01.作者简介

白明文 博士 英国考文垂大学
2015年毕业于英国曼彻斯特大学,获得博士学位,导师为肖平教授 (现任英国皇家工程院讲席教授、英国材料学会表面工程委员会主席)。毕业后受英国工程与自然科学委员会 (EPSRC) 资助,先后在英国诺丁汉大学和谢菲尔德大学从事博士后研究,并于2020年加入英国考文垂大学,任助理教授;2011年起,长期与英国劳斯莱斯公司合作,从事航空发动机热障涂层的研发与应用;在本领域国际重要SCI期刊发表论文40余篇 (总引用900余次,H因子16),研究成果在国际性材料大会上报告10余次,2次在美国国际热喷涂大会上获“最佳论文奖”,拥有1项国际发明专利和2项中国专利;2021年获得英国注册工程师 (CEng) 认证,同时担任英国材料学会 (IOM3) 会员、 MDPI Coatings 期刊编委会成员。
02. 文章导读
热障涂层能显著提高航空发动机的效率和推重比,因具备保护涡轮叶片的能力而获得广泛运用,其构成一般由外表面的陶瓷隔热层和抗高温氧化的中间粘结层组成 (如图1所示)。在热障涂层体系中,粘结层抗高温氧化性能的好坏直接决定了热障涂层体系的服役性能和寿命,因而受到国内外研究者的关注。通过贵金属铂改性的粘结层具有优异的抗高温氧化和热腐蚀综合性能,其表面生成的连续致密氧化铝膜的抗剥落性强,是对金属粘结层进行高温防护的优选方案。

图1. 热障涂层的结构图。
近年来,英国劳斯莱斯公司最先开发了具有γ/γ‘双相的铂扩散粘合层,其制备过程省去了常规的渗铝流程,降低了制备成本,有效替代了传统β相铂粘结层。然而,在长期使用过程中,由于涂层界面附近的铂会不断扩散至耗尽 (如图2),已严重危及热障涂层寿命。目前尚未找到合适的解决办法,工业只能通过使用更高铂含量的粘合层来抵消扩散损耗,因此,实际涂层成本仍然很高。

图2. 电子探针显微分析铂在1150度50小时扩散和氧化之后的元素分布图。
03. 研究内容
在这项研究中,作者通过对CMSX-4第三代单晶高温合金进行选择性腐蚀,首次研制出具有单相 (γ或γ') 的改性铂扩散粘结层。单相铂粘结层的制备工艺见图3。与传统的γ/γ’双相粘结层相比,单相粘结层显示出独特的扩散行为。尤其令人惊讶的是,通过研究发现,铂在γ‘相粘结层中极为稳定,扩散损耗显著减少,这意味着可以有效节省铂用量。然而,在γ相粘结层中铂的消耗更为严重。

图3. 单相铂粘结层的制备工艺示意图。
图4显示的是γ’单相铂粘结层横截面的扫描电镜照片。从照片A和B中可以清楚地看到通过全新的制备工艺,铂完全取代了γ相网格,并在1150度50小时氧化后仍保持单相稳定。

图4. 扫描电镜照片:γ‘单相铂粘结层在1150度50小时氧化前后对比。
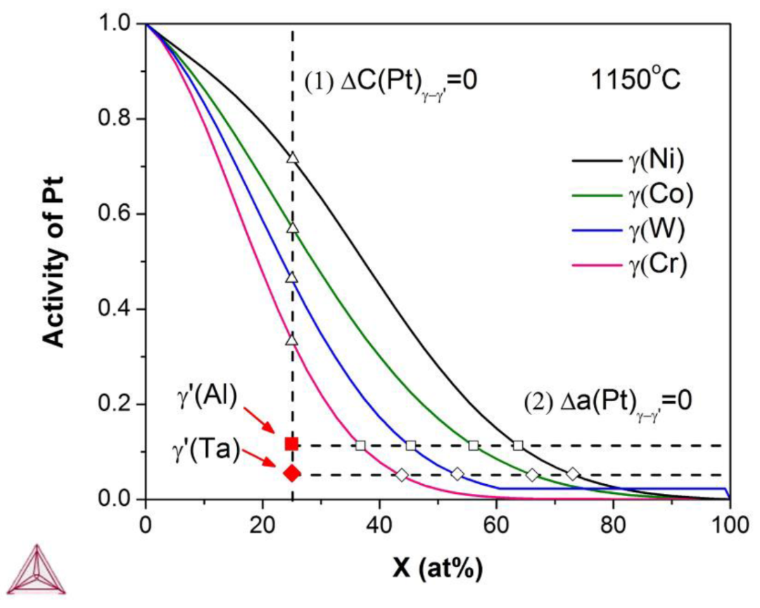
该涂层技术已在2015年申请了国际专利 (专利号WO 2015181549),其亮点在于可有效阻止铂在高温下的扩散损耗问题,能减少约77%的贵金属铂材料用量,从而大大降低了热障涂层的材料成本。此外,本文作者通过Thermo-Calc热力学计算,详细阐述了铂在γ’单相中热稳定性被提升的原理:铂扩散主要取决于其它合金元素不同程度上的相互作用。图5显示,γ‘相中富含的铝和钽可大大降低铂的活度,抑制其向γ相中扩散,从而将铂有效地稳定在γ’单相中。

图5. Thermo-Calc热力学计算得到的在1150度下其它合金元素含量对铂的活度的影响。
识别二维码阅读英文原文

原文出自Coatings 期刊
Bai, M.; Chen, Y.; Sun, Y.; Xiao, P. Mitigation of Platinum Depletion in Platinum Diffused Single Phase Bond Coat on CMSX-4 Superalloy. Coatings 2021, 11, 669.
免责声明:本网站所转载的文字、图片与视频资料版权归原创作者所有,如果涉及侵权,请第一时间联系本网删除。
官方微信
《中国腐蚀与防护网电子期刊》征订启事
- 投稿联系:编辑部
- 电话:010-62316606-806
- 邮箱:fsfhzy666@163.com
- 中国腐蚀与防护网官方QQ群:140808414



