断裂力学是固体力学的一个分支,人们说“断裂力学是破解结构低应力破坏的金钥匙”。这里,我们就来谈谈断裂力学发展过程中的一些趣事吧。
1“彗星号”大型客机失事惨剧引发断裂力学的诞生
1954年1月10日,一架英国海外航空公司(BOAC)的“彗星”型客机(航班编号781号)从意大利罗马起飞,飞往目的地是英国伦敦。飞机起飞后26分钟,机身在空中解体,坠入地中海,机上所有乘客和机组人员全部遇难。这次事故震惊了全世界,英国成立了专门的调查组调查事故。该型客机停飞两个月。
就在英国海外航空公司总裁保证该机型不会再出事并复飞后不久,另一架“彗星”型客机也发生了同样的空中解体事故,坠毁在意大利那不勒斯附近海中。在此一年的时间里,共有3架“彗星”型客机在空中先后解体坠毁。此惨剧令当时英国为之骄傲的“彗星号”大型客机(参见图1)寿终正寝,也促发了科学家研究低应力断裂的“裂纹力学”,此即断裂力学诞生的由来。

图1 “彗星号”大型民航客机
对事故的调查发现,“彗星”客机采用的是方形舷窗。经多次起降后,在方形舷窗拐角(直角)处会出现金属疲劳导致的裂纹(裂隙)。正是这个小小的裂纹引起了灾难事故。后来,所有客机舷窗均采用圆形或设计有很大的圆角,以减小应力集中,提高金属疲劳强度;延缓疲劳裂纹的发生,此系后话。
进一步研究证明,裂纹的存在,引起飞机结构发生低应力破坏,通行的设计准则遇到极大挑战。这个研究孕育了断裂力学的诞生,并促进了其快速发展。到1957年,美国科学家欧文(G.R.Irwin)提出应力强度因子的概念,从此线弹性断裂力学基本建立起来。断裂力学诞生并用于结构设计后,源于裂纹引发的灾难事故大大减少,可见断裂力学是破解结构低应力破坏的金钥匙。
2 断裂力学史话概览
认真而言,断裂力学发展史还可从二十世纪五十年代往前追朔30多年。早在1921年,英国科学家格里菲思(A. A. Griffith)根据裂纹体的应变能,提出裂纹失稳扩展准则—格里菲思准则。它解释了为什么玻璃的实际强度会比理论值小得多。并由此得到裂纹扩展能量释放率的概念。可以说,Griffith理论应该是断裂力学的鼻祖。
材料的强度是抵抗外加负荷的能力,人们希望材料的强度越大越好。而脆性断裂(fracture)是材料的致命弱点。关于材料发生脆性断裂的基本根源,Griffith认为:实际材料中总存在许多细小的裂纹或缺陷,在外力作用下,这些裂纹和缺陷附近就会产生应力集中现象,当应力达到一定程度时,裂纹就开始扩展而导致断裂。这就是著名的Griffith微裂纹理论。根据Griffith微裂纹理论可知,断裂是裂纹扩展的结果。
根据Griffith的想法,奥罗万(Orowan) 根据弹性理论推导出了材料断裂的临界应力:
其中,E为杨氏模量,λ为断裂表面能。可见,材料的断裂应力与材料断裂表面能λ与杨氏模量的平方根成正比,与裂纹长度c平方根成反比。材料的断裂表面能λ是一个重要参数。举例来说,我们知道,玻璃工在切割玻璃时,先用玻璃刀在表面上划一道浅而细的裂纹,然后用手轻轻一掰,玻璃板遂成两段。其道理就在于此。
应该说明,Griffith理论有其适用范围。最近,力学所的研究人员通过原子尺度的模拟与分析,发现这个理论的适用范围是10个纳米以上的裂纹,小于此尺度的裂纹扩展将沿着Zigzag(非平直路径)扩展,Griffith 理论将会产生较大误差。图2是两种裂纹扩展路径的对比。

