马氏体时效不锈钢具有良好的强韧性匹配和耐腐蚀性能,已经应用在航空航天、海洋建设和压力容器制造等领域[1,2]。这类钢的高强度归因于多种复合强化,包括析出强化、马氏体强化和固溶强化等,其中析出强化最有效 [3,4]。但是,不同合金体系其析出相的种类、结构及与基体之间的位向关系对强韧性有不同的影响。常见的析出相,有β-NiAl相[5]、富Mo的R′相[6]以及η-Ni3Ti相[7]。这些有序相在基体中的弥散析出对位错钉扎,使屈服强度显著提高。在时效过程中析出相的结构、尺寸和形貌均发生变化而影响力学性能,其中时效温度是关键的影响参数之一[8]。另外,这类钢在时效过程中还伴有马氏体的逆转变,在马氏体板条边界或原奥氏体晶界生成逆变奥氏体。时效温度对该相的含量和稳定性起关键作用,从而影响冲击韧性[9]。因此,研究时效温度对马氏体时效不锈钢组织与性能的影响极为重要。00Cr12Ni10MoTi是一种具有良好强韧性匹配的低温用马氏体时效不锈钢,主要用于制造液化气体储存容器和低温环境构件。以往关于该钢的研究主要关注预固溶处理对力学性能的影响[10,11],本文研究时效温度对00Cr12Ni10MoTi室温强度及冲击韧性的影响,并揭示其力学性能与相组成的关系。
1 实验方法
用真空感应熔炼的实验用00Cr12Ni10MoTi钢的化学成分,列于表1。将钢锭在1200℃均匀化处理后锻造成截面为70 mm×70 mm的棒材,并沿纵向切取热处理试样。所有试样均在750℃固溶1 h并水冷,分别在350℃、400℃、450℃、500℃、550℃时效处理2 h后空冷至室温。另取固溶态试样以作对比。
表1 实验用钢的化学成分

将上述热处理试样加工成M10标准拉伸试样,并根据GB/T228-2010要求用Instron 5887万能材料试验机测试室温拉伸性能。另外加工标准夏比V型缺口试样,并在ZBC 230全自动冲击试验机上进行室温和低温(-196℃)冲击试验,参考标准为GB/T229-2007。
将从热处理试样棒上切取的样品磨抛后用5 g氯化铜+30 mL盐酸+25 mL酒精+40 mL水配置的腐蚀液侵蚀,利用S-3400N型场发射扫描电子显微镜(SEM)观察经不同温度时效后基体的微观组织,并对低温冲击试样进行断口形貌表征。在室温拉伸试样螺纹端切取500 μm厚的金属圆片,将其机械打磨至50 μm,随后经冲孔得到直径为3 mm的薄片。采用10%(体积分数)高氯酸+90%酒精的混合溶液对其进行化学双喷减薄处理,温度为-25℃,电压为35 V。用Oxford型扫描电镜对时效态基体进行电子背散射衍射(EBSD)表征,观察逆变奥氏体形貌及分布特征。用FEI Tecnai F20透射电子显微镜(TEM)对固溶及时效态试样微观组织进行观察表征。用X射线衍射技术(XRD)分析固溶态及不同时效态试样的物相,并根据衍射峰强度并参考GB 8362-87计算奥氏体相的体积分数。
2 结果和讨论
2.1 时效温度对力学性能的影响
图1给出了固溶态(ST)和在不同温度时效的试样的室温拉伸和冲击实验结果。由图1a可以看出,与固溶态相比,在350℃时效的试样强度大幅提高。随着时效温度的升高,试样的强度不断提高,直至500℃达到峰值,对应屈服强度1072 MPa,抗拉强度1093 MPa。但是,将时效温度进一步升高到550℃,试样的强度明显下降。上述结果表明,在所选的时效温度范围内,00Cr12Ni10MoTi钢的室温强度表现出“先增后减”的规律,在500℃时效实现了实验钢的高强性能。另外,如图1b所示,随着时效温度的升高,试样的断后伸长率和断面收缩率呈现出先降低后升高的规律,在500℃时效后两者分别为15%和76%。在不同温度时效的试样其冲击功变化如图1c所示,可见室温和低温冲击功均表现出与拉伸强度相反的变化规律。首先,固溶态试样的室温和低温冲击功数值最大。随着时效温度的升高,试样的冲击韧性明显降低,在450℃时效时冲击功达到最低值。当时效温度升高到500℃及以上时,冲击韧性又有所提高。在500℃时效试样的室温和低温冲击功分别为209 J和69 J。

