随着我国油气管道铺设里程的逐年激增,管道泄漏事故发生的频率呈现递增趋势。为确保管道服役安全,国家颁布了《石油天然气管道保护法》、《安全生产法》和《环境保护法》修订版以及《特种设备安全法》等,以对管道管理提出要求,长输管道完整性管理也随之受到越来越多的重视,成为保障安全生产、提升管理水平和降本增效的重要措施。
长输管道完整性管理是管道管理者针对不断变化的管道服役影响因素,对管道面临的风险因素进行识别和评价,不断改善不利于管道服役的影响因素,采取各种风险减缓措施,将风险控制在合理、可接受的范围,最终达到持续改进、减少管道事故、经济合理地保证管道安全运行而进行的一系列管理活动。
根据GB 32167-2015《油气输送管道完整性管理规范》要求,完整性管理包括:数据采集与整合、高后果区识别、风险评价、完整性评价、风险消减与维修维护、效能评价等六个环节,核心工作是借助智能内检测、直接评估和水压试验三种工具及时掌握管道当前的状态以及缺陷发展的趋势。
下面将论述直接评估法在管道完整性管理中的应用,包括管道内腐蚀直接评估与外腐蚀直接评估联合使用的技术优势和实施流程,通过我国北方某条跨省长输管道内、外腐蚀直接评估及开挖结果验证这两种评估技术联合使用的效果,以期为类似需要开展完整性评价的管道提供借鉴。
直接评估技术的优势
目前常用的管道完整性评价方法主要包括:内检测、水压试验和直接评估,基于上述评估方法获取的管道系统数据,可开展管道剩余强度评估或剩余寿命预测。由于这些方法的原理存在差异,其在使用中各有优缺点。
内检测基于漏磁(MFL)、超声(UT)技术,能最直观地发现管道缺陷,是完整性评价的最佳手段,另一方面,内检测对管道系统的结构要求最高,被检测管道需有完整的收发球装置,管道全段要满足清管通球要求,检测费用高昂,且存在卡球风险。
水压试验作为管道竣工验收的工序,用于在役管道的完整性检测,试验前管道需停输,且该技术仅可发现临界缺陷,试验压力、增压程序、保护程序、应急程序等要求较高,漏点查找也相对困难。
直接评估法主要基于现场检验、模拟计算和开挖验证,无需变更管道工艺状态,在保证缺陷发现率的前提下,工作量少、风险小、费用低,适用于气管线、低含水率油管线或油水混输管线。该方法对管道历史工艺参数、介质流动和腐蚀数据的完备性和准确性要求高,适用于存在腐蚀风险但因内穿插、变径等因素无法清管或需要进行腐蚀缺陷根源分析的管道。
直接评估数据挖掘与对齐
管道内腐蚀直接评估是基于管道工艺台账和历史腐蚀状态的,因此挖掘预评价和间接评估阶段的相关数据对评价结果有较大影响,评估时需要尽可能多获取管道的历史工艺参数,详见表1。
管道内、外腐蚀直接评估联合使用时,除了需要上述管道的基本运行参数,还需获得与里程对应的管道高程、埋深以及防腐蚀层状态数据,基于管道高程和埋深计算管道基线的高程,并计算管道全线倾斜角度。最终通过管道里程数据实现内、外腐蚀风险点的数据对齐,与管道里程对应的相关参数整理路线见图1。
图1 与管道里程对应的管道内、外腐蚀风险点数据对齐路线
实施流程
