摘要
综述了埋地管线钢在管道外部环境中开裂机理的研究进展,总结了材料因素 (合金元素、显微组织、夹杂物) 、环境因素 (外加电位、pH、温度、侵蚀性离子) 和应力因素 (残余应力、载荷类型、应变速率) 对管线钢SCC行为和机理的影响规律,梳理了两类典型pH SCC机理的形成过程,讨论了经典裂纹扩展速率预测模型的先进性和局限性,最后针对研究存在的不足展望了埋地管线钢SCC未来的研究方向。
关键词: 管线钢 ; 应力腐蚀开裂 ; 土壤环境
作为现代文明的基石,钢铁材料在社会进步中发挥着重要作用。近年来,随着工业化的蓬勃发展,全球对油气资源的需求量日益增加,管线钢因其可靠性和经济性仍被广泛应用于石油天然气的输送。截至2019年底,中国共建成油气管道1.39×105 km,已经形成了东西相贯、南北相通的庞大管道运输网络[1]。而管线在其运作过程中不可避免地会发生腐蚀失效,对生命财产安全造成严重威胁[2]。目前,埋地管线钢大多采用涂层与外加电流阴极保护的联合手段进行防护,而当涂层发生破损剥落后,管线会直接与土壤介质环境相接触,并在阴极保护的作用下形成敏感的开裂环境,最终诱发管线发生应力腐蚀开裂 (SCC)。作为埋地钢质管线的主要破坏形式之一,土壤SCC在很多国家 (加拿大、前苏联、澳大利亚、巴基斯坦等) 发生过,造成了巨大的经济损失和人员伤亡。根据土壤SCC发生的介质特征,可将其分为两大类:高pH SCC和低pH SCC (近中性pH SCC和弱酸性pH SCC)。前者最早于1965年在美国被发现[3],由于这类失效均发生在浓的CO32-/HCO3-溶液中,介质pH通常为8~10.5,温度区间22~90 ℃,且表现为沿晶开裂 (IGSCC),常称之为高pH SCC或经典SCC。而后者是1985年在加拿大被首次报道[4,5],这类开裂多发生在涂层受损、剥离和多孔渗水处,且表现为穿晶开裂 (TGSCC),裂纹较宽且裂纹壁腐蚀明显,pH一般为6~8,故常称之为近中性pH SCC或非经典SCC。关于开裂机理,普遍认为高pH SCC的发生机理为阳极溶解 (AD) 机制,但其主要发生在阴保电位较负的条件下,是否存在氢脆 (HE) 机制仍存疑;低pH SCC一般认为是阳极溶解和氢脆 (AD+HE) 混合机制。目前,国际上已报道了大量有关埋地管线SCC的研究工作,但仍存在较多业界难题。首先,高pH下沿晶开裂及近中性pH下穿晶开裂的微观本质仍不清晰。其次,对基于力学-电化学协同机制的位错电化学行为与效应研究还不充分。另外,由于管线SCC成因和影响因素繁多,其裂纹扩展及寿命预测评价复杂且周期长,基于实际工况条件下的SCC快速评价技术及新型耐SCC钢种开发研究仍存在大量空白。
本文综述了埋地管线SCC在开裂机理、影响因素及裂纹扩展速率预测模型等方面的最新研究成果,总结了研究中的不足并对后续研究做了展望,以期为我国新型耐SCC管线钢的设计开发提供参考。
1 土壤应力腐蚀开裂机理
管线钢土壤高pH SCC案例最早于1965年被报道,其相关研究可追溯到上世纪70年代。文献[3]介绍了一起典型的澳大利亚天然气集输管线沿晶开裂案例。该管道M12线 (X52钢,管径200 mm,壁厚6.9 mm) 采用聚氯乙烯涂层+阴极保护进行联合防护,但其服役未满6 a即发生了IGSCC (图1)。进一步分析发现,管线下底侧涂层存在大面积剥落,在阴极保护的作用下形成了以碳酸盐为主的高pH环境,最终在点蚀-应力腐蚀裂纹机制下诱发SCC,造成了严重后果。
图1 澳大利亚天然气集输管道M12线典型IGSCC案例[3]
目前,普遍认为Parkins定义了标准的高pH SCC实验环境:1 N Na2CO3+1 N NaHCO3,75 ℃,控制电位为-650 mVSCE。且国际上广泛采用的慢应变速率拉伸 (SSRT) 应力腐蚀评价方法便是他最先提出的。其最早基于C-Mn钢提出了SCC阳极溶解 (AD) 机制,并结合Faraday第二定律给出了AD机制下的裂纹扩展速率,提出了著名的“浴缸”模型并对第Ⅲ、Ⅳ阶段的寿命进行了定量预测[6]。而关于近中性pH SCC,有关其详细报道则晚了近20 a,其开裂机理经历了从AD到HE (Hydrogen embrittlement) 再到AD+HE混合机制的发展与演变。两类典型pH SCC特征见表1。经过数十年的室内外研究,目前关于两类典型pH环境中的开裂机理,业界已基本达成了共识。
表1 管线钢两类典型pH SCC特征比较[7]

1.1 高pH SCC机理
普遍认为高pH SCC的机理为AD机制[8,9]。关于高pH SCC表现为沿晶开裂的本质,传统观点认为IGSCC特征主要与晶界偏析及晶界处选择性溶解有关[10]。例如,Wu等[11]通过第一性原理计算认为P在晶界偏析可降低界面处的原子结合能,促进IGSCC。Yamaguchi等[12]基于密度泛函理论 (DFT) 研究了S的偏析对Fe晶界结合能的影响,认为S偏析可导致晶界的拉伸强度和结合能降低,并且相邻S原子之间的排斥力会引起较大的晶界膨胀,削弱了晶界结合力并诱发IGSCC微裂纹萌生。Kirchheim等[13]研究也肯定了晶界偏析的有害作用。
Wang等[14,15]利用高分辨扫描透射电子显微镜 (STEM) 研究了X52和X65钢的晶界成分,发现在珠光体与珠光体、珠光体与铁素体以及铁素体与铁素体的晶界上并无P、S偏析,这表明在IGSCC过程中,晶界的优先溶解与P、S的偏析无关。为进一步证实晶界是否存在C偏析,Atrens等[16]利用原子探针场离子显微镜 (APFIM) 分析表明,X70钢晶界处的C原子分数低于10%,不足以引起晶界处的电偶腐蚀并诱发IGSCC,这直接否定了IGSCC归因于晶界偏析的传统认识。并且,随着冶金技术进步,钢的纯净度不断提高,晶界偏析已难以产生,但仍观察到了管线钢在高pH环境中发生的IGSCC现象。因此,晶界偏析可能并非诱发IGSCC的本质原因。另外,Liang等[17]在碱性模拟土壤溶液中观察到了X80钢的穿晶开裂 (TGSCC) 现象,Song等[18]也观察到当外加电位低于-950 mVSCE时,X100钢在经典高pH溶液中发生了典型的氢脆失效。因此,单一地认为高pH SCC为AD机制存在明显不足,同时高pH环境并非发生IGSCC的充分条件。管线钢的开裂机理除受溶液介质影响外,可能还受外加电位等因素的影响。因此,有关管线钢高pH SCC的开裂本质仍有待进一步研究。
1.2 近中性pH SCC机理
近中性pH SCC机理经过了以下几种机制的演变。早期观点认为其仍为AD机制。Jack等[19]研究了414不锈钢在NS4溶液中的裂纹扩展行为,认为近中性pH SCC可能是AD机制。Gonzalez-Rodriguez等[20]研究认为X80钢在0.01N NaHCO3溶液中的SCC仍表现为AD机制,因为局部腐蚀 (AD) 可促进裂纹萌生。之后,有学者认为近中性pH SCC为HE机制。Rebak等[21]和Qiao等[22]较早证实了H进入金属中所产生的作用。Chen等[23]研究也表明HE将在裂纹萌生和初始生长AD机制之后发挥重要作用。而目前,逐渐发展形成了阳极溶解和氢脆 (AD+HE) 的混合机制。该机制认为AD控制着裂纹的萌生和早期扩展,而在裂纹萌生和长大之后,HE机制控制着裂纹的扩展过程。
在混合机制中,H促进阳极溶解型的SCC机制曾被广泛关注。Qiao等[24]最先基于热力学分析提出H促进阳极溶解模型,利用该模型描述了不锈钢中H对阳极溶解的促进作用,认为H与应力的协同作用加速了裂尖的阳极溶解。后来,Gu等[25]研究了X52钢及X80钢在近中性pH溶液中的SCC行为,认为扩散到裂尖的H促进了钢的阳极溶解并增大了SCC敏感性,即提出了基于管线钢的氢促进阳极溶解型的SCC机理模型。后来该模型受到了Lu等[26]的质疑,其团队结合理论分析和实验验证发现,在除氧的近中性模拟溶液中,溶解氢及外加应力的协同作用对管线钢活性溶解的影响基本可忽略不计,这直接否定了近中性pH SCC属于H促进阳极溶解型机制的传统观点。因此,H与阳极溶解及其之间协同作用关系还有待进一步澄清。