图1 时效温度对实验钢力学性能的影响
2.2 低温冲击断口的形貌
图2给出了试样低温冲击断口的微观形貌。观察350℃时效态试样断口(图2a),可见其呈现出明显的韧性断裂特征,在断口上分布着大量的等轴状韧窝。这表明,试样在断裂时发生了剧烈的塑性变形,并吸收了较多裂纹扩展能,宏观上表现出良好的低温冲击韧性。当时效温度升高到400℃时,如图2b所示,韧窝数量减少且变浅,并出现撕裂棱和少量解理面,表明在该条件下冲击韧性有所衰减。在450℃时效试样断口(图2c)上基本没有韧窝而是出现了大量的解理面,在解理面内可观察到河流状花样,表现出明显的准解理断裂特征,这种试样的低温冲击功也是最低的。从图2d可见,在500℃时效试样的断口上又出现明显撕裂棱和韧窝群,说明低温冲击韧性出现回升。与500℃时效的试样相比,在550℃时效试样的断口(图2e)上韧窝所占的面积增加且尺寸增大,解理平面减少,韧性断裂特征较为明显。上述实验结果表明,随着时效温度的升高试样的低温冲击韧性先减弱后增强,与图1c给出的-196℃冲击功的测试结果一致。

图2 时效温度不同的实验钢的低温冲击断口形貌
2.3 时效温度对组织的影响
2.3.1 XRD物相分析
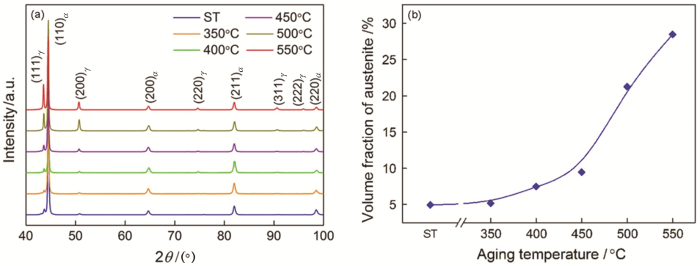
为了分析时效温度组织对力学性能的影响,图3给出了固溶态和在不同温度时效试样的XRD图谱和奥氏体相体积分数计算结果。由图3a可见,固溶态试样基体为BCC结构马氏体,并出现了(111)γ衍射峰,说明固溶处理后奥氏体相未完全转变,基体中保留了部分残余奥氏体,体积分数为5%。在时效温度低于500℃的试样的衍射谱中,两相特征衍射峰的位置和强度没有明显的变化。图3b表明,试样中奥氏体相的体积随着时效温度的升高而略有增加,体积分数为5%~10%。但是,当时效温度升高到500℃时,从图3a可见(111)γ峰明显增强,并出现(200),(220),(311)及(222)等奥氏体特征衍射峰,说明试样中的奥氏体相明显增加。计算结果表明,在该温度时效的试样基体中的奥氏体含量达到21%,比固溶态增加5倍以上。这表明,在500℃时效的试样中,马氏体基体发生显著的逆转变,生成了大量的逆变奥氏体。时效温度为550℃的试样奥氏体特征衍射峰强度均增强,体积分数进一步增加到28%。

图3 固溶态和在不同温度时效试样的XRD图谱和奥氏体的体积分数
2.3.2 00Cr12Ni10MoTi钢的微观组织
图4给出了固溶态和500℃时效态试样的OM和SEM微观组织形貌。从图4a可见,固溶态试样的基体为典型板条马氏体结构。由于固溶温度为750℃,晶粒尺寸未发生明显的变化,原奥晶界并不清晰。从图4b可见,在奥氏体晶粒内部分布着若干马氏体区域,尽管不同区域之间存在位向差,但是区域边界并不明显。同时,马氏体区域内板条的边界也不清晰,如图中箭头所示。由于分辨率有限且残余奥氏体含量较少,从图4a~b中并不易辨别出该相。在500℃时效处理后板条马氏体发生明显的回复,区域之间的衬度变弱但是仍能看出板条束的方向性,如图4c所示。在图4d中可清晰观察到马氏体板条轮廓,但是大部分板条已分解并在长度方向上不连续分布,板条的间距也随之增大。根据500℃时效试样的XRD结果分析,该现象可能与马氏体板条界或原奥晶界上基体中存在较多的新生奥氏体相有关,其形成必然“侵蚀”周围的马氏体,从而产生上述板条分布特征。另外,在板条束边界上逐渐形成一些亮白色“链状”区域,如图4d中箭头所示,这些区域的形成可能与马氏体分解过程中碳元素在板条界的富集有关[12]。

图4 00Cr12Ni10MoTi钢试样的微观组织
2.3.3 逆转变奥氏体的形成
500℃时效态试样兼具强韧性,与在该温度下基体的组织有密切的关系。首先,通过EBSD表征了固溶态和500℃时效态试样的相组成和分布。由图5a可知,在750℃固溶处理后马氏体板条界和原奥氏体晶界处均存在残余奥氏体(图5b),其尺寸和外形各异,且分布不均匀,平均宽度小于2 μm。在500℃时效后基体中分布着大量长条和块状奥氏体,其尺寸和数量均比固溶态的大。这表明,在该温度下马氏体发生了明显的逆转变,奥氏体化元素的扩散和富集促进了逆变奥氏体相在马氏体板条界形核长大,并逐渐取代周围的马氏体组织,原板条束被分割使其间距增大。该结果佐证了图4d中马氏体板条的形貌特征。