3 陈篪——中国断裂力学的先行者
陈篪1948年毕业于清华大学物理系,1950年去苏联进修,1954年参加中国共产党。1958年夏,陈篪调到冶金部钢铁研究院,从事高温合金研究工作。1965年,揭开镍高温强度和范性的秘密,写成《镍三铝的蠕变及持久性能》论文,为强化镍基高温合金提供了理论基础。1971年,他呈报《万言书》“请战”,第二年便得到了国务院总理周恩来的指示,从此他领导与组织研究了中、低强度钢的断裂分析和断裂韧性测试工作,是我国断裂力学研究的开拓者和创始人之一。
在他带领一个试验小组开始研究断裂力学的时候,尚在文化大革命期间,必须顶着所谓“反右倾回潮”的政治风浪。然而,他义无反顾,先后进行了40多项的专题研究,写了80多篇学术论文,奠定了中国断裂力学发展的基础。
1975年,陈篪罹患甲状腺癌,仍忍着病痛,坚持连续3个月的工作,终于找到解析法分析裂纹扩展的规律,亲自执笔撰写了两篇论文,并亲自整理出版《金属断裂研究文集》一书。1978年,陈篪在全国科学大会上被选为主席团成员,同年病故,年仅51岁。
陈篪先生是个有成就的科学家,他勇于在“文革”动乱年代,将断裂力学引入中国,可谓功不可没。另一方面,他艰苦朴素,衣着简朴,近乎不修边幅,过着清贫的生活。
这位被誉为“钢铁科学家”的力学家的情怀将永留人间。
4 浅谈线弹性断裂力学与弹塑性断裂力学
由于不同材料的断裂性能差异很大,断裂过程也有很大区别。适用于这两类材料的断裂力学理论也有很大不同。简言之,对于线弹性材料而言,在断裂试验的加载过程中,载荷与加载点的位移曲线基本呈线性性质(直线状态)。这时裂纹顶点附近塑性变形区域极小,称为小塑性变形断裂。
对于此类断裂行为,线弹性断裂力学适用。但是,弹塑性材料的断裂试验,载荷与加载点的位移曲线呈现显著的非线性性质(不是直线状态)。裂纹顶点附近塑性变形区域并不太小,塑性变形效应不可忽视。
玻璃与高碳钢属于线弹性材料,它们对裂纹较为敏感,断裂表面能较小,损伤安全容限较小。相比之下,低碳钢与复合材料属于弹塑性材料,裂纹尖端通常会存在较大的塑性变形区,断裂表面能较大,存在较大的损伤安全容限。
复合材料是多相材料复合而成,不同相间有界面。当裂纹扩展遇到界面时,界面(或界面层)会阻挡裂纹沿原来方向前进,而转变方向,消耗较多能量。从能量观点看,它的断裂表面能较大,断裂韧性较好。
5 应力强度因子概念的提出
经典材料力学告诉我们,在材料缺口的根部存在应力集中,应力集中系数γ等于缺口尖端的应力最大值σmax除以缺口附近区域内的应力平均值σavg。即:
如众周知,缺口根部曲率半径越小应力集中系数越大。当曲率半径趋于零时,应力集中系数趋于无穷大。根据线弹性断裂力学理论,裂纹顶端曲率半径为零,此处应力是无穷大。
另外需要说明的是,材料断裂的可能性,与裂纹长度关系极大。裂纹越长,材料(或构件)越易断裂。于是我们必须对不同长度裂纹(与裂纹顶端应力)对材料断裂驱动效应进行厘清。这样,科学家就提出了应力强度因子的概念。
应力强度因子:是表征裂纹顶端应力场强度(即度量裂纹尖端弹性应力场强弱)的一个参量,常用大写字母K表示。它和裂纹尺寸、构件几何特征以及载荷有关。应力在裂纹尖端有奇异性,而应力强度因子在裂纹尖端为有限值。其量纲为:
常用单位是:
根据应力对裂纹施加的方式不同,可分为三种开裂形式,如图3所示。所以,对应于三种开裂形式,它们分别为张开型、滑开型和撕开型。与之相应,有三个断裂强度因子:KI、KII、KIII。进行这三类不同断裂形式的试验,便可测得对应的临界应力强度因子:KIC、KIIC、KIIIC。

图3 开裂的三种形式
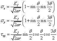
下面以张开型(I型)为例,说明裂纹尖端应力场与应力强度因子的关系(请见图4及相应数学公式):

图4 裂纹顶端的坐标
根据弹性力学计算,如图4所示的裂纹顶端附近的应力场可写为:

其中,θ,r分别为极坐标的幅角与矢径;a是裂纹长度。可见r→0时,应力趋于无穷大。KI是I型(即张开型)应力强度因子,是结构形式与载荷的函数。应力强度因子是驱动裂纹扩张的重要参数。
6 断裂韧性及其测量方法
材料抵抗裂纹扩展的能力称为“断裂韧性”。定量描述材料断裂韧性好坏的参量称为断裂韧度。在断裂力学诞生之前,测定断裂韧度的传统方法是采用带却贝V型缺口的冲击试验,测量其冲击断裂能,断裂能越高则材料的断裂韧性越好。在断裂力学问世后,用断裂力学定义断裂韧性更科学。常用的参量有:临界应力强度因子Kc、临界积分Jc,还有临界裂纹张开位移δc。其中Kc适用于线弹性材料,而后二者适用于弹塑性材料。
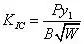
测量I型临界断裂强度因子KIC的试验方法有三点弯曲试验和紧凑拉伸试验两种。图5是三点弯曲试验,图6是紧凑拉伸试验。

图5 三点弯曲试验
在三点弯曲试验中,断裂参量:

其中P是断裂载荷,y1是试样的几何形状因子,对于简单几何形状与载荷形式的试验件,有关断裂力学书上附有表格,可供查询。其他参数请见图5。

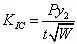
图6 紧凑拉伸试验
在紧凑拉伸试验中,有:

其中:y2是试样几何形状因子,对于简单几何形状与载荷的试验件,书上附有表格可查。P是断裂载荷。t是试样厚度。
7 裂纹扩展与损伤安全设计
根据线弹性断裂力学理论,只要存在裂纹,裂尖应力值都是无穷大,任何有限外力作用下,材料都会破坏。这当然与人们的直观有矛盾,也是线弹性断裂力学受人诟病的最大问题。对于绝大多数材料,情况并非如此。当裂纹长度达到一定长度(临界裂纹长度)时裂纹才失稳扩展,从而导致材料(或构件)最终破坏。
本文第一节提到,“彗星号”客机,经过多次起降,座舱内压反复作用促使窗口尖角启发裂纹,然后继续扩展,当它到达临界长度时,飞机突然失事。所以,从裂纹出现到裂纹失稳破坏,有一个时间过程。这里,我们来简单谈谈疲劳与断裂的关系。
疲劳与断裂是一条藤上的两个“大瓜”。材料或构件因疲劳而萌生裂纹,在后续疲劳载荷作用下,裂纹呈缓慢状扩展,直到它达到其临界长度,突然失稳扩展,便会导致材料破坏。裂纹长度a随疲劳周次的增长率和疲劳载荷之间关系如下:

其中,E是杨氏模量,σysc是材料屈服应力,ΔK是疲劳载荷范围(即最大应力强度因子与最小应力强度因子之间的幅值)。ΔK与裂纹长度a有关, a越大ΔK越大。可见,当裂纹很小时,ΔK也较小,裂纹扩展缓慢。当a达到临界值时,材料才会破坏(如图7所示)。
图7a是典型的裂纹随时间扩展曲线。图7b中则给出了材料剩余强度随疲劳过程的变化曲线。因此,从裂纹萌生到材料破坏之间的时间区间,是一个可以对构件进行检查并防止事故发生的区间。

图7 裂纹随时间扩展与损伤安全概念
工程师的现代化结构设计思想是,容许结构中出现裂纹,这就是所谓损伤安全设计。此设计概念与以往的设计思想大大发展了。这就是断裂力学的巨大贡献。
断裂力学创立是具有两个世纪以上历史的固体力学发展史上具有里程碑意义的一个大建树,它修改了传统工程设计思想,避免了低应力破坏事件的频繁发生。另外,损伤安全设计理念大大提高了材料利用效率,减轻结构重量。这对空天结构设计是至关重要的。
免责声明:本网站所转载的文字、图片与视频资料版权归原创作者所有,如果涉及侵权,请第一时间联系本网删除。
官方微信
《中国腐蚀与防护网电子期刊》征订启事
- 投稿联系:编辑部
- 电话:010-62316606-806
- 邮箱:fsfhzy666@163.com
- 中国腐蚀与防护网官方QQ群:140808414