综上,虽然目前两类典型pH SCC的机理研究或有不足,例如高pH下的IGSCC是否与晶界偏析直接相关仍存疑,同时对于近中性pH下TGSCC的电化学差异性根源及本质仍缺乏深入解析。但利用AD或AD+HE机制来描述和揭示实际工况及模拟环境下的SCC行为规律仍具有科学性和普遍性。并且在此基础上,国内外研究者们以SCC的定义为出发点,研究了材料、环境及应力等因素对SCC行为的影响,获得了丰富可靠的SCC数据及规律。
2 埋地管线钢SCC影响因素
作为一类特殊的局部腐蚀,SCC的发生须满足敏感材料、特定的腐蚀介质和一定水平的拉应力3个必要条件[27]。一方面,材料中合金元素的组成及比例、显微组织物理及化学均匀性、夹杂物水平、M/A岛形态及数量以及晶界特征等因素都会影响管线钢的SCC敏感性。另一方面,埋地管线钢在不同酸碱度的地下水环境中均会发生SCC,同时其他外部条件如外加阴极保护电位、pH、充氢、温度及侵蚀性离子等都会增加介质敏感性和SCC倾向。再者,从断裂力学层面讲,只有当金属材料在特定腐蚀介质中所受的局部拉应力超过临界值 (σth或KIC) 时SCC才能发生,所以,一定水平的拉应力是诱发SCC的重要前提。因此,深入研究埋地管线钢SCC影响因素及其规律,对于腐蚀控制措施的制定及新型耐SCC管线钢的设计及开发意义重大。
2.1 材料因素
研究表明,管线钢的成分、显微组织、钢中的夹杂物及M/A岛的形态及数量等因素均会导致微区电化学差异性或促进局部应力应变集中,显著影响管线钢SCC敏感性。
Chung等[28]研究了奥氏体不锈钢在沸水堆 (BWR) 中的SCC行为,发现适当Ni的添加对抑制SCC有利,晶界Si浓度的增加可有效降低IGSCC发生概率,而V在晶界偏析会增大SCC敏感性。Parkins等[29]系统研究了Al、Cr、Cu、Ni、Mo、Si及Ti的添加对铁素体钢在硝酸盐溶液、碳酸盐/碳酸氢盐溶液中SCC行为的影响,发现在不同的溶液中,元素添加对SCC的影响不尽相同,但主要通过影响钢的溶解及钝化行为而发挥作用,并且Cr和Ti对提高SCC抗性最为有利,而Mn、S等有害元素却能促进SCC发生[30,31]。
Dong等[32]利用电化学充氢研究了显微组织对X70钢氢致开裂裂纹形核的影响,发现微裂纹基本沿多边形铁素体与基体界面形核并扩展,而针状铁素体可有效降低SCC裂纹形核概率。Bulger等[33]研究了不同热处理状态下的X70钢在近中性pH溶液中的SCC行为,表明与铁素体+珠光体组织相比,细粒状贝氏体+铁素体的显微组织具有更高的强度和SCC抗性。Liu等[34]研究了X70钢在鹰潭酸性土壤模拟溶液中的SCC行为,表明正火和淬火组织因贝氏体含量较高而具有较高的SCC敏感性,而铁素体含量较高热轧组织表现出低的SCC敏感性。Gonzalez-Rodriguez等[20]认为在0.01 mol/L NaHCO3溶液中,X80钢的淬火及淬火回火组织较其原始组织有更大的SCC敏感性。
另外,焊接热影响区 (HAZ) 因受极端温度梯度的影响,晶粒粗化且组织均匀性较差,其与母材 (BM) 在成分和微观结构上的微小差异会导致形成腐蚀微电偶,从而增大SCC敏感性。Li等[35]研究了X100管线钢HAZ组织在酸性溶液中SCC行为,表明粗大的贝氏体板条促进了裂纹扩展,而针状铁素体和准多边形铁素体会钝化裂纹尖端,降低SCC敏感性。特别地,在焊接热影响区,随距离焊缝的位置发生变化,HAZ组织会有明显差异,其SCC敏感性也不尽相同。Li等[36]研究了外加电位对E690钢基材 (BM) 及不同热影响区 (粗晶粒热影响区CGHAZ、细晶粒热影响区FGHAZ、临界热影响区ICHAZ) 组织在模拟海水溶液中SCC行为的影响,表明基体金属与热影响区组织的SCC敏感性存在较大差异:在开路电位下,其SCC敏感性顺序为FGHAZ<ICHAZ<BM<CGHAZ;当电位负移至-850 mVSCE时,由于氢脆作用的加强,HAZ与基体组织的SCC敏感性均明显增加,并且HAZ组织的SCC敏感性明显高于基体金属。这表明HAZ组织对氢脆十分敏感,其在较低的外加电位下会表现出高的SCC敏感性。
Kim等[30]研究表明,钢中长条状MnS夹杂导致SCC微裂纹易于沿其与基体的界面形核并扩展,增大SCC敏感性。同时,Williams等[37]研究表明,MnS夹杂物的优先溶解会进一步诱发点蚀萌生。通常可通过Ca处理形成球形CaS以消除或减轻S的有害作用。但Elboujdaini等[38]研究表明,X65钢中的球形CaS夹杂在模拟NS4溶液中容易发生溶解形成点蚀坑,进一步诱发SCC裂纹形核与扩展,并不能有效降低SCC敏感性。因此,通过Ca处理得到球形CaS虽有助于降低应力集中,但无法完全避免开裂的发生,推测可能与夹杂物同基体的电化学活性差异有关。Liu等[39]研究了夹杂物对X70管线钢在酸性土壤溶液中SCC裂纹萌生的影响,观察到微裂纹沿富Al夹杂物与基体之间的界面处形核并扩展 (图2a)。Jin等[40]结合局部电化学阻抗技术 (LEIS) 研究表明,Al2O3夹杂相对于基体为阴极相,导致基体发生优先溶解并诱发裂纹形核。因此,夹杂与基体间由于电化学差异性而引发的微电偶效应可能是诱发微裂纹形核的重要原因。另外,Liou等[41]研究表明,细小弥散的Ti(C,N) 沉淀相抑制了夹杂物-界面处的氢偏析,极易诱发氢致裂纹形核。Dong等[42]利用电化学氢渗透测试研究了充氢行为对X100钢氢致开裂敏感性的影响,研究表明微裂纹主要在Al2O3、TiO等夹杂处形核 (图2b)。

图2 管线钢中夹杂物及显微组织对SCC微裂纹萌生及扩展的影响[30,32,39]
除夹杂物外,在X80、X90及X100等高强管线钢中,会出现一定数量的M/A岛,其形态和数量对SCC裂纹形核与扩展也有重要影响。Kim等[30]利用电化学氢渗透测试研究了X70钢的氢致裂纹形核,观察到氢致裂纹主要沿BF及M/A岛与基体界面附近扩展 (图2c和d),这与此类结构同基体间的力学或电化学活性差异有关。一方面,BF与M/A岛均为高碳组织,相对于基体为阴极相,由于腐蚀微电偶效应会诱发HIC裂纹沿其与基体的界面处形核并扩展。另一方面,BF及M/A岛相对基体为硬质相,其与基体毗邻区易形成应力集中而诱发裂纹形核。
晶界结构特征也会影响SCC敏感性。Arafin等[43]利用电子背散射衍射技术 (EBSD) 研究了晶界特征对X65钢IGSCC的影响,认为小角度晶界及特殊的重合位置点阵晶界会抑制IGSCC裂纹扩展,而大角度晶界恰恰相反。这与不同类型晶界能量的相对大小有关。
最后,钢的表面状态、表面膜性质都会对SCC行为产生重要影响。Wang等[44]研究了X65钢在3种不同表面处理情况下的SCC形核过程,认为原始表面较抛光表面有更低的SCC临界应力。Park等[45]利用磨擦电极技术研究了膜的钝化特性对X65管线钢低pH SCC的影响,表明随溶液pH降低、Cl-相对含量增多,钝化膜的溶解穿孔会最终诱发TGSCC。
2.2 环境因素
作为影响SCC的重要因素之一,外加电位、溶液pH、充氢及温度等环境因素为SCC的发生创造了电化学反应条件,极大地影响着SCC行为及其开裂机制。
