张大全教授团队在《Journal of Coatings Technology and Research》上发表了题为“An anti-corrosion coating with self-healing function of polyurethane modified by lipoic acid”的文章,本文对该工作的主要内容进行简单总结。
1 研究背景
聚氨酯涂层因其优异的耐磨性和良好的耐腐蚀性成为重要的防腐蚀涂层之一。然而,在使用过程中,聚氨酯涂层将不可避免地产生微裂纹。裂纹会降低机械强度,从而降低产品的使用寿命。此外,它们还可能导致耐腐蚀性能的恶化。二硫键在温和条件下具有低化学能和动态可逆的交换。α-硫辛酸是一种含有二硫键和羧基的小分子。由于动态二硫键的存在,它很容易在一定温度下进行开环聚合。羧基之间的氢键导致线性聚合物自交联。这种化合物的特殊分子结构使其具有独特的定制性能,使其适合于制备功能性涂层。
2 研究内容
本论文以硫辛酸为扩链剂,将其引入聚氨酯,赋予了聚氨酯自修复能力,提升了防腐效果。研究表明,PU-ALA涂层表现出优异的耐腐蚀性。而且在不同的浸泡天数下,PU-ALA涂层的电极在低频区的阻抗模量值都在108W×cm2以上。在60℃加热60分钟后,PU-ALA涂层在耐腐蚀性和形态上都表现出明显的修复行为。这一工作有望开发出具有长寿命划痕修复能力的防腐蚀涂层,用于各种工业应用。
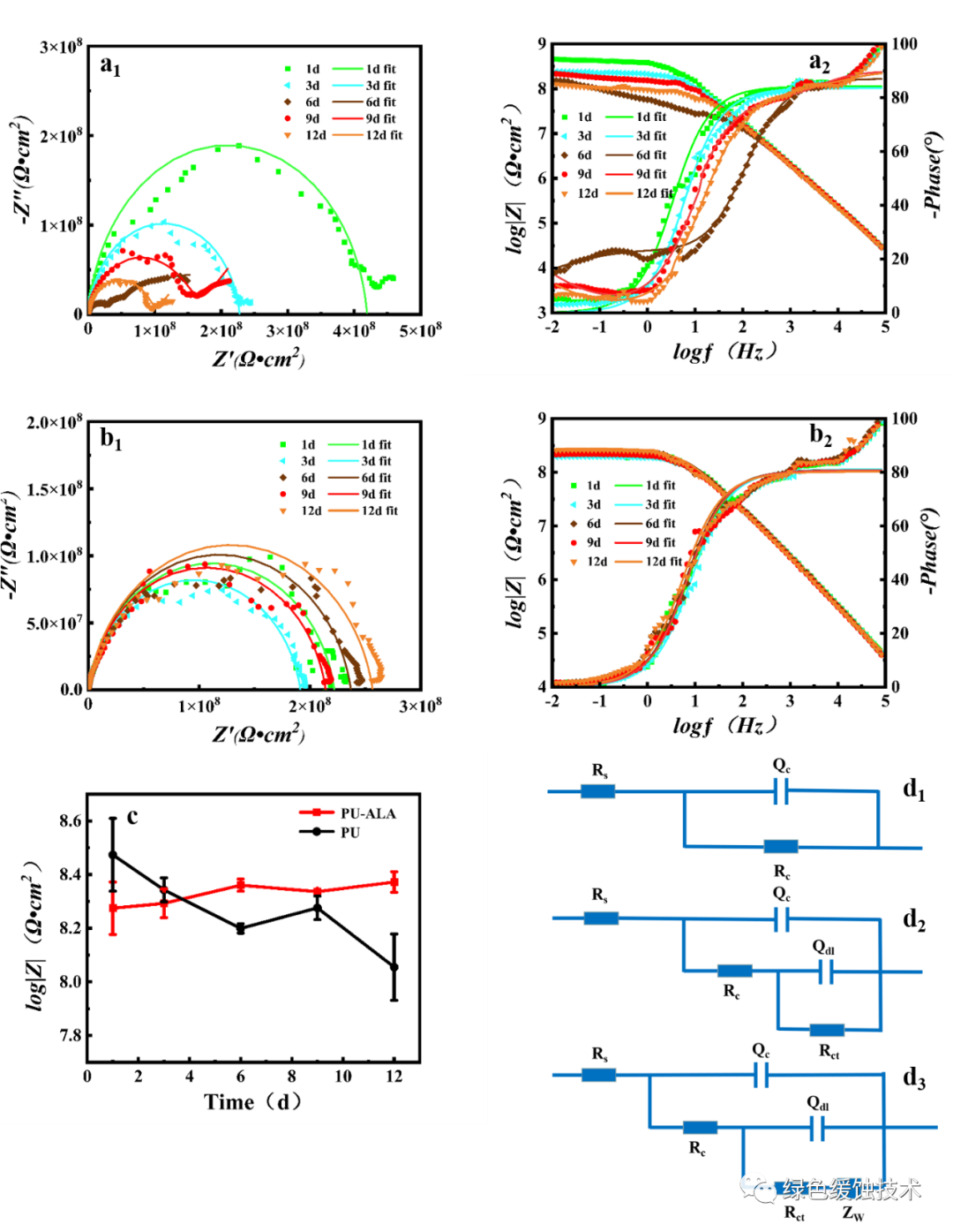
Fig. 1 Impedance diagram of the PU coated electrode (a) and the PU-ALA coated electrode (b) immersed in 3 wt.% NaCl solution:(a1, b1) Nyquist diagram; (a2, b2) Bode diagram; Variation of the modulus values at 0.01 Hz for the two coated electrodes as a function of immersion time (c); The proposed equivalent circuit model for fitting (d)。
Fig. 2 The repair effect diagram of PU-ALA coating with different temperatures and times.
