承压设备应力腐蚀寿命评估
01 断裂力学在压力容器应力腐蚀断裂及控制中的应用
断裂力学是研究带缺陷或裂纹材料和结构的强度以及裂纹扩展规律的一门学科。它建立于20世纪50年代后半期,半个多世纪以来,断裂力学发展迅速,其研究的内容越来越广、越来越深,已从力学扩展到物理化学等领域,并在承压设备应力腐蚀断裂、控制和寿命预测研究中得到应用。
我国上世纪70年代引入这一学科,由于它对机械工程的许多方面特别是关系到国家财产和人民生命安全的重大设备(如压力容器、压力管道、飞机、船舶、桥梁、原子能设备、电站设备、输气管线、火箭导弹等)的安全运行具有重大应用价值,现已广泛用于这些重大设备的安全设计、合理选材、用材指导、改进工艺、提高产品质量制定科学检验标准、正确评价结构的可靠性、防止事故等方面,具有重要的应用价值现。
①压力容器的设计。
安全设计方面,随着压力容器正日趋大型化、操作条件向高温、高压、高速发展,压力容器等设备如再继续沿用经典的强度理论进行强度及结构设计,已不适应设备要求。按传统强度理论及方法严格检验合乎要求的化工压力容器和输气管线等却在低应力状态下发生突然爆炸这样灾难性的事故,这引起了人们严重的关注。经大量研究发现,这些事故都与材料中存在缺陷有关。过去的经典强度理论是以材料是均质完整的物体的假设为前提,因这不符合实际的情况因而限制了它进一步发展。断裂力学却基于前述事实,首先承认构件或材料内部有缺陷或裂纹存在,进而研究裂纹尖端局部应力和变形的情况以及材料抗脆性断裂性能与裂纹之间的定量关系,从而确定带缺陷构件的承载能力。经研究发现裂纹尖端的应力应变场可由应力强度因子K描述,它可由计算得出。而结构发生脆断的条件是KI=KIC,KIC是材料在平面应变条件下裂纹发生失稳(快速)扩展时KI的临界值,称平面应变断裂韧性。实验还证明材料KIC值是材料固有的力学性能,因而它已成为材料性能的重要指标之一。应力腐蚀断裂是材料在特征介质中、在一定拉应力作用下而产生的典型低应力脆断,其发生的条件是KI=KISCC。KISCC被称为应力腐蚀临界应力强度因子。对于一定的材料和介质,KISCC为一常数,它反映了该材料在某介质中裂纹抵抗应力腐蚀扩展的能力,所以也称为应力腐蚀断裂韧性。通常以KISCC/KI比值作为衡量材料应力腐蚀断裂敏感性的指标,比值越小,说明对应力腐蚀断裂越敏感。设计压力容器时材料的KI须小于KISCC或KIC,使设计从过去的无限寿命设计改进为现在的破坏安全设计,如美国锅炉压力容器设计规范增加了防脆断设计一章。我国已在石油化工压力容器、核压力容器等产品上进行了断裂分析缺陷处理和改进设计、在役压力容器缺陷评定方面做了大量工作。
②指导合理选材用材。
过去传统的选材方法是强度设计法,即盲目追求强度,认为强度高的材料才能使结构轻巧、性能可靠。而从断裂事故的分析中,发现线弹性断裂在应力小于0.3倍的屈服强度时结构已破坏,这是因为材料的断裂韧性差,还没有用到设计强度时已经由于太脆而破坏了。断裂力学的指导使人们认识到选用材料既要注意强度,也要注意断裂韧性,当断裂韧性相同而强度不同时,选用强度高者可以延长使用寿命。
根据实际发生的破坏情况,可以将断裂划为如表4-68所示的几个类型。
表4-68 断裂类型对比
国内应用断裂力学原理指导选材用材方面,从20世纪70年代开始做了大量工作。为适应压力容器大型化及操作条件高温、高压、低温的要求,适应我国较为缺镍、铬的国情,开发了一批压力容器用普通低合金钢,如Q345R、15MnV、09MnCuTiRe等,既充分利用了国内资源,也在相当大程度上提高了压力容器用钢的强度和断裂韧性,使国产压力容器用钢提高了一个档次。