Wang等[46]早期研究表明,管线钢在近中性pH值溶液中的SCC机制与外加电位紧密相关。当外加电位在-500~-700 mVSCE时,SCC受AD机制控制;当外加电位低于-800 mVSCE时,HE控制着开裂过程。张亮等[47]研究表明,当施加强阳极电位时,X70钢在库尔勒土壤模拟溶液中的SCC表现为AD机制;而施加阴极电位时,表现为HE机制下的脆性断裂。Liu等[34,48]结合慢应变速率测试 (SSRT)、动电位快慢扫极化曲线和表面分析技术,研究了外加电位对X70管线钢在低pH值土壤模拟溶液中的SCC行为。表明随外加电位变化,SCC机制存在差异:当外加电位高于某一临界电位时 (X70钢,-700 mVSCE),SCC受AD机制控制;当外加电位低于某一临界电位时 (X70钢,-1000 mVSCE),SCC受HE机制控制;当外加电位处于二者之间时,管线钢处于非稳态过程,在此电位范围内,管线钢发生阳极溶解并促进开裂过程,SCC受AD和HE共同控制。目前,外加电位影响SCC机制的观点已被众多学者所接受。
Park等[44]在碳酸氢盐溶液中研究了氧化膜钝性对X65钢低pH SCC的影响。表明随溶液pH下降会导致稳定钝化区变窄和出现较低的破钝电位。在低pH溶液中,由于Cl-的侵蚀作用,表面膜的再钝化率相对较低而点蚀生长速率较高,易通过点蚀-应力腐蚀裂纹过渡机制形成TGSCC。而在pH相对较高时 (pH9.55),在成膜早期形成了保护性良好的FeCO3膜,最终在滑移-溶解机制下发生晶界优先溶解而引发IGSCC。
Gu等[25]研究了X52钢在近中性pH溶液中的SCC行为,认为充氢可促进阳极溶解并增大SCC敏感性。Dong等[42]认为充氢可增大X100钢的氢致开裂敏感性。Cheng等[49-52]对X70钢在近中性pH SCC开展了大量研究表明充氢能够增强钢的局部阳极溶解速率,进而增大SCC敏感性,但充氢不会改变X70钢的电化学腐蚀机理。Chen等[53]研究表明,管线表面的高浓度扩散氢对穿晶裂纹扩展起到了关键作用。
裂纹尖端局部区域的介质条件变化也会显著影响SCC裂纹扩展速率及其敏感性。作为一个狭窄的半封闭区间,裂尖介质环境与电解质溶液本体有明显差异。特别地,金属阳极溶解后的水解会导致裂尖明显酸化,显著影响SCC裂纹形核及扩展。Li等[54]在外加阴极电位下研究了裂尖介质环境改变对E690钢在模拟海水中SCC裂纹扩展速率的影响,表明随外加阴极电位的降低,裂纹扩展速率呈先降低后增大的变化趋势。结合扫描电子显微镜及电子背散射衍射进一步分析认为:随外加电位降低,阴极析氢升高了裂尖局部pH,AD机制的作用受到抑制,裂纹扩展速率降低。而随阴极电位的继续降低,阴极析氢明显加快,氢脆机制开始控制着整个SCC过程,裂纹扩展速率随即增大。
升高温度使IGSCC敏感电位负移并加宽了敏感电位范围,促进了IGSCC[55]。溶解氧含氧量较低时,致密的腐蚀产物膜可在一定程度上降低SCC风险[56]。张亮等[57]认为溶液中侵蚀性的Cl-在钝化膜表面吸附,使钝化膜发生破裂,加速了SCC过程。另外,Eadie等[58]研究表明添加1%H2S可使X70钢在近中性pH值溶液中的裂纹扩展速率显著提高。
2.3 应力因素
埋地管线所受应力主要包括运作或装配过程的工作应力、焊接或热处理过程的残余应力、腐蚀产物膜产生的膜致应力以及表面缺陷导致的应力集中,其均会对SCC行为产生明显影响。
Chen等[59,60]利用中子衍射技术,研究了残余应力对管线钢在近中性pH溶液中点蚀或SCC裂纹形核及扩展的影响。表明具有残余压应力的表面几乎不出现点蚀或全面腐蚀。并且对于长期测试,平均裂纹扩展速率会随残余应力水平的提高而增大。
SCC的发生需要的最小应力 (或应力强度因子),称为阈值应力σth (阈值应力强度因子KISCC)。只有当应力超过σth (或KISCC) 时才会发生SCC,当应力低于其阈值时,裂纹会继续萌生但无法继续向前扩展[61]。文献[62,63]研究表明,应力波动、管线表面电位、管线表面状态及使用经历以及环境介质等都会对具体情况下的σth产生重要影响[62,63]。相对于静载荷,动载荷或循环载荷对于裂纹的加速扩展十分有效,但其不是裂纹萌生和扩展的必要条件,静载荷下也能发生SCC裂纹的形核与扩展[64]。
裂尖应变速率对管线纲SCC裂纹扩展有重要影响。Serebrinsky等[65]研究表明,裂纹扩展速率随应变速率单调增加,且IGSCC扩展速率较TGSCC增加快。Ford[66]认为IGSCC扩展速率决定于裂纹尖端的应变速率与再钝化速率的竞争。Liu等[67]运用局部附加电位模型研究了应变速率对X70钢在酸性土壤溶液中SCC的影响,认为材料表面存在的缺陷 (如位错露头、滑移台阶) 会在应变过程中产生局部附加电位,其通过加速阴阳极过程而影响管线钢SCC敏感性。当应变速率在一定的范围内时 (如0~1.0×10-6 s-1),应变速率增加能明显增大阴极析氢电流密度,并促进H向金属晶格中的渗透扩散。但当应变速率增大至1.0×10-6 s-1时将导致出现阴极极限扩散电流,之后随应变速率继续增大,阴极析氢电流密度逐渐降低。进一步分析发现,当应变速率较大时,位错露头运动太快,反应物不能在阴极稳定吸附导致电化学活性降低而抑制了阴极析氢。可以看出,局部附加电位模型是联系力学-电化学参数的有效桥梁与纽带,是进一步解析SCC过程中力学-电化学协同效应的重要理论基础。
理论研究以工程实践为基础和前提,同样旨在更好地服务于工程应用,这样才能为国民经济贡献力量。在获悉SCC机理及其相关因素影响规律的基础上,结合断裂力学及腐蚀电化学等相关理论,通过建立SCC裂纹扩展速率 (CGR) 预测模型,可在一定程度上评估预测管线的服役寿命,其对SCC理论及工程应用研究具有重要意义。因此,下文将简要梳理埋地管线典型的裂纹扩展速率模型。
3 SCC裂纹扩展速率模型
Parkins[8,68,69]最早研究了C-Mn钢在典型高pH模拟溶液中的SCC行为。并结合裂纹尖端应变速率对SCC的影响提出了基于滑移-溶解模型下的裂纹扩展速率方程:
(1)
式中,CV为裂纹扩展速率;Qf为一个膜破裂周期内的溶解电荷密度;为裂纹尖端应变速率;εf为膜破裂应变;M为原子质量;z为溶解金属化合价;F为Faraday常数;ρ为金属密度。
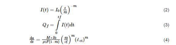
上述方程的提出为后期裂纹扩展速率模型的建立奠定了基础,但却未给出Qf的具体计算式。文献[66,70,71]对Parkins提出的裂纹扩展速率模型进行了完善,提出了Ford-Andresen模型。该模型认为,金属或合金在高温高压水溶液中的SCC属于AD机制下的滑移-溶解模型。并结合Qf的定义式 (公式 (2)、(3)) 提出了基于滑移-溶解模型下的裂纹扩展速率:

式中,I(t) 为新鲜金属表面成膜过程中的溶解电流密度,表征膜的再钝化特征;tf为氧化膜机械破裂的周期;m代表成膜过程中的电流密度衰减指数。
由式 (4) 可以看出,Ford-Andresen模型采用的力学参量为裂尖应变速率,而裂尖应变速率在当时不易直接获得,因此Shoji等[73-75]考虑了裂纹扩展条件下应变强化材料裂尖应力应变场,结合Gao等[72]早期提出的塑性裂纹尖端应变方程,提出了Shoji模型。
(5)
式中,为裂纹扩展速率;β、λ为常数;n为应变强化指数;E为Young's模量;
为应力强度因子变化率;
为距裂尖的距离。该模型给出了CGR与裂尖氧化膜及裂尖应变速率之间的定量表达,但该模型未考虑裂纹尖端蠕变等过程的影响,且计算解析困难,其实际应用仍存在较大困难。
以上涉及的裂纹扩展模型主要关注裂尖的化学与电化学条件,大多集中于不锈钢领域,而对埋地管线钢的裂纹扩展速率研究相对较少。在此背景下,Cheng等[76]综合考虑了管线钢在脱氧、近中性pH溶液中的电化学反应,建立了基于近中性pH下裂纹尖端氢、应力和阳极溶解相互作用的裂纹扩展速率定量表达式:
(6)