图5 不同状态实验钢的EBSD结果
逆变奥氏体为韧化相,可钝化裂纹或使其分叉、转向,从而提高材料的韧塑性[13,14]。本文的结果表明,尽管在基体中有较多的逆变奥氏体,但是低温冲击韧性和及室温拉伸塑性的提高有限。从图5b可见,部分逆变奥氏体呈块状连续分布。这种形貌相尺寸较大而不能有效抑制裂纹扩展,但是分布在马氏体板条间的条带状奥氏体能缓解位错前端应力集中并改善材料的韧性[15,16,17]。上述结果表明,在500℃时效过程中逆变奥氏体的形成是图1c中试样冲击功回升的主要原因。
2.3.4 析出相的表征
为了分析析出相对实验钢的强化,图6给出了固溶态和500℃时效态试样的TEM结果。从图6a可见,固溶态试样基体为具有高密度位错的板条马氏体,说明固溶态试样主要依靠马氏体相变和高合金元素固溶强化。在500℃时效后,如图6b所示,马氏体板条内的亚结构发生转变,位错重新排列,总体位错密度减少,形成位错胞结构,马氏体板条界融合并沿板条边界生成了长条形逆变奥氏体,其宽度小于200 nm。在这种细小逆变奥氏体相中Ni元素的富集,提高了热稳定性从而使其低温冲击韧性良好[17]。进一步观察基体(图6c)可见,经回复后的马氏体板条内部分布有平直位错线,在其周围可观察到析出相。由于明场下析出相的衬度不明显,图6d给出了[011]M晶带轴上基体的暗场成像结果,并确定该析出相为棒状且弥散分布,长度为10~30 nm,直径小于5 nm。通过对图6e电子衍射花样标定可知,该析出相属于密排六方结构,a=b=0.831 nm,c=0.823 nm。根据图6f给出的衍射斑点示意图[18]可确认该析出相与马氏体基体的位向关系为:(011)M//(0001)p,[11?1]M//[112?0]p。参考图7所示实验钢的热力学平衡相图,在低于610℃时效,钢中会析出Ni3Ti金属间化合物,其晶格结构及与基体之间的位向均符合上述结果。据此可判断,η-Ni3Ti为本实验钢中主要的析出强化相。在拉伸过程中,这些细小弥散分布的析出相与位错发生交互作用,增大了位错运动的阻力,从而保证了实验钢的高强度。

图6 不同状态实验钢的TEM照片

图7 00Cr12Ni10MoTi钢的平衡相图
根据上述组织和性能的结果,这种实验钢在750℃固溶处理后得到低碳板条马氏体和少量残余奥氏体组织。合金组成中较多的Ni元素使螺型位错不易分解,从而保证交滑移的发生[1]。因此,固溶态试样具有良好的室温和低温冲击韧性,而室温强度较低。在时效过程中,过饱和固溶态马氏体基体中的合金元素易于偏聚、富集在位错及板条界等处。当这些位置的成分起伏达到析出相临界形核条件时析出相开始形核长大,呈高度弥散分布的纳米级析出相使材料得到强化[19,20]。当时效温度低于500℃时,强化效果受析出相生长动力学的限制,但是与固溶态相比,强度仍明显提高,这可能与在该过程中形成的细小Ni-Ti团簇有关[21]。当时效温度升高到500℃后,析出相明显长大并与基体存在共格关系,从而使强化效果最为显著。同时,该温度基体中生成大量的逆变奥氏体,从而在一定程度上弥补了析出相长大对冲击韧性的影响。当时效温度为550℃时,钢中形成了更多的逆变奥氏体,使强度明显降低。综上,在500℃时效不仅能最大程度地实现该实验钢的析出强化效应,而且逆变奥氏体的生成也保证了冲击韧性,从而使实验钢具有良好的强韧性能。
3 结论
(1) 随着时效温度的升高,00Cr12Ni10MoTi钢的室温拉伸强度先提高后降低,冲击韧性的变化规律与之相反。在500℃时效后试样的强度达到峰值,屈服和抗拉强度分别为1051 MPa和1081 MPa,对应的室温和低温(-196℃)冲击吸收功分别为209 J和69 J。
(2) 时效温度低于500℃时,马氏体基体的组织结构没有明显的变化,当时效温度升高到500℃及以上时,在马氏体基体中生成约20%的逆变奥氏体,分布在板条界的条带状奥氏体有改善冲击韧性的作用。
(3) 00Cr12Ni10MoTi钢的主要析出强化相为η-Ni3Ti,与基体的位向关系为(011)M//(0001)η,[11?1]M//[112?0]η。在500℃时效可最大程度地发挥η相的强化效果并实现逆变奥氏体的韧化,从而保证了实验钢的综合强韧性。
免责声明:本网站所转载的文字、图片与视频资料版权归原创作者所有,如果涉及侵权,请第一时间联系本网删除。
官方微信
《中国腐蚀与防护网电子期刊》征订启事
- 投稿联系:编辑部
- 电话:010-62316606-806
- 邮箱:fsfhzy666@163.com
- 中国腐蚀与防护网官方QQ群:140808414