用爆炸焊接等方式生产复合板,把复层的高耐腐蚀性和基体金属的力学性能紧密结合起来,既节省贵重金属又保证压力容器安全运行。对压力容器用钢,用喷丸强化工艺提高疲劳寿命,用细化、超细化晶粒热处理工艺和降低钢中有害元素含量改进材料性能,以减少压力容器破坏事故的发生。
③改进制造工艺提高产品质量。
由于断裂力学的发展,使人们进一步认识生产少缺陷、高强度、高韧性材料的重要性,因而从各方面改进工艺,提高了压力容器制造用材料的产品质量。而材料的断裂韧性与材料的化学成分、金相组织、精细结构、热处理工艺、强化工艺、制造工艺有关。
在材质方面为了提高压力容器用锻件的质量,多年来采取如下措施:真空浇铸及除气;碱性电炉熔炼,改进造渣,纯净钢水;真空碳脱氧;进行凝固分析,改进锭模和热顶设计,以减少铸锭收缩而发生的多孔性;降低奥氏体化温度以细化晶粒尺寸;减少C、Mn、Mo含量,增加Ni含量;建立NiCrMoV钢系,增加淬透性和下贝氏体转变温度;用水淬加速从奥氏体的冷却,改进转变产物。美国用上述方法使断口形貌转变温度10年内降低83℃,得到了屈服强度高于770MPa,而断口形貌温度转变温度低于-18℃的电站锻件材料。
④合理选择热处理温度寻求最佳配合的材料性能。
可根据不同情况找出最佳配合性能(KIC与ReL的关系)的热处理工艺,如通过热处理,可以将钢的断裂韧性提高,而强度下降很少。
⑤改进强化工艺。
在氮化工艺上,国外有两种不同意见:第一,由于氮化使裂纹周围材料强化变脆,对裂纹扩展起促进作用;第二,由于氮原子渗入基体,促使体积膨胀,裂纹尖端造成压应力,使裂纹闭合,起延缓裂纹发展作用,有利于提高产品的寿命,提高产品质量。
⑥制定科学检验标准。
国际焊接学会提出了从脆断破坏观点评定缺陷的推荐方法,其基本思路为:根据缺陷性质、形状、部位与尺寸,将实际裂纹换算成当量穿透裂纹ā,分析结构应力应变情况;根据材料断裂韧性及受力情况求出相应允许裂纹尺寸ām,两者对比如,ā<ām则可接受,以此来评定焊接结构的缺陷。英国、瑞典都已根据上述方法制定了国家标准
⑦正确评价结构可靠性防止事故。
因为断裂力学建立了材料韧性、结构应力和缺陷间的定量关系,因而能正确评价有缺陷结构的可靠性,防止事故。
02 在役压力容器应力腐蚀寿命评估
①线弹性断裂力学的断裂判据
断裂力学的强度条件称断裂判据,为保证构件中的裂纹不致产生失稳扩展而造成脆性断裂,要求构件裂纹端部处的应力强度因子KI小于材料的平面应变断裂韧性KIC,即断裂判据:KI≤KIC。
对于任何形式的裂纹体,只要它属于I型变形,而且裂纹端部只有“小范围屈服”,则裂纹体的安全与否,可作如下判断:
KI<KIC -安全
KI= KIC-临界状态,极不稳定,具备了裂纹失稳扩展脆性断裂的条件
KI> KIC -裂纹已失稳扩展,脆性断裂
应力强度因子KI可按公式计算,断裂韧性KIC只能由实验测定。应该指出,在断裂判据中还是有一些储备的,因为一般的裂纹端部不可能全部处于平面应变状态,所以实际的断裂韧性值总比KIC要大些,介于KC与KIC之间断裂判据选择为KI≤KIC是为了偏于安全。
②复合应力下的断裂判据
上面所述的都是裂纹和主应力方向垂直的情况,如裂纹对主应力方向倾斜一个角度,那么裂纹所受的是正应力和剪应力的复合应力。压力容器上如有周向和纵向裂纹,它们都和主应力的方向相垂直,受到的都是简单的拉伸应力。但如裂纹的方向倾斜一个角度,它们受到的就是拉伸与剪切的复合应力。