式中,CGR (σ,H=0) 为不受H影响的裂纹扩展速率;kH、kσ、kHσ分别为H、应力及其协同效应对阳极溶解的影响因子,kΔCH为应力钢和非应力钢中H原子浓度差对阳极溶解反应的影响。
Cheng等[76]利用该模型发现H与应力的协同作用通过改变钢的自由能来促进裂纹扩展。此外,应力钢中H浓度对裂纹扩展有显著影响。该模型可在一定条件下实现对管线钢裂纹扩展速率的定量预测。
Song等[77]建立了一个基于数学模型的方法,用于研究管线钢在高pH环境中的裂纹扩展速率 (CGR) 及裂尖介质条件变化。其工作涉及利用两种方法来预测CGR,其区别在于确定裂纹尖端的活性阳极电流密度。在第一种方法中,裂尖电流是基于阳极极化曲线中的电流峰值计算得出。而第二种方法则是基于Butler-Volmer方程来获取裂尖阳极电流密度。基于该模型下的CGR预测方法,定性地揭示了裂尖条件 (电位、pH、溶液电阻率、离子浓度等) 对CGR的影响。但该模型未考虑裂尖应变的影响,获得的数据同实际测量值偏差较大,这也是该模型的不足之处。
在认识到循环载荷在管线钢SCC中的重要性,又提出了近中性pH SCC裂纹扩展速率的“线性叠加”模型[78,79]。该模型将裂纹扩展分为与时间相关的SCC裂纹扩展速率项和与循环载荷相关且取决于应力强度因子变化量 (ΔK) 的疲劳项:
(7)
式中,为总的裂纹扩展速率;
为载荷波动引起的裂纹扩展速率,贡献值一般较小,可忽略;
为SCC导致的裂纹扩展速率,其为CGR的主要贡献项;另外,a为裂纹长度,N为循环次数,f为循环频率。其中,疲劳项由Paris方程[80]表示为:
(8)
式中,C和m为经验系数。该模型用于预测著名Parkins“浴缸”模型的阶段III和阶段IV裂纹扩展速率,并考虑了随裂纹深度增加而发生的裂纹聚合、应力强化和裂纹加速扩展等效应。该模型具有一定的理论意义,但要较精确地用于管线钢裂纹扩展速率预测,还需作大量的改进。
综上,目前管线钢CGR预测主要基于实验室模拟测试及现场检测得到的经验公式,还没有一套完备、便捷的快速预测评价体系。因此,在后期SCC研究中,尝试从更微观的尺度解析裂纹萌生机制,或开发一种能够实时监测裂纹形核位置及裂纹形态信息的原位测量装置,对于更加精确、快速地评价SCC裂纹扩展速率及SCC敏感性具有重要意义。
4 展望
目前,虽获得了各类管线钢在不同介质条件下的SCC数据及影响规律,但仍有不足之处。
首先,埋地管线钢在两类典型pH值溶液中的开裂机理研究还不充分。利用晶界偏析理论解释高pH下的IGSCC仍有不足。同时,近中性pH值下为何表现为穿晶开裂的本质仍不清晰。但可以肯定的是,SCC是否表现为沿晶或穿晶,很大程度上与管线钢在具体溶液中晶粒和晶界区的电化学差异性有关。即存在某种参数条件使得晶粒相对于晶界为阳极或者阴极,最终由于微电偶作用而引发穿晶或沿晶开裂。但对于导致形成这种电化学活性差异的根源,还未有定论。
其次,力学-电化学协同机制解析仍有不足。研究表明充氢能够增强钢的局部阳极溶解进而增大SCC敏感性,但却无法改变电化学腐蚀机理。早期提出的H促进阳极溶解型的SCC机制也被证明不成立。到目前,H对阳极溶解的电化学本质或其与应力之间的化学-电化学效应如何具体影响阳极溶解及SCC机制仍不清晰。近年来,已有学者通过原子探针层析成像 (APT) 技术观察到了H在晶界、位错和碳化物沉淀等处富集的现象,这对进一步研究氢在SCC过程的致脆机理或能有所裨益。
最后,裂纹扩展速率模型及快速评价手段研究仍有不足。从早期的Parkins模型到Ford-Andresen模型,再到后期的Shoji模型,可以看出,此类模型考虑的因素主要涉及阳极溶解、膜破裂应变、裂尖应变及应变速率、应力场强度因子及其变化率以及材料屈服强度和应变硬化等,且部分参数的获取和解析相对困难,现存的模型也不能做到全寿命周期的准确预测。更重要的是,到目前还没有一种适合于多体系、多介质的通用模型。现存的SCC敏感性及寿命预测评价技术成本相对较高且周期长,不太适合于大规模、全周期的在线检监测,这也是目前困扰业界的一大难题。
综上,对于未来的SCC行为与机理研究,以下方向与思路或可作为部分参考。
(1) 利用第一性原理计算或引入量子电化学理论进一步解析SCC穿晶/沿晶开裂的本质,为新型耐SCC管线钢的开发提供微纳米尺度上理论指导。
(2) 将局部附加电位模型 (LAPM) 和Parkins早期提出的动电位快慢扫极化曲线方法引入到预测模型及快速评价体系中去,并结合Liu等提出的非稳态电化学理论寻找理论和技术上的突破,这对新型耐SCC钢的设计开发或有所裨益。
(3) 基于埋地管线钢SCC影响因素的综合性和复杂性,管线钢SCC的预防与控制仍面临严峻挑战。目前还很难找到一种稳定且有效的抑制SCC的手段,大多是临时性的或都存在潜在风险。因此,唯有从材料组织结构出发,设计开发新型耐SCC钢种并结合有效的防护手段,才能从源头抑制SCC事故的发生。其可行的思路有:通过恰当的合金元素匹配并结合先进的合金冶炼制备工艺 (如TMCP) 等设计、制备出细小均匀抗开裂的新型合金,进而降低SCC敏感性;通过改进钢铁冶炼工艺调控夹杂物含量及分布,进而提高SCC抗力;利用晶界工程制备出更多的小角度晶界或重合位置点阵晶界,通过改善裂纹尖端应力应变状态进而抑制裂纹的扩展。
参考文献
1 Gao P, Gao Z Y, Liu G R. New progress in China's oil and gas pipeline construction in 2019 [J]. Int. Petrol. Econ., 2020, 28(3): 52
1 高鹏, 高振宇, 刘广仁. 2019年中国油气管道建设新进展 [J]. 国际石油经济, 2020, 28(3): 52
2 Li X G, Zhang D W, Liu Z Y, et al. Materials science: Share corrosion data [J]. Nature, 2015, 527: 441
3 Kentish P J. Gas pipeline failures: Australian experience [J]. Br. Corros. J., 1985, 20: 139
4 Parkins R N, Blanchard W K, Delanty B S. Transgranular stress corrosion cracking of high-pressure pipelines in contact with solutions of near neutral pH [J]. Corrosion, 1994, 50: 394
5 Sridhar N, Lichtner P C, Dunn D S. Evolution of environment under disbonded coating on cathodically protected pipeline-preliminary modeling and experimental studies [A]. Corrosion /1998 [C]. Houston, Texas, 1998: 680
6 Parkins R N. The application of stress corrosion crack growth kinetics to predicting lifetimes of structures [J]. Corros. Sci., 1989, 29: 1019
7 Public inquiry concerning stress corrosion cracking on Canadian oil and gas pipelines: report of the inquiry [R]. National Energy Board, No: MH-2-95, Canada, 1996
