线
(b) 电化学阻抗谱
图7 Q355B钢在添加不同量碳酸钠的原始溶液中的极化曲线和电化学阻抗谱
表10 Q355B钢在添加不同量碳酸钠的原始溶液中的极化曲线拟合参数及腐蚀速率
表11 Q355B钢在添加不同量碳酸钠的原始溶液中的电化学阻抗谱拟合结果
05
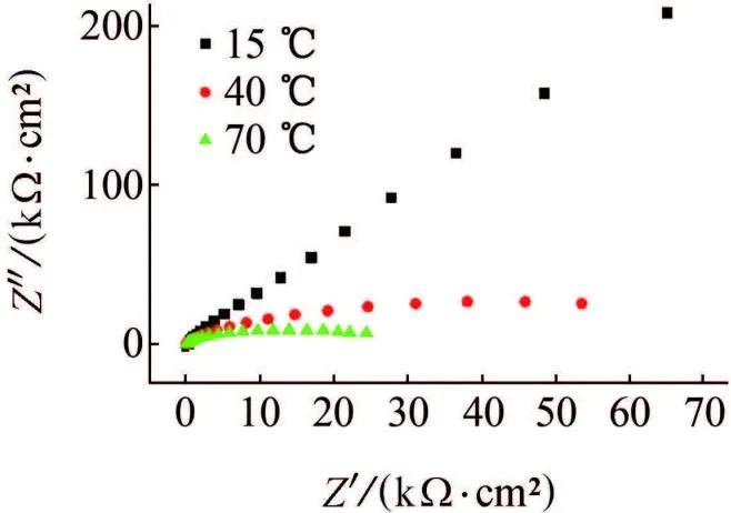
温度对腐蚀的影响
在腐蚀体系中,一般情况下,温度越高,扩散越容易进行,电解质交换越容易,腐蚀越容易进行。由图8可见,Q355B钢的腐蚀电流密度随温度的升高而增加,即升高温度更易破坏Q355B钢表面的钝化膜,从而加剧腐蚀。极化曲线变化趋势和电化学阻抗谱中容抗弧半径随温度升高而减小验证了这一结论,表12和表13中的结果也验证了这一结论。
(a) 极化曲线
(b) 电化学阻抗谱
图8 不同温度下Q355B钢在原始溶液中的极化曲线和电化学阻抗谱
表12 不同温度下Q355B钢在原始溶液中的极化曲线拟合参数及腐蚀速率
表13 不同温度下Q355B钢在原始溶液中的电化学阻抗谱拟合结果
活化能是评价腐蚀快慢的一个重要指标,因此采用Arrhenius方程来计算碳钢在原始溶液中的腐蚀活化能,如下式所示:
式中:Ea为反应活化能,kJ/mol;J代表腐蚀电流密度,A/cm2;T为绝对温度;R为气体常数,取8.3145 J/(mol·K);A为Arrhenius常数。
原始溶液中活化能计算结果为47 kJ/mol,R2结果为 0.984。根据活化能计算结果,可以计算出不同温度下Q355B钢的腐蚀电流密度,进而开展腐蚀剩余寿命预测,为工程运维服务。
结论
(1) 在含有过量氢氧化钙的原始溶液中,氯化钠、硫酸钠、硝酸钾和碳酸钠的添加量低于0.3%时,阴阳离子浓度的增大对Q355B钢腐蚀的影响较轻微;当氯化钠、硫酸钠和硝酸钾添加量达到1 mol/L时,Q355B钢的腐蚀严重程度依次为氯化钠、硫酸钠、硝酸钾,但Q355B钢表面未见明显锈蚀和点蚀痕迹,钢筋表面可以维持钝化状态。
(2) 在含有过量氢氧化钙的原始模拟液中,升高温度,Q355B钢的腐蚀速率增大,70 ℃下Q355B钢的腐蚀速率约是15 ℃下的2.2倍。
免责声明:本网站所转载的文字、图片与视频资料版权归原创作者所有,如果涉及侵权,请第一时间联系本网删除。
官方微信
《腐蚀与防护网电子期刊》征订启事
- 投稿联系:编辑部
- 电话:010-62316606-806
- 邮箱:fsfhzy666@163.com
- 腐蚀与防护网官方QQ群:140808414
