如一压力容器壁上有一条与母线成β倾角的裂纹,在内压力作用下,此裂纹端部的应力强度因子既有第一型的KI,又有第二型的KⅡ,像这种情况的断裂通称为复合型断裂,要判断这类裂纹在什么条件下将发生临界扩展,不能单依靠前述的KI=KIC这样的断裂判据。为解决复合型断裂问题,必须建立相应的复合型断裂判据。
关于复合型断裂判据,在线弹性范围内开展了一些研究工作,主要有投影法判据、应变能密度S判据、最大主应力σ0判据、裂纹扩展能量率G判据,以及等应变能密度线上最大周向应力判据,但都还缺少实践方面的充分证明。
③断裂力学解决强度问题的方法及其应用
a. 选材、定尺寸。
选材是设计的重要问题之一,传统的设计方法是根据强度储备来选择材料、确定构件尺寸的。先对屈服强度或强度极限取一定安全系数ns或nb作为许用应力[σ],然后使构件的设计应力不超过该值,即σ<[σ],认为是安全的,其安全强度储备即为安全系数。断裂力学的设计方法是根据韧性储备来选择材料与确定构件尺寸的,其安全系数为nk=KIC/KI。这2种方法,在高强度钢设计上是不一致的。
为了防止低应力脆性断裂,选材时首先要保证断裂韧性,其次才是强度问题,尤其要注意高强度钢的断裂韧性较低的问题。因此,按断裂力学观点,在设计高强度构件选材时应适当降低强度储备选用,选用屈服强低而KIC高的材料。
b. 确定带裂纹构件的极限承载能力。
已知缺陷尺寸,由KI=σ(πa)1/2及破裂时KI=KIC,可以确定构件的极限承载能力:
式中:σc-临界应力;MPa
c. 确定构件的临界裂纹尺寸。
裂纹的存在是构件低应力破坏的主要因素,断裂力学对带裂纹体的质量验收,应该突出哪些裂纹是允许存在的,哪些裂纹是不允许存在的,理论上允许存在的最大裂纹尺寸被称之为临界裂纹尺寸ac,对之取一定的安全系数则得许用裂纹尺寸[a]。
特别应该指出的是,裂纹体中初始裂纹尺aI往往是比较小的,但是它在使用中会逐渐扩大(称为亚临界扩展),当它扩大到临界尺ac时,就会发生脆断。在设计中必须重视和考虑这一情况。从初始裂纹aI扩大到临界裂纹尺寸ac的时间,就是裂纹体的使用寿命。断裂力学估算裂纹体的使用寿命是通过裂纹扩展速率(da/dN)来确定的,N是交变载荷的循环次数或疲劳次数。
断裂力学中的裂纹扩张力GI及临界裂纹扩张力GIC物理意义是当裂纹扩展力达到临界值时裂纹开始失稳扩展,也可以理解为裂纹扩展单位距离形成了上下两个自由表面所需消耗的弹性变形能,这些能量也就是消耗在形成新断裂面的表面能。和KI、KIC一样,都是断裂力学判据,前者系能量判据,后者为应力场强度判据。KI=KIC的判据在工程实践中运用较普遍。判据的提出是一种假设,它的有效性,即是否能预计实际的断裂,则完全要依赖于实践的检验,只有通过大量实验,才能确定这种判据的有效性。
④弹塑性断裂力学的断裂判据
工程结构中常常会碰到一种弹塑性断裂问题。结构的某些元件或部位往往要经受较大的变形,例如压力容器的接管部分和结构的开孔边缘,其应力集中程度较高,为了使整个结构安全地工作,这些部位的变形和强度就成了问题的关键。一旦这些部位有了裂纹,则问题就归结为在材料屈服并产生较大变形下裂纹的扩张和断裂规律的研究。这就是一个弹塑性断裂问题。
在工件的加工工艺过程中(如焊接、铸造、热处理、加工以及安装)都有可能产生残余应力,叠加上工作应力后常会接近或超过材料的屈服极限,这些局部存在的裂纹就要按弹塑性断裂力学来进行分析。
在线弹性断裂力学中,虽然也指出裂纹尖端不可避免地存在一个塑性区,用有效裂纹长度,把小范围屈服经过弹性化处理,进行塑性区修正,使线弹性断裂力学得出的应力强度因子KI仍然适用。但是,对于前述弹塑性断裂问题,即使引入塑性区修正,线弹性断裂力学方法也已不再适用。