8 Parkins R N. Current topics in corrosion: factors influencing stress corrosion crack growth kinetics [J]. Corrosion, 1987, 43: 130
9 Pikey A K, Lambert S B, Plumtree A. Stress corrosion cracking of X-60 line pipe steel in a carbonate-bicarbonate solution [J]. Corrosion, 1995, 51: 91
10 Parkins R N. Mechanistic aspects of intergranular stress corrosion cracking of ferritic steels [J]. Corrosion, 1996, 52: 363
11 Wu R, Freeman A J, Olson G B. First principles determination of the effects of phosphorus and boron on iron grain boundary cohesion [J]. Science, 1994, 265: 376
12 Yamaguchi M, Shiga M, Kaburaki H. Grain boundary decohesion by sulfur segregation in ferromagnetic iron and nickel—a first-principles study [J]. Mater. Trans., 2006, 47: 2682
13 Kirchheim R. Reducing grain boundary, dislocation line and vacancy formation energies by solute segregation: II. Experimental evidence and consequences [J]. Acta Mater., 2007, 55: 5139
14 Wang J Q, Atrens A, Cousens D R, et al. Measurement of grain boundary composition for X52 pipeline steel [J]. Acta Mater., 1998, 46: 5677
15 Wang J Q, Atrens A, Cousens D R, et al. Microstructure of X52 and X65 pipeline steels [J]. J. Mater. Sci., 1999, 34: 1721
16 Atrens A, Wang J Q, Stiller K, et al. Atom probe field ion microscope measurements of carbon segregation at an α:α grain boundary and service failures by intergranular stress corrosion cracking [J]. Corros. Sci., 2006, 48: 79
17 Liang P, Du C W, Li X G, et al. Effect of hydrogen on the stress corrosion cracking behavior of X80 pipeline steel in Ku'erle soil simulated solution [J]. Int. J. Miner. Metall. Mater., 2009, 16: 407
18 Song L F, Liu Z Y, Li X G, et al. Characteristics of hydrogen embrittlement in high-pH stress corrosion cracking of X100 pipeline steel in carbonate/bicarbonate solution [J]. Constr. Build. Mater., 2020, 263: 120124
19 Jack T R, Wilmott M J, Sutherby R L. Indicator minerals formed during external corrosion of line pipe [J]. Mater. Perform., 1995, 34: 19
20 Gonzalez-Rodriguez J G, Casales M G, Salinas-Bravo V M, et al. Effect of microstructure on the stress corrosion cracking of X-80 pipeline steel in diluted sodium bicarbonate solutions [J]. Corrosion, 2002, 58: 584
21 Rebak R B, Xia Z, Safruddin R, et al. Effect of solution composition and electrochemical potential on stress corrosion cracking of X-52 pipeline steel [J]. Corrosion, 1996, 52: 396
22 Qiao L J, Luo J L, Mao X. Hydrogen evolution and enrichment around stress corrosion crack tips of pipeline steels in dilute bicarbonate solution [J]. Corrosion, 1998, 54: 115
23 Chen W, King F, Vokes E. Characteristics of near-neutral-pH stress corrosion cracks in an X-65 pipeline [J]. Corrosion, 2002, 58: 267
24 Qiao L J, Mao X. Thermodynamic analysis on the role of hydrogen in anodic stress corrosion cracking [J]. Acta Metall. Mater., 1995, 43: 4001
25 Gu B, Luo J L, Mao X. Hydrogen-facilitated anodic dissolution-type stress corrosion cracking of pipeline steels in near-neutral pH solution [J]. Corrosion, 1999, 55: 96
26 Lu B T, Luo J L, Norton P R, et al. Effects of dissolved hydrogen and elastic and plastic deformation on active dissolution of pipeline steel in anaerobic groundwater of near-neutral pH [J]. Acta Mater., 2009, 57: 41