当前的管道内腐蚀直接评估主要参考NACE SP0206(适用正常条件下输送干气但可能会遭受到非经常性的短期液体侵扰管道),NACE SP0110(未脱水或有游离水浸入,具有较大气液比介质管道)的理论依据是腐蚀性水在管道中的积聚是引起管道内腐蚀的先决条件,管道积水与腐蚀位置如图2所示,水平管与倾斜下降管通常不会积液;在倾斜上升管中,重力阻滞液体向下游流动,会发生积液,从而引起内腐蚀。基于上述原理,内腐蚀直接评估就是沿着管道详细检查最有可能积水(或其他电解液)的部位,由此推断下游剩余管段的完整性。
图2 管道积水与腐蚀示意图
腐蚀部位预测的目标是在一定的管段区间内,基于现场间接检测或模拟计算结果预测最可能发生腐蚀的位置,主要流程涉及预评估、直接评估、详细检查和后评价。
1 预评估
在预评价阶段,需要收集管线历史、当前数据,以确定评估区,并对直接评估(DA)方法的可靠性进行评估,数据来源包括施工记录、操作和维护历史、校正表、具有覆层厚度的高程图、检测记录以及以前的完整性评估或维护操作的检测报告等。
2 直接评估
1) 根据管道中心线相对高度计算目标管线倾角
利用高程图计算目标管道倾角,以直接评估(DA)数据中单元点最小里程单位,分析确定置信区间,根据管道里程、高程、路由数据计算管道倾角θ,θ正弦值表示管道高程Δh相对管道长度Δl的变化,其表示方法如下:
θ=arcsin(Δh/Δl)
2) 预测液体聚集临界角
内腐蚀直接评估结果的可靠性取决于利用流动模拟识别最有可能发生电解液聚集位置的能力。管道内液相受到剪切应力和重力的共同作用最可能在倾斜管道处聚集,将管道倾角和流态模拟所预测的水聚集临界角进行比较,大于聚集临界角的第一个倾角即为水首先聚集的位置,该位置最有可能先遭受腐蚀,如图3所示。
图3 水在管道倾斜段的聚集示意图
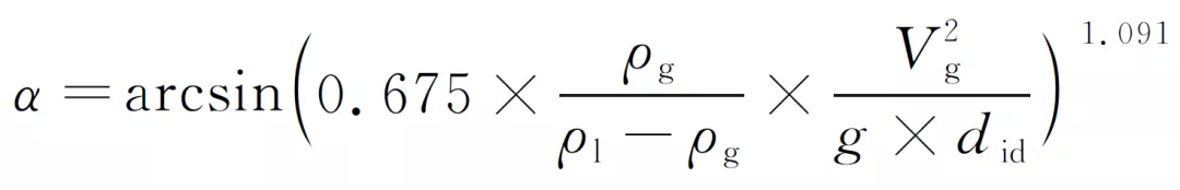
根据流体单位面积上的重力与惯性应力平衡方程,计算输气管道电解质聚集临界角,见下式:
式中:ρl和ρg分别表示液体和气体密度;g为重力;did为管道内径;Vg为表观气体速度;α为水聚集临界角。
根据理想气体方程PV=nRT,推导出管道内气体的密度:
ρg=(MVP/RT)×10-6
式中:MV为气体分子量;P为管道内压力;R为理想气体常数,为8.314J·K·mol;T为管道内介质温度。
实际气体密度的计算需引入一个修正系数,即压缩因数z(表示实际气体与理想气体的偏离程度),该值可通过查询获得。评估采用最极端条件(最低运行压力、最大输气量),计算获得管道的最大理论临界倾角。
3) 腐蚀程度及速率预测
以国际上通用的管道直接评估方法为指导原则,以管道腐蚀预测Intetech Electronic Corrosion Engineer(ECE)或Predict Pipe腐蚀评估软件为载体,考虑流体状态和流速、温度、CO2和/或H2S分压、溶液pH、介质成分等力学-化学因素,进行腐蚀程度及腐蚀速率评价,技术路线见图4。
图4 内、外腐蚀直接评估联合使用技术路线图
实例分析
对我国北方某条跨省输气管道开展内、外腐蚀直接评估,分析内、外腐蚀直接评估联合使用的执行流程和开挖验证效果。
1 管道概况
某输气管道始建于1976年,全长87.4km,管线设计输量为100万m3/d,设计起点压力为1.0MPa,末端压力为0.52MPa。中途跨越大小沟渠20余条,连续跨越青静黄河、子牙新河、北排河、沧浪渠四条大型河流。2009年至今,对目标管线进行了数十次泄漏抢修,分析原因主要是管线的腐蚀穿孔造成的。