Fig. 3 Impedance diagram of the PU-ALA coated electrodes with scratches immersed in 3 wt.% NaCl solution: (a) Nyquist plots; (b) Bode plots; Variation of the modulus values at 0.01 Hz for the two coated electrodes as a function of immersion time (c)。
Fig. 4 Repair mechanism diagram of PU-ALA coating.
图3(b)显示了浸泡在3wt.%NaCl溶液中的有划痕的PU-ALA涂层电极的Bode图。图中显示了两个峰值。中频的峰值(约103 Hz)是对PU-ALA涂层缺陷的反应,而低频区域的峰值(0 Hz ~ 10 Hz)可能是由于腐蚀过程造成的。然而,中频区域的峰值和与Warburg阻抗相对应的扩散尾巴在浸泡50分钟后都消失了。这些可以作为涂层划痕处愈合过程的证据。涂层对金属的保护性能是通过低频区的阻抗来观察的。因此,每个Nyquist图的频率为0.01Hz的阻抗模量(|Z|0.01Hz)被用来评估自我修复过程中涂层电阻的变化(图3c)。在60 °C的加热条件下,涂层表面缓慢修复,50分钟后|Z|0.01Hz的缓慢增加证明了这一点。这一结果也与划痕表面测试相一致。它显示了涂层对铜的保护作用的修复。
3 结论
综上所述,这一工作在不借助任何溶剂的情况下成功地在铜表面制备了改性聚氨酯涂层。聚四氢呋喃和2,4-甲苯二异氰酸酯被用作预聚物,而硫辛酸被用作扩链剂。改良后的聚氨酯涂层在交联点上显示出可逆的动态作用,这增强了它的防腐蚀的自修复性能。
该论文的实验工作是由研究生蔡镇涛、李雨晴、陆佳敏完成,指导老师为高立新副教授,论文工作也得到了张大全教授的指导。该论文受到国家自然科学基金(217761172)和上海市电力材料防护与新材料重点实验室开放基金的资助。
免责声明:本网站所转载的文字、图片与视频资料版权归原创作者所有,如果涉及侵权,请第一时间联系本网删除。
官方微信
《腐蚀与防护网电子期刊》征订启事
- 投稿联系:编辑部
- 电话:010-62316606-806
- 邮箱:fsfhzy666@163.com
- 腐蚀与防护网官方QQ群:140808414