27 Fang B Y, Atrens A, Wang J Q, et al. Review of stress corrosion cracking of pipeline steels in “low” and “high” pH solutions [J]. J. Mater. Sci., 2003, 38: 127
28 Chung H M, Ruther W E, Sanecki J E, et al. Irradiation-assisted stress corrosion cracking of austenitic stainless steels: Recent progress and new approaches [J]. J. Nucl. Mater., 1996, 239: 61
29 Parkins R N, Slattery P W, Poulson B S. The effects of alloying additions to ferritic steels upon stress corrosion cracking resistance [J]. Corrosion, 1981, 37: 650
30 Kim W K, Koh S U, Yang B Y, et al. Effect of environmental and metallurgical factors on hydrogen induced cracking of HSLA steels [J]. Corros. Sci., 2008, 50: 3336
31 Domizzi G, Anteri G, Ovejero-García J. Influence of sulphur content and inclusion distribution on the hydrogen induced blister cracking in pressure vessel and pipeline steels [J]. Corros. Sci., 2001, 43: 325
32 Dong C F, Li X G, Liu Z Y, et al. Hydrogen-induced cracking and healing behaviour of X70 steel [J]. J. Alloy. Compd., 2009, 484: 966
33 Bulger J T, Lu B T, Luo J L. Microstructural effect on near-neutral pH stress corrosion cracking resistance of pipeline steels [J]. J. Mater. Sci., 2006, 41: 5001
34 Liu Z Y, Li X G, Du C W, et al. Stress corrosion cracking behavior of X70 pipe steel in an acidic soil environment [J]. Corros. Sci, 2008, 50: 2251
35 Li X D, Liu J H, Sun J B, et al. Effect of microstructural aspects in the heat-affected zone of high strength pipeline steels on the stress corrosion cracking mechanism: Part I. In acidic soil environment [J]. Corros. Sci., 2019, 160: 108167
36 Li Y, Liu Z Y, Fan E D, et al. Effect of cathodic potential on stress corrosion cracking behavior of different heat-affected zone microstructures of E690 steel in artificial seawater [J]. J. Mater. Sci. Technol., 2021, 64: 141
37 Williams D E, Kilburn M R, Cliff J, et al. Composition changes around sulphide inclusions in stainless steels, and implications for the initiation of pitting corrosion [J]. Corros. Sci., 2010, 52: 3702
38 Elboujdaini M, Revie R W. Metallurgical factors in stress corrosion cracking (SCC) and hydrogen-induced cracking (HIC) [J]. J. Solid State Electrochem., 2009, 13: 1091
39 Liu Z Y, Li X G, Du C W, et al. Effect of inclusions on initiation of stress corrosion cracks in X70 pipeline steel in an acidic soil environment [J]. Corros. Sci., 2009, 51: 895
40 Jin T Y, Liu Z Y, Cheng Y F. Effect of non-metallic inclusions on hydrogen-induced cracking of API5L X100 steel [J]. Int. J. Hydrogen Energy, 2010, 35: 8014
41 Liou H Y, Shieh R I, Wei F I, et al. Roles of microalloying elements in hydrogen induced cracking resistant property of HSLA steels [J]. Corrosion, 1993, 49: 389
42 Dong C F, Liu Z Y, Li X G, et al. Effects of hydrogen-charging on the susceptibility of X100 pipeline steel to hydrogen-induced cracking [J]. Int. J. Hydrogen Energy, 2009, 34: 9879
43 Arafin M A, Szpunar J A. A new understanding of intergranular stress corrosion cracking resistance of pipeline steel through grain boundary character and crystallographic texture studies [J]. Corros. Sci., 2009, 51: 119
44 Wang J Q, Atrens A. SCC initiation for X65 pipeline steel in the "high" pH carbonate/bicarbonate solution [J]. Corros. Sci., 2003, 45: 2199