2 管道内、外腐蚀评价
1) 预评价
对目标管道进行了参数调研与信息梳理,明确目标管道满足开展内、外腐蚀直接评估的条件。管道外腐蚀直接评估采用PCM+ACVG配合阴极保护电位检测;内腐蚀直接评价是将管道分为三段,内腐蚀风险主要为CO2均匀腐蚀。
2) 外腐蚀直接评估
参考GB/T 19285-2014《埋地钢质管道腐蚀防护工程检验》,采用管中电流法对防腐蚀层破损点评级并筛选出开挖验证点,其中长度2.1km管段的防腐蚀层电流衰减趋势见图5。
图5 管道防腐蚀层的电流衰减趋势
3) 内腐蚀直接评估
结合管道输送介质的特性及管道工艺参数,通过多相流模型计算得到目标管道电解质聚集的最大临界角α:
大港分输站-马落坡计量站
最大临界角0.485°
马落坡计量站-沧州末站
最大临界角0.366°
比较计算得到α与目标管道中心线倾斜角θ,确定最可能发生电解质聚集的点,并在此基础上,根据输送介质的成分以管道腐蚀预测ECE软件为载体预测目标管道沿线的腐蚀速率,如图6和图7所示,并确定内腐蚀高风险点。
图6 管道持液量、倾斜角沿里程的变化趋势
图7 管道沿里程方向的内腐蚀速率变化趋势
4) 详细检测
详细检查主要是针对内、外腐蚀直接评估确定的一类风险点进行开挖确认,根据开挖结果验证上评价结果的有效性。对开挖点进行目视检查后,采用高频导波进行宏观检测,对缺陷进行定位。在此基础上,使用相控阵B扫描对缺陷进行性质、面积、深度等的精确测量。
针对开挖点的缺陷,使用高精度测厚仪测量管道壁厚,当风险点附近有焊缝时使用相控阵对管道焊缝进行缺陷检测,一处风险点的开挖检测结果如下:
1
周向坐标:出气侧66°
轴向坐标:出气侧30cm
缺陷长度:15mm;宽度:15mm
最大减薄:1.5mm
缺陷类型:内部面积缺陷
2
周向坐标:出气侧83°
轴向坐标:出气侧53cm
缺陷长度:20mm;宽度:20mm
最大减薄:0.8mm
缺陷类型:2处外部面积缺陷
根据缺陷点险评级结果,确定10处一类风险点,开挖后缺陷特征如下表所示,表中风险点呈现1~3mm不等的管壁减薄,且部分区域呈现均匀减薄,说明内、外腐蚀直接评估综合确定风险点及风险等级是有效的。
表2 根据直接评估确定的一类风险点开挖详细检查结果
结束语
基于管道内、外腐蚀直接评估标准和应用成果,分析了管道内腐蚀直接评估法的技术优势、适用条件和一般性流程,并介绍内、外腐蚀直接评估联合用于管道完整性评价的具体实施过程,通过案例分析说明两种评估技术在预判管道内、外壁因腐蚀诱发的体积型缺陷时能够互补,可以极大提高管道腐蚀风险被检出的可能性,提高管道完整性评价的有效性。
免责声明:本网站所转载的文字、图片与视频资料版权归原创作者所有,如果涉及侵权,请第一时间联系本网删除。
相关文章
官方微信
《中国腐蚀与防护网电子期刊》征订启事
- 投稿联系:编辑部
- 电话:010-62316606-806
- 邮箱:fsfhzy666@163.com
- 中国腐蚀与防护网官方QQ群:140808414
点击排行
PPT新闻
“海洋金属”——钛合金在舰船的
点击数:7516
腐蚀与“海上丝绸之路”
点击数:6019