弹塑性断裂又称为大范围屈服断裂或普遍(全面)屈服断裂。弹塑性断裂的基本特征是指断裂前裂纹端部附近产生大范围屈服,这种大范围屈服以后的断裂具有以下基本特征:
a. 宏观变形方面,弹塑性断裂产生的塑性变形量是很大的,同时出现缩颈现象;
b. 应力方面,断裂时的名义应力较高,一般接近或超过材料的屈服限,断裂面与主应力方向大致成45?;
c. 宏观断口,呈纤维状,收缩较大,且存在拉边,(剪切唇)一般呈暗灰色,不像脆断有晶粒的光泽。从微观角度看,出现了塑性孔坑;
d. 能量,弹塑性断裂消耗的能量较大,裂纹的扩展需要外力继续做功来完成,也就是裂纹在扩展时遇到的阻力较大,因此弹塑性断裂的传播速度较慢。
⑤弹塑性断裂的分析方法
一是裂纹端部张开位移法(COD法),这种方法是对裂纹端部的塑性区作出一定假设,然后建立一种计算模型,如D-M模型。在此模型的基础上建立裂纹端部张开位移法。二是弹塑性方法,即能量观点的J积分方法,这种方法主要是对裂纹端部进行弹塑性分析,并建立一个能表征裂纹端部弹塑性应力场的参数,称之为J积分。
a. COD法的基本概念和小量屈服方程。
用应力的观点去讨论裂纹扩展对于脆性或半脆性的材料比较适用,而应变的观点去研究裂纹的扩展对韧性(弹塑性)材料比较适宜。COD法概念的提出和发展就是针对韧性较好的中低强度钢中的裂纹断裂扩展和失稳扩展问题的。
COD主要是研究在裂纹端部产生了塑性区,但裂纹本身还没有扩展时,裂纹端部所产生的张开位移。COD的概念之所以非常有用,是因为通过实验发现当裂纹即将要扩展时,裂纹端部的张开位移值是一定值,是材料的属性,与材料的厚度试件的形状加载方法无关。这样就可利用小试件,在全面屈服之后,测得裂纹在即将扩展时的裂纹端部的张开位移值,以此去判断大试样或大部件的低应力脆断的断裂强度。
b. D-M模型。
为了分析裂纹端部的张开位移,Dugdale应用Muskhelishuili的方法,研究薄板拉伸(平面应力)时穿透直裂纹端部的塑性变形,假设裂纹两端的塑性区呈尖劈的形式向两端伸展,图4-227。图4-227b中涂黑部分,也可称为曲线三角形部位,注意塑性区上下两个面不是自由表面。
图4-227 D-M模型
Dugdale假设塑性区上下两面受有均匀的应力,其值等于材料的屈服应力,也就是说假定材料无应变硬化,为理想塑性体。做力学分析时,取塑性区内的材料为分离体如图4-227b,而代之的应力作用了图4-227c上。屈服强度的作用是防止上下两面分离,因此其方向是使塑性区闭合。Dugdale实质是采用这种办法将裂纹尖端的弹塑性问题进行弹性化处理,认为外面的弹性区在中心包着一个扁平的椭圆。塑性区的大小应该使这个扁平椭圆的尖端(即塑性区的端部)的应力无奇点,扁平椭圆由-C到+C。
裂纹及其塑性区的外侧弹性区有两套应力:其一是外加的均匀应力σ,这套应力是使裂纹开裂的;其二是非均匀的,只存在于(-C,-a)和(+C,+a)之间,这一套应力使裂纹捏合,和第一套应力的作用相反,方向也相反。薄板内存在的这两套应力就属于弹性力学问题,可以由弹性力学来求解。
c. J积分。
针对材料的弹塑性断裂或全塑性断裂,弹塑性断裂力学首先必须要解决的问题是如何在大范围屈服条件下,确定一个能定量地描述裂纹尖端应力形变场强度,而又易于实验测定及计算的参量。1968年Rice提出了一个能量线积分,又称J积分,初步解决了这些问题。