45 Park J, Pyun S I, Na K H, et al. Effect of passivity of the oxide film on low-pH stress corrosion cracking of X65 pipeline steel in bicarbonate solution [J]. Corrosion, 2002, 58: 329
46 Wang Z F, Atrens A. Initiation of stress corrosion cracking for pipeline steels in a carbonate-bicarbonate solution [J]. Metall. Mater. Trans., 1996, 27A: 2686
47 Zhang L, Li X G, Du C W, et al. Effect of applied potentials on stress corrosion cracking of X70 pipeline steel in simulated Ku'erle soil [J]. J. Chin. Soc. Corros. Prot., 2009, 29: 353
47 张亮, 李晓刚, 杜翠薇等. 外加电位对X70管线钢在库尔勒土壤模拟溶液中应力腐蚀开裂敏感性的影响 [J]. 中国腐蚀与防护学报, 2009, 29: 353
48 Liu Z Y, Lu L, Huang Y Z, et al. Mechanistic aspect of non-steady electrochemical characteristic during stress corrosion cracking of an X70 pipeline steel in simulated underground water [J]. Corrosion, 2014, 70: 678
49 Cheng Y F. Fundamentals of hydrogen evolution reaction and its implications on near-neutral pH stress corrosion cracking of pipelines [J]. Electrochim. Acta, 2007, 52: 2661
50 Cheng Y F, Niu L. Mechanism for hydrogen evolution reaction on pipeline steel in near-neutral pH solution [J]. Electrochem. Commun., 2007, 9: 558
51 Li M C, Cheng Y F. Mechanistic investigation of hydrogen-enhanced anodic dissolution of X-70 pipe steel and its implication on near-neutral pH SCC of pipelines [J]. Electrochim. Acta, 2007, 52: 8111
52 Zhang G A, Cheng Y F. Micro-electrochemical characterization of corrosion of welded X70 pipeline steel in near-neutral pH solution [J]. Corros. Sci., 2009, 51: 1714
53 Chen W, Kania R, Worthingham R, et al. Transgranular crack growth in the pipeline steels exposed to near-neutral pH soil aqueous solutions: The role of hydrogen [J]. Acta Mater., 2009, 57: 6200
54 Li Y, Liu Z Y, Fan E D, et al. The effect of crack tip environment on crack growth behaviour of a low alloy steel at cathodic potentials in artificial seawater [J]. J. Mater. Sci. Technol., 2020, 54: 119
55 Sutcliffe J M, Fessler R R, Boyd W K, et al. Stress corrosion cracking of carbon steel in carbonate solutions [J]. Corrosion, 1972, 28: 313
56 Yan M C, Weng Y J. Effects of temperature and stress on electrochemical behaviors of pipe steels in stress corrosion process [J]. Petrol. Eng. Constr., 2004, 30(3): 4
56 闫茂成, 翁永基. 温度和应力对管道钢应力腐蚀过程电化学行为的影响 [J]. 石油工程建设, 2004, 30(3): 4
57 Zhang L, Li X G, Du C W, et al. Effect of temperature on stress corrosion cracking behavior of X70 pipeline steel in alkali solution [J]. Mater. Mech. Eng., 2009, 33(6): 10
57 张亮, 李晓刚, 杜翠薇等. 温度对X70管线钢在碱性溶液中应力腐蚀开裂行为的影响 [J]. 机械工程材料, 2009, 33(6): 10
58 Eadie R L, Szklarz K E, Sutherby R L. Corrosion fatigue and near-neutral pH stress corrosion cracking of pipeline steel and the effect of hydrogen sulfide [J]. Corrosion, 2005, 61: 167
59 Van Boven G, Chen W, Rogge R. The role of residual stress in neutral pH stress corrosion cracking of pipeline steels. Part I: Pitting and cracking occurrence [J]. Acta Mater., 2007, 55: 29
60 Chen W, van Boven G, Rogge R. The role of residual stress in neutral pH stress corrosion cracking of pipeline steels-Part II: Crack dormancy [J]. Acta Mater., 2007, 55: 43
61 Chu W Y, Qiao L J, Chen Q Z, et al. Faults and Environmental Faults [M]. Beijing: Science Press, 2000
