极化阻力技术
1 原理
极化阻力也称线性极化技术,是工厂监测中测量腐蚀速度时广泛使用的技术之一。此技术的原理是当一个测试电池受到5~30 mV的小电压极化时,测出该电池的表观“阻力”,就可以根据这种阻力计算腐蚀速度。这个表观阻力由流过的电流和施加的电压所确定。在许多环境中,此阻力与腐蚀电流成反比。一名操作者利用廉价的仪器即可进行逐点测量。也可以设计出较复杂的测量装置,连续记录多探头的数据。
此种技术的测量既简单又迅速,因而可以对腐蚀速度进行有效的瞬时测量,这有助于解决诊断问题,使人们能够获得腐蚀速度与工艺参数的对应关系。同时,连续测量可以向信息系统或报警系统提供依据,以帮助压力容器的操作人员。
极化阻力技术已经用于压力容器的各种使用环境中,包括范围广泛的工业金属-电解液组合。该技术还经常用于实验室研究,包括对缓蚀剂系统进行筛选。总的说来,它的应用局限于液体,但最好是在电阻率小的介质中使用。因为,在高电阻率的电解液中,测量结果包含有一个电阻分量。这种误差通常可以修正,但其他的可能误差不太容易处理。例如,除了腐蚀反应之外,若还可能发生其他电化学反应,这时,该技术测量的就是所有电化学反应的总速度,而这些其他的电化学反应却可能与腐蚀速度无关。
这种技术通常局限在预期发生均匀腐蚀场合下使用,如果会发生点蚀或其他形式的局部腐蚀就很难适合。腐蚀产物膜也有可能带来问题,其问题的确切性质与仪器的具体性能有关。极化阻力技术产生分析误差的原因与所造成的影响及限制该项技术应用的先决条件是使用环境必须是一种电解液,但在更大程度上它更限制着该技术的应用。尽管如此,极化阻力技术实际上已被广泛的成功经验所验证。
2 监测仪表
a.简单电路。可以利用简单的电路来进行可靠的极化阻力测量,包括恒流法和恒电位法两种测量电路。恒流电路使用了一个高阻值电阻,与直流电源串联以在工作电极和辅助电极之间产生恒定的电流,流过的电流由电流表测出。电位器用来补偿工作电极和参比电极之间的静止电位,这样就能允许极化测量时工作电极电位在小范围内变化而不致影响精度。这种方法的缺点在于,如果所选择的电流太大,工作电极被极化远超出10 mV,就会妨碍对腐蚀速度的精确测量。在恒电位电器中,低阻值的电阻跨接在直流电源两端,只要工作电极和辅助电极之间探头上的电阻比低阻值电阻大得多,就能给出稳定的电压。可以再次利用电位器来补偿。调节低阻值电阻,可得到电压ΔE,将它施加给工作电极,可将工作电极的电位控制在所需的数值上,使回路电流很容易测量。
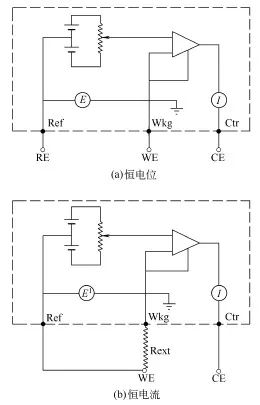
测量用的简单电路还可以利用恒电位仪来产生。正如图8-6a所示那样,恒电位仪可以直接与三电极系统连接,以便使工作电极极化并直接测量电路电流。在这个例子中,恒电位仪优先作恒电位使用。在图8-6b中,恒电位仪则用于恒流电路的测量。可变的外电阻Rext放在工作电极臂,并与恒电位仪参比电极端子跨接,利用此电阻Rext,来控制通过工作电极的电流。
图8-6 用恒电位仪进行极化阻力测量的线路图
Ref、Wkg、Ctr:仪表上的参比电极、工作电极、辅助电极端子;
Re、WE、CE:实际电极的接头
b.商品仪器。已经有大量用于极化阻力监测的商品仪器,其中有些比较适合于工业应用。表8-3归纳了最普通的仪器的特性。
表8-3 极化阻力测量用商品仪器
注:出另外注明者外,都按钢计算,单位为mil · a-1。
图中,R-参比电极,W-工作电极,A-辅助电极