在全面屈服情况下,只要总体的屈服程度不太高,应变区限制在裂纹端部较小地区包围它的广大弹塑性区还是小应变区。这样在高应变区中的形变能只占总形变能中的一小部分。用J积分描述裂纹端部的弹塑性场,像参数KI描述裂纹尖端的弹性场,但J积分比KI更优越,它既可适合于小范围屈服,也可以适合于大范围屈服。
J积分的重要特点是在一定条件下,即小应变区中包括弹性和塑性形变,它的值可以证明与积分路线无关。
积分的断裂判据可以这样来认为,既然J积分是描述裂纹端部弹塑性场的应力、应变参数,那么在裂纹开裂时的J积分值就称为J积分的临界值,以平面应变JIC表示。其判据为:
J=JIC(平面应变) (4-57)
JIC的测定主要有两种方法,一种是J积分的试验标定法,也称多试件法,另一种为单试件法。
综上所述,积分方法的优点在于它的积分数值与积分回路的无关性,它避开了难于计算分析的裂纹尖端,这个有严格定义的应力应变场参量,其数值可用简单的实验方法可靠地进行标定。
积分也有它的局限性,因为J积分是二维的,所以J积分只能适用于平面问题,而不能适用于三维问题。由于塑性应变是不可逆的,因而J积分方法就不允许卸载。它不适用于在裂纹明显扩展之前已有亚临界扩展的材料。因此,J积分只能说明扩展的起始,而不能描述整个过程。
⑥压力容器裂纹在应力腐蚀中的扩展规律和寿命估算
对于压力容器的应力腐蚀寿命评估,须按相应的法规和标准进行。
SCC寿命预测的难点,一是对裂纹萌生期规律缺乏机理性的定量认识,二是难以取得符合现场SCC实际规律的裂纹扩展速率(CPR)的数据。SCC寿命预测需CPR的数据,采用断裂力学方法用预制裂纹试样外加实际可能遭受的应力是最常采用的实验室获取CPR的方法,而用断裂力学试样所得到的数据往往是过于保守的。其原因之一是上述试验所得的裂纹扩展速率常处于法拉第定律的上限,而实际裂纹并非是以如此高的速率扩展;再者对SCC过程中多裂纹交互作用对SCC寿命影响的认识较少,Parkins认为很大的裂纹也有可能停止扩展;而且由于SCC参数中的环境因素,如环境组成、电位、温度等在设备运行过程中出现随机特征,需用统计分析的方法进行处理,简单的模型处理不能奏效。
用于设备寿命预测的方法一般可分为确定性(deterministic)方法及统计(statistical)方法两种。确定性方法通过计算裂纹扩展速率以求出SCC寿命,而SCC萌生期常需采用统计分析方法处理。用于腐蚀设备寿命预测的统计方法常采用极值统计方法,其分布形式一般有Gumbel分布、Cauchy和Weibull分布3种。Gumbel分布常用于最大点蚀深度的分布,也有少数研究采用Gumbel分布处理304不锈钢在高温高压水中的SCC数据;而Weibull分布常用于SCC寿命预测[1]。
a.应力腐蚀临界应力强度因子。
具有原始裂a的压力容器器壁,在非腐蚀环境中工作,当KI<KIC时,裂纹是稳定的,只有当KI≥KIC时裂纹才有可能快速断裂。
若在特征腐蚀介质中工作,虽然当KI<KIC,但裂纹也有可能扩展,并且随着裂纹的扩展,KI逐渐增大,直至裂纹扩展至ac,压力容器即将发生破裂。
裂纹在特征腐蚀介质和拉应力的共同作用下,由原始裂纹尺a扩展到临界值ac这一段扩展过程,称为裂纹在应力腐蚀中的亚临界扩展,加速亚临界扩展的动力是应力强度因子KI。通过试验,在某一恒拉应力值和特征腐蚀介质共同作用下可得KIi-tIi曲线,如图4-228。由图4-228可知,当KIi=KIC时,tIi=0;KIi<KIC时,tIi随KIi的下降而增大。KIi下降到某一值KISCC时,tIi→∞,由此可找出KISCC值。当KIi<KISCC时,裂纹即使缓慢地发生扩展,但要从a→ac需要的时间很长。因此,可以认为不会发生扩展。此值称为应力腐蚀临界强度因子KISCC。