61 褚武扬, 乔利杰, 陈奇志等. 断裂与环境断裂 [M]. 北京: 科学出版社, 2000
62 Harle B A, Beavers J A. Technical note: low-pH stress corrosion crack propagation in API X-65 line pipe steel [J]. Corrosion, 1993, 49: 861
63 Li H L, Gao K W, Qiao L J, et al. Strength effect in stress corrosion cracking of high-strength steel in aqueous solution [J]. Corrosion, 2001, 57: 295
64 Zheng W Y, Bibby D, Li J, et al. Near-neutral pH SCC of two line pipe steels under quasi-static stressing conditions [A]. Proceedings of the 2006 International Pipeline Conference [C]. Calgary, 2006
65 Serebrinsky S A, Duffó G S, Galvele J R. Effect of strain rate on stress corrosion crack velocity: Difference between intergranular and transgranular cracking [J]. Corros. Sci., 1999, 41: 191
66 Ford F P. Quantitative prediction of environmentally assisted cracking [J]. Corrosion, 1996, 52: 375
67 Liu Z Y, Li X G, Du C W, et al. Local additional potential model for effect of strain rate on SCC of pipeline steel in an acidic soil solution [J]. Corros. Sci., 2009, 51: 2863
68 Parkins R N. Predictive approaches to stress corrosion cracking failure [J]. Corros. Sci., 1980, 20: 147
69 Parkins R N. Strain rate effects in stress corrosion cracking [J]. Corrosion, 1990, 46: 178
70 Andresen P L, Ford F P. Life prediction by mechanistic modeling and system monitoring of environmental cracking of iron and nickel alloys in aqueous systems [J]. Mater. Sci. Eng., 1988, 103A: 167
71 Andresen P L, Ford F P. Fundamental modeling of environmental cracking for improved design and lifetime evaluation in BWRs [J]. Int. J. Press. Vessels Pip., 1994, 59: 61
72 Gao Y C, Hwang K. Elastic plastic fields in steady crack growth in a strain hardening material [J]. Geochem. Int., 1981, 50: 330
73 Peng Q J, Kwon J, Shoji T. Development of a fundamental crack tip strain rate equation and its application to quantitative prediction of stress corrosion cracking of stainless steels in high temperature oxygenated water [J]. J. Nucl. Mater., 2004, 324: 52
74 Newman R C, Stability Healey C., validity, and sensitivity to input parameters of the slip-dissolution model for stress-corrosion cracking [J]. Corros. Sci., 2007, 49: 4040
75 Shoji T, Lu Z P, Murakami H. Formulating stress corrosion cracking growth rates by combination of crack tip mechanics and crack tip oxidation kinetics [J]. Corros. Sci., 2010, 52: 769
76 Cheng Y F. Thermodynamically modeling the interactions of hydrogen, stress and anodic dissolution at crack-tip during near-neutral pH SCC in pipelines [J]. J. Mater. Sci., 2007, 42: 2701
77 Song F M. Predicting the mechanisms and crack growth rates of pipelines undergoing stress corrosion cracking at high pH [J]. Corros. Sci., 2009, 51: 2657
78 Lambert S B, Beavers J A, Delanty B, et al. Mechanical factors affecting stress corrosion crack growth rates in buried pipelines [A]. Proceedings of the International Pipeline Conference [C]. New York, 2000: 961
79 Wei R P. Environmental considerations for fatigue cracking [J]. Fatigue Fract. Eng. Mater. Struct., 2002, 25: 845
80 Paris P, Erdogan F. A critical analysis of crack propagation laws [J]. J. Basic Eng., 1963, 85: 528
免责声明:本网站所转载的文字、图片与视频资料版权归原创作者所有,如果涉及侵权,请第一时间联系本网删除。
官方微信
《中国腐蚀与防护网电子期刊》征订启事
- 投稿联系:编辑部
- 电话:010-62316606-806
- 邮箱:fsfhzy666@163.com
- 中国腐蚀与防护网官方QQ群:140808414