这些仪器还可以给出“点蚀指数”,这是通过变换ΔE的极性由电流数值的不对称性导出来的。其重要性将在误差来源一节中叙述。虽然,如果不加选择地应用点蚀指数,有时是不可靠的,但有时候却可以用它作为点蚀或其他形式局部腐蚀损坏的定性指示。
所有型号的仪器一般都采用两电极探头或三电极探头工作,三电极型的探头只当溶液电阻率(?·cm)和腐蚀速度(mil?a-1)的乘积超过250000时才需要。如果乘积超过10000,采用两电极探头就需要用校正曲线。
c.探头设计。极化阻力测量用的探头可以是两电极型。两电极型探头通常采用相同的金属电极。在两极间施加的电压ΔE可达30 mV。所施加的电压常常换向,周期约为1 min或更长,有时可采用直流信号。换向有助于防止电极被极化而偏离自腐蚀状态,否则,电极偏离自腐蚀状态会形成原电池。这个探头和三电极探头一样,由供应极化阻力仪器和附件的商业公司供应。
三电极商品探头有两种类型。在这两种类型中,探头的结构与实验室进行恒电位研究时的方式相类似。其中三个电极分别起工作电极、辅助电极和参比电极的作用。在第一种类型探头中,所有三个电极都用所研究的金属材料制成同样的尺寸。工作电极不是被阳极极化就是被阴极极化,典型的极化值是偏离材料的平衡电位10 mV,这个极化值是相对于同种材料作参比电极时的测量值。辅助电极的作用是为了能让电流通过工作电极。第二种类型的电极探头与第一种的差别在于参比电极不同于工作电极和辅助电极。在商品型探头中,参比电极多半用铂或不锈钢作为一种氧化还原电极,或者用银-氯化银电极以便与氯离子相对应。对于工业研究,参比电极更多采用不锈钢或银-氯化银电极。
采用两电极探头时测量误差要比三探极探头小,但在低电导介质中,两电极探头可能产生明显的IR下降。如果知道电解质电导常数,那么,可以对IR降加以校正,从而测量出腐蚀速度。有时候也可以用商品仪器所提供的线图来进行换算。三角形结构的三探极探头有助于减小IR降,但是,和采用两电极探头一样,在高电阻率介质中,如大于10000 ?·cm,使用时也应该小心。然而,并不能规定一个电阻率阈值(见误差来源一节)。
d.实际应用。极化阻力法和电阻法一样,在非常广泛的环境中,已经得到成功的应用,但要列出有关的金属-环境组合是不切实际的,这种方法和电阻法类似,使用时,感受元件通常都是一个插入压力容器内的探头。电阻法中有关探头位置选择的原则对极化阻力技术也是适用的。这种技术同样会因探头元件和压力容器材料的冶金条件之间的差异而容易产生误差。并且,这种技术也容易因探头的流线形状与生产装置不同而产生误差。但不应该过分强调可能存在误差的重要性;这种误差常常很小,从实用上看,所需要得出的测试结果只是大致的腐蚀速度。因而,存在较小的误差也是允许的。
极化阻力技术要求使用介质是一种电导率较高的电解液,并且,在给定介质中,预期金属只发生全面腐蚀时,此技术才适用。
e.误差来源。造成极化阻力测量误差的原因很多,其中,有许多是相互影响的,可归并到最终误差中去。
i. 理论误差。
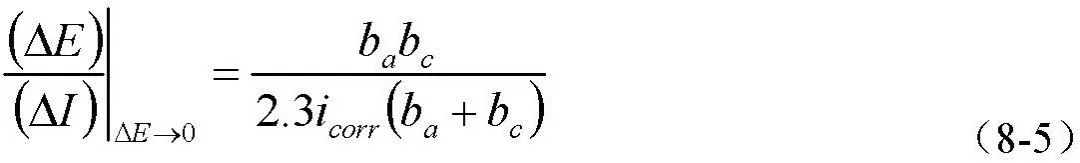
极化阻力测量的ΔE应该小,通常≤10 mV。严格说来,只当ΔE=0并且极化曲线的斜率是在腐蚀电位处测量时,Stern-Geary关系式即:
在数学上才是正确的。在0~10 mV或30 mV范围内的极化曲线,事实上普遍呈曲线关系,而在商品仪器中,常常假定它呈直线关系。对数据这种所谓“线性化”,在极化阻力测量时就可能导致误差,因而腐蚀速度也有误差。曲线线性度带来的可接受的偏差,这曾经是并仍然是争论很大的课题。线性区域的范围取决于ba和bc的相对大小。如果两参数都大而相等,就可能获得一个大的线性区域,对于某些体系,它可以扩展到60 mV。然而,当这两个塔菲尔斜率中的一个比较小而与另一个显著不同时,线性区就可能相当小。因此,对于两电极探头来说,因极化曲线的弯曲而产生的误差普遍小于三电极探头。
只有当金属的溶解反应和与此相平衡的阴极反应是惟一的一对反应,并且是在腐蚀电位下以很大的速度进行的,Stern-Geary关系才是正确的。这就是说,腐蚀电位应该既不靠近腐蚀半电池反应的可逆电位(E0),也不靠近其他干扰反应的可逆电位,否则,必须把其他氧化还原电流考虑到平衡条件的推导中去。应用极化阻力法测定时,如果存在其他氧化还原电流,就会导致Rp值降低,因而使“腐蚀速度”偏高。关于腐蚀电位靠近可逆电位造成的误差,这里介绍一个典型的例子:如果E0 -Ecorr=26 mV,则所造成的误差大约是20%,愈靠近可逆电位,相应产生的相对误差愈大。
在强氧化还原系统中,氧化还原反应的氧化电流和还原电流要比腐蚀反应的电流大得多。在这些环境中,当腐蚀电位接近氧化还原反应的可逆电位时,Stern-Geary关系就不正确。有时候,如果工作电极的电位接近惰性电极诸如铂或钝态不锈钢的电位,就可以判别出这时存在有氧化还原体系。
Stern-Geary方程式是基于活化作用控制的腐蚀反应而推导出来的,在此方程式中,塔菲尔斜率ba和bc与腐蚀反应的活性控制有明显联系。为了从Rp测量计算腐蚀速度,需要知道极化阻力常数B中的ba和bc值。
由式(8-5)可推导出
由(8-6)可知,要准确地测定腐蚀速,重要的是有可靠的B值。从理论上看,在室温下,对各种金属溶解机理来说,典型的ba值是0.030V,0.040V,0.060V或0.120V;对不腐蚀或钝化状态来说,ba是无穷大。因此,对于析氢的酸性条件来说,bc的理论值是0.120V,对包括不搅拌的中性充气溶液中所谓氧还原的扩散控制来说,bc的理论值接近无穷大。因此,B的理论估算值可能在0.010V和0.052V之间变化,正如表8-4中所示的计算值。所以,可以看出,即使采用最不理想的理论计算B,求出的腐蚀速度与真实值相比,至多相差5倍。事实上,已记录到的B值约90%是在0.012V~0.040V的范围内,有70%是在0.012~0.030V的范围内。这样,建议采用大约0.018V的计算值,就可以将误差范围缩小,使求出的腐蚀速度与实际值相比,只相差2倍。对于商品仪器和实际使用来说,在没有更可靠的计算依据时,常常假设B值在0.015~0.020V之间。在大多数的实际使用中,特别是工业监测,为了解释和估计压力容器的腐蚀状况,测量值与实际值之间相差2倍是不大的。
表8-4 常数B的计算值/V
Stern-Geary关系式总的正确性已由Stern和Weisert研究分析各种各样的腐蚀系,包括镍在HCl中的腐蚀,钢和铸铁在酸和天然水中的腐蚀验证。
ii. IR降。
如果所测量的ba和bc值由于IR降和浓度极化的影响而不符合塔菲尔关系,那么Stern-Geary关系式就不正确,并将测量到错误的腐蚀速度。但如下的特殊情况例外:由于钝化行为,ba不符合塔菲尔关,因而ba→∞时;当bc不符合塔菲尔关系,而阴极反应由于所谓氧的扩散而处于扩散控制下,并且bc→∞时。在这两种情况,Stern-Geary关系仍然正确,并表示如下:
当然,在上述关系式中,甚至在更为完备的Stern-Geary公式中,对ba和bc值估计粗劣或数值错误,都将会在腐蚀速度中产生直接误差。因此,估计B值为0.018V时,一般求出的腐蚀速度与实际值相差小于2倍。
iii. 实际应用的局限。
极化阻力技术只能测量试验电极上正在发生的腐蚀过程,不能测量压力容器材料本身的行为,将电极制成压力容器的一个部分,如压力容器中被绝缘的管件,可以解决这个问题。在导电性很差的介质中,由于溶液IR降的缘故,会使测量的腐蚀速度产生很大误差,除非进行补偿。溶液的欧姆电阻Rs附加到极化阻力Rp,得到的总阻RT表示为:
从这个关系式可以看出,为了尽量减小IR,Rs必须明显小于Rp,所以,即使在电阻小的溶液中,如果该系统的Rp小的话,误差仍然是明显的。因此,要确定一个电阻率的阈值(超过此值时IR降就明显)是不可能的,除非Rp已知。这种方法不能用于定量局部腐蚀如点蚀、晶间腐蚀或应力腐蚀破裂。有时候,不对称的阳极和阴极Rp测量结果可以表明间断的局部腐蚀反应正在发生。然而,当ba和bc明显不同时,不对称的读数也可能是由于极化曲线弯曲造成的。因此,这种不对称的读数只能看做是局部腐蚀可能正在发生的一种迹象。
假设试验电极是均匀的,即单相金属,但腐蚀可能高度局部化,特别是在多相合金的情况下。对于这样的局部腐蚀,在上述测量腐蚀速度的仪器中,并不能加以校正。对于在压力容器中采用诸如双金属耦接效应来控制压力容器腐蚀的情况,也不能根据探头电极的测量来评价其效果。
腐蚀膜的存在可引起IR降,但是却引入了一个假电容C,该电容产生的时间常数RpC非常大,以至于不可能对工作电极进行稳态极化的测量。在这种情况下,进行交流极化阻力测量或交流频率相关测量以确定充电特性也许更为成功。
iv. 其他局限。
稳定性。需要注意,在某些体系中,进行极化阻力测量期间工作电极的电位可能变化很快,因而,此电极可能产生很大的表面变化而导致测量无效。在工业应用中,使用非平衡电极如铂和不锈钢作参比电极时也可能发生类似现象。因为氧化还原反应不可能很稳定,电位干扰可能产生。此外,如果仪器的响应时间不够快,控制工作电极过电位的能力差,也会使测量结果不正确。
阻抗。用于极化阻力测量的仪器,其输出阻抗应明显小于电解池阻抗。
波形。误差还可能是由于波形,特别是频率而产生。为此,需要作出选择,应该使用较低频率(小于10Hz)来测量用通常措施进行测量而无效的体系。极化电源为交流时,测出的电压是均方根值,所以,交流技术与直流极化阻力技术不同。宁可采用方波而不用正弦波,以避免快速检查波形的困难。最好让波形在腐蚀电位附近换向,以便使电极处于平衡的腐蚀条件下。
必须采用小电极以避免提高电解池容量。测量仪器必须有较高的输出容量,以满足电解池需要。
这些局限性,除了尖峰脉冲波形外,通过选用正确设计的仪器可以很容易地避免。
免责声明:本网站所转载的文字、图片与视频资料版权归原创作者所有,如果涉及侵权,请第一时间联系本网删除。
相关文章
官方微信
《中国腐蚀与防护网电子期刊》征订启事
- 投稿联系:编辑部
- 电话:010-62316606-806
- 邮箱:fsfhzy666@163.com
- 中国腐蚀与防护网官方QQ群:140808414
点击排行
PPT新闻
“海洋金属”——钛合金在舰船的
点击数:7779
腐蚀与“海上丝绸之路”
点击数:6211