式中:a-原始裂纹尺寸;mm
ā-不产生应力腐蚀开裂的最小裂纹尺寸;mm
σth-应力腐蚀开裂的临界应力;MPa。
图4-228 KIi-TIi曲线
KISCC和KIC一样,对于一定的材料和介质KISCC是一个常数,可用于过程设计。
有关σ、σth、a、ā和ac的评定,如图4-229所示。当原始裂纹尺寸a的外加应力σ≥σth时,即开裂,发生亚临界扩展一直到达相对应的ac,产生失稳断裂。
当原始裂纹尺寸a的外加应力σ<σth ,而a<ā时,则不会产生开裂。
当KI≥KISCC时,裂纹即开裂发生亚临界扩展。
当KI≥KIC,裂纹立即产生失稳断裂。
图4-229 应力腐蚀裂纹开裂评定示意 1kgf/mm2=9.8MPa
图4-230 高强度钢的KISCC与屈服强度的关系1kgf/mm2=9.8MPa
当腐蚀环境一定时,KISCC因材料的强度不同而有所不同,图4-230中可见,在σs(ReL)>980MPa时,σs越大,KISCC越低,因此,高强度钢具有很大的应力腐蚀开裂敏感性。KISCC与KIC有一定的对应关系,如4340钢在海水中的KISCC与KIC的关系,图4-231所示,曲线变化表明, KIC>KISCC,当σs>105MPa时,KISCC急剧下降,而σs>140MPa时,KISCC才变化缓慢,但KIC一直是缓慢地下降的。
在腐蚀环境一定时,应力腐蚀裂纹的形式及σth与σs的关系如图4-232所示。并见表4-69。
表4-69 SCC形式及σth与σs的关系
注:1kgf/mm2=9.8MPa
图4-231 海水中4340钢的KISCC与KIC的关系
图4-232 产生SCC的临界应力σth与钢的屈服极限的关系
b.临界应力强度因子KIC的测定。
应力强度因子KI是一个力学量,取决于外加应力(负荷)及实际裂纹尺寸(包括几何尺寸的影响),因此KI是和裂纹有关的力学量,是材料固有的属性,与裂纹大小、受力无关。
当逐渐加载一个裂纹体(或带裂纹试样),裂纹端部的应力强度因子将随之增大。当应力强度因子KI达到某一定值时,裂纹将发生急剧的不稳定扩展,这一定值即为应力强度因子的临界值,或称材料的断裂韧性。
KC是平面应力状态下的断裂韧性,它和板材或试样厚度有关。而当板材厚度增加到达到平面应变状态时,如果裂纹端部处于平面应变状态,那么裂纹特别容易扩展,断裂韧值就出现一个稳定的低值,称为平面应变断裂韧性KIC,它反映材料抵抗裂纹失稳扩展的能力,是材料的一种力学性能。断裂韧性KIC可以按ASTM E399[2]或GB/T 4161[3]规定的方法进行测定。
测定KIC值的基本原理是用一带裂纹长度为a的直三点弯曲试件,在试验机上加力P使试件弯曲。随着P值增加,KI值也增加。当P值低于临界载荷时,相应的KI值也低于临界值KIC,裂纹不会失稳扩展。但当P值大到临界值时,裂纹就要开始失稳扩展,此时值也已达到临界值KIC。绘制P-V曲线,以平面应变断裂韧性的条件值KQ作为KIC。
c.应力腐蚀裂纹扩展速率测定。
当KISCC<KI<KIC时,裂纹发生亚临界扩展。实验证明,在恒拉应力情况下应力腐蚀裂纹扩展速率da/dt=f(KIi),而KIi =g(ai) ,即随着裂纹的扩展,a在变,KIi也在变,da/dt的瞬时值也在变。
da/dt=f(KIi)的具体函数关系很复杂,目前仅依赖于实验测定,da/dt-K曲线可分为3个阶段,如图4-233所示。
图4-233 da/dt-K曲线
I阶段:当KI稍大于KISCC,经过一段孕育期,da/dt剧增,即da/dt≈KI2,此阶段内da/dt对KI很敏感;
Ⅱ阶段:KI的变化对da/dt影响不大,这一段是纯腐蚀过程,它起着控制作用;
Ⅲ阶段:当KI趋近KIC时,da/dt剧增,并伴随着断裂过程。
实验证明应力腐蚀裂纹的扩展速度一般不超过10mm?h-1,远比钢的脆性断裂速度小,但换算成腐蚀电流密度则可达1mA?mm-2,比普通的钢腐蚀过程要快得多。
d.应力腐蚀下压力容器的寿命估算。
应力腐蚀下的压力容器寿命预测是从缺陷的初始尺寸积分到临界尺寸来估算寿命的,而寿命控制正好与之相反,是事先指定寿命,然后反求初始缺陷尺寸,并通过无损检测可靠性方法检出结构中大于该尺寸的缺陷,对检出的缺陷进行维修或更换相应的零部件,从而保证整个结构在指定寿命期内的安全。
i.断裂力学法
在应力腐蚀条件下工作的压力容器进行寿命估算和寿命分析时,首先根据KISCC=σ(πā)1/2来确定不发生应力腐蚀的最小裂纹尺寸ā。若外加应力一定,可测得的裂纹原始尺寸为a。
若a<ā,可不考虑应力腐蚀问题;
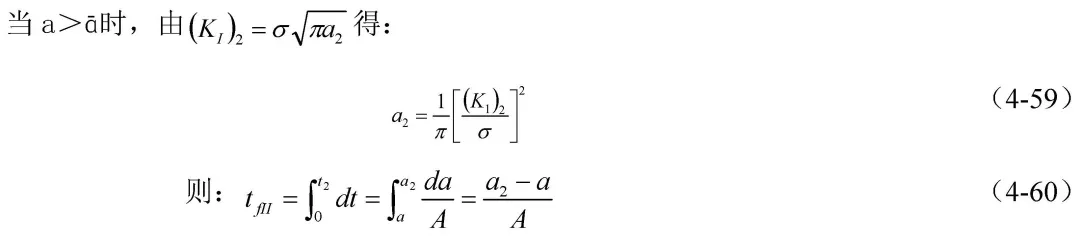
若a>ā,需根据da/dt=f(KIi)曲线来估算寿命tIi。
估算实际压力容器的tIi时,为了安全和简单起见,一般取保守使用寿命,即以占总寿命大部分的第Ⅱ阶段寿命作为压力容器寿命,且近似地认为该阶段CPR为常数A。
相当低的CPR使得实验室模拟试验周期相当长,从而使得模拟条件下的SCC试验数据及现场数据较少,且相当一部分的试验数据较分散,这给SCC寿命预测带来了很大的困难。目前所发展的高温水中的SCC寿命预测有其自己的特点,即多数采用确定性方法通过计算裂纹扩展阶段的CPR来估计相关条件下的设备剩余寿命,如GE(通用电气公司)的Ford和Andresen根据滑移-溶解机理提出的SCC预测模型(slip-dissolution,S-D)、D.D.Macdonald和U.Macdonald环境耦合断裂模型(coupled-environment fracture model,CEFM)、A.Turnbull模型、Jiang及Staehle提出的化学/力学模型(chemical/mechanical,C/M)均是采用确定性方法加以模型化。确定性模型方法的优点在于其能够提供对控制变量的机理性的认识,从而可以评估操作环境的影响,但其局限性在于由于不同模型所采用的假设条件不同而使得模型在有关实际工程的适用性方面常引起争论[1]。
ii.统计分析方法的运用
R.N.Parkins等运用统计分析方法成功地进行了油气管道的SCC寿命预测。由于现场及实验室高温水中的SCC裂纹萌生与扩展数据具有一定的随机特征,采用统计分析方法来进行核电材料SCC寿命分析有其理论基础。R.Post等人提出基于统计分析的SCC寿命因子理论,运用该理论成功地确认采用核电级316不锈钢替代易发生SCC的304不锈钢的可行性。K.Yamauchi等人提出了用一个称为F因子的参数来表示给定SCC体系与参照SCC体系SCC寿命之间的比例,通过分析实验室SCC寿命数据得出各个影响因子的寿命因数,该方法在评价实验室与现场数据方面有一定作用。P.Scott等人的研究结果表明,Weibull分布可用于600合金在PWR一回路水中SCC(PWSCC)的预测,Weibull分布参数可较好地预测外加应力、温度以及材料SCC敏感性等的影响,Monte Carlo模拟则是用于验证预测相关性的一种有效的方法[1]。
03 在役压力容器应力腐蚀开裂的处置
应力腐蚀是压力容器最危险的腐蚀形式,除了须要做好预防工作外,对于已发生SCC的压力容器,又常常须要继续使用,这样问题来了,如何才能保证这些容器的安全运行:
①检验。
对于在使用过程中出现应力腐蚀开裂的压力容器,应首先进行全面检验,检验以表面检测为主,确定裂纹位置、深度和长度。检验前必须根据设备的结构、材质和介质等情况正确地确定检验的重点部位,制订出合理的检验工艺,并严格按检验工艺实施检验,确保表面裂纹性缺陷的检出,防止错检、漏检。重点检验部位有:
a.容易造成液体滞留或固体物质沉积的部位,如容器底部,底封头等;
b.连接结构中容易形成缝隙死角的部位,如胀接结构,容器内支承件等;
c.应力集中部位,如容器开孔、T型焊结构等,焊缝缺陷部位,错边、咬边等部位;
d.容器的气液相交界部位;
e.局部温差变化大的部位,如容器内的局部过热区;
f.容器进料口附近和管口对面壁体;
g.返修补焊部位等。
②返修。
根据检验结果,制定返修方案。返修方案须在确保消除所有裂纹的同时,不得使返修部位的材质劣化。消除裂纹后,应首先对消除裂纹后的凹坑缺陷进行安全评定,对于安全评定允许存在的凹坑,不进行补焊处理。大面积的裂纹缺陷,应尽可能采用挖补的方法修复。对于消缺产生的凹坑或挖补部位的补焊和焊接修复须采取以下措施:
a.严格控制焊接预热温度、层间温度和后热温度及时间;
b.对低合金钢的返修,补焊或焊接宜选用低强度酸性焊条,如J502焊条,因其氧化性药皮可将扩散富集至焊接接头处的氢反应消耗一部分,从而能有效降低焊接接头中的氢含量;
c.对返修补焊的焊接接头进行严格的无损检测检查;
d.热处理。降低焊接接头处的残余应力和硬度。如对球罐进行高温回火热处理,既可使低合金钢焊接接头熔合区的马氏体组织分解,又可降低焊接接头的残余应力,还能使焊接接头处的氢部分逸出。硬度测点的冲击痕须在热处理前打磨消除。实践证明16Mn钢通过焊后热处理可改善耐应力腐蚀性能,达到安全水平。
③防护
a.表面处理。对于碳钢或低合金钢容器,特别是发生了湿硫化氢应力腐蚀开裂的容器,采用喷砂处理,消除所有腐蚀产物,是防止今后容器在使用过程中再次发生SSCC的重要方法。对完成检验、补焊或焊接修复的容器,内部采用喷丸硬化技术,可以有效地提高容器的抗SCC性能;
b.内部采用覆盖层防腐;
c.不锈钢等耐蚀合金容器的应力腐蚀裂纹消除后,须按原焊接工艺评定的焊接工艺进行补焊或焊接。必要时,须要进行腐蚀试验验证;
d.采取措施降低焊接接头残余应力,如振动法可以降低局部残余应力。改进结构,降低外加应力和容器局部应力集中;
e.声发射技术用来对压力容器的应力腐蚀过程进行监控,根据声发射信号强度及其变化可以较准确判断设备的运行状况,定量确定压力容器的服役年限或检修周期;
f. 采取工艺措施,消减介质腐蚀性组分,或改变介质组分防止SCC发生。
免责声明:本网站所转载的文字、图片与视频资料版权归原创作者所有,如果涉及侵权,请第一时间联系本网删除。
相关文章
官方微信
《中国腐蚀与防护网电子期刊》征订启事
- 投稿联系:编辑部
- 电话:010-62316606-806
- 邮箱:fsfhzy666@163.com
- 中国腐蚀与防护网官方QQ群:140808414
点击排行
PPT新闻
“海洋金属”——钛合金在舰船的
点击数:7130
腐蚀与“海上丝绸之路”
点击数:5741


















