随着我国能源和铁路运输的迅速发展,越来越多的天然气管道和电气化铁路建成并投入使用,由于受到国土资源和环境的限制,加上二者路由选择上的相似性,导致在“公共走廊”内常常出现长距离的并行和交叉穿越现象。
电气化铁路的牵引供电系统通常采用钢轨和大地作为回流路径,流入大地的杂散电流会以电阻耦合的方式对临近的埋地金属管道产生交流干扰,同时铁路的牵引供电线会通过感性耦合的方式使管道上产生感应电流和电压,导致管道防腐蚀层破损处易发生交流腐蚀,目前国内外已出现了多起相关案例。过高的交流电压还会威胁操作人员的安全,影响管道附属设备及阴保恒电位仪的正常工作。为降低管道上的交流干扰电位,保障管道的安全运行,定期检测管道上的杂散电流并及时开展排流防护工作尤为重要。
以浙江省嘉兴市内一段天然气管道的交流干扰检测与防护为例,该段管道受到高铁和铁路的共同干扰,具有特殊性,国内外尚无此方面的对比研究,因此,西南石油大学和浙江浙能天然气运行有限公司的研究人员对比分析了高铁和铁路对管道交流干扰的特点,对该段管道的受干扰情况进行了详细的调查与检测,并根据检测结果进行针对性的排流方案设计,方案实施后进行再次检测及效果评价,以期为管道的交流干扰防护提供理论支撑。
管道与电气化铁路概况
杭州市至嘉兴市天然气输气管道(杭嘉线天然气管道)全长84.44km,于2010年1月运营投产。嘉兴段天然气管道是其位于嘉兴市内的一段管道,长约11.5km,由嘉兴输气站输往王店阀室。管道设计压力6.3MPa,运行压力5.5MPa,管径为813mm,壁厚为11.9mm,材质为X65钢,设计输气量为18.5×108 m3/a,管道采用三层PE外防腐蚀层和强制电流阴极保护的方式进行联合防护。
沪杭高铁于2010年10月正式通车,采用高架敷设,双线运行,平均每3分钟有一趟高铁经过嘉兴段管道。由于沪杭高铁与杭嘉线天然气管道存在长距离(约40km)短间距(平均间距250m)并行,高铁通车后,对杭嘉线天然气管道的交流干扰很大,虽然经过几年的治理,略有成效,但本工作中的嘉兴段管道未得到有效治理。沪杭铁路于2006年并入沪昆铁路,采用地面路基敷设,双线运行,平均每15分钟有一趟火车经过嘉兴段管道,其嘉兴站至海宁站间的轨道与嘉兴段天然气管道并行。
嘉兴段天然气管道与沪杭铁路及沪杭高铁均存在近距离并行及交叉穿越情况,管道与电气化铁路的示意图见图1。其中嘉兴输气站至32号阴保测试桩间的管道与沪杭铁路存在约6km的并行,平均间距为50m,在31~32号测试桩间离32号测试桩约190m 处与沪杭高铁存在交越点;32号测试桩至王店阀室间的管段与沪杭高铁存在约5.5km并行,平均间距为150m。嘉兴段天然气管道沿线地貌以平原为主,土壤类型为黏质土,管道上方多为农田,土壤电阻率较低。
图1 管道与电气化铁路的示意图
交流干扰测试
No.1测试方法
嘉兴段天然气管道共有12根阴保测试桩,平均间距约1km,桩位置分布见图1。根据GB/T 50698-2011《埋地钢制管道交流干扰防护技术标准》,利用Fluke17B+数字万用表对测试桩的交流电位进行测试,测试时间为10min,极个别受干扰严重的测试桩利用具有数据远传功能的智能阴保监测终端进行48h监测,设备的交流电位量程为0~100V,采样精度≤0.01V,采样频率为1次/s,参比电极采用饱和硫酸铜电极。利用METREL MI3123通用接地电阻测试仪测试管道沿线土壤电阻率,采用温纳四极法,测量深度为2m,将仪器的四个电极钢钎以2m间隔等间距插入地表中,电极入土深度应不超过10cm,接线开机后按测试键可获得土壤电阻率测试结果。
No.2判定指标
根据GB/T 50698-2011中的规定:当管道上的交流干扰电压不高于4V 时,可不采取交流干扰防护措施;高于4V时,应采用交流电流密度进行评估,交流电流密度计算公式如下:
JAC =8V/ρπd (1)
式中:JAC为评估的交流电流密度,A/m2;V为交流干扰电压有效值的平均值,V;ρ为土壤电阻率,Ω·m;d为破损点直径,m,取0.0113。
交流干扰程度的判断指标
弱
交流电流密度<30A/m2
↓
可不采取交流干扰防护措施
中
交流电流密度30~100A/m2
↓
宜采取交流干扰防护措施
强
交流电流密度>100A/m2
↓
应采取交流干扰防护措施
No.3测试结果
嘉兴站至29号测试桩段的管道交流电位最大值为4.31V,平均值均低于4V,交流干扰程度较弱,主要受沪杭铁路的交流干扰;29~32号测试段的管道交流干扰程度主要为中偏强,其中32号测试桩受交流干扰最严重,最大交流电位31.81V,平均交流电位12.67V,由式(1)计算得最大交流电流密度363.92A/m2,平均交流电流密度144.93A/m2,管道受到沪杭铁路和沪杭高铁的共同干扰;33号测试桩至王店阀室间管段的交流干扰程度为中等,主要受到沪杭高铁的交流干扰。
在铁路和高铁距管道都是40m的情况下,32号测试桩交流电位最大值是29测试桩的7.57倍,且去除铁路的影响后,仍然是29号测试桩的6倍多。26和37号测试桩的交流电位最大值和平均值都相差很小,说明距37号测试桩250m远的高铁和距26号测试桩35m远的铁路对管道造成的交流干扰程度相当。由此可知:在高铁和铁路距管道等距离情况下,高铁对管道的交流干扰明显强于铁路的干扰,其对管道的交流干扰约为铁路的4~6倍大。
因30,32,36号测试桩处管道埋设的土壤电阻率低于20Ω·m,且受到的交流干扰很大,在较负的阴保电位条件下,利用公式(1)计算得到的交流电流密度可能不准确。因此,在这三根测试桩位置处增设了裸露面积为1cm2的试片以测试管道的交流电流密度,经过24h极化后对试片进行测试,测试时间10min,测试结果如下:
30号 测试桩处
试片交流电流密度最大值:123.41A/m2
公式计算结果:255.86A/m2
平均值:61.28A/m2
计算值:95.96A/m2
32号 测试桩处
试片交流电流密度最大值:197.02A/m2
公式计算结果:363.92A/m2
平均值:104.25A/m2
计算值:144.93A/m2
36号 测试桩处
试片交流电流密度最大值:183.09A/m2
公式计算结果:266.93A/m2
平均值:84.59A/m2
计算值:93.00A/m2
可以发现试片法测得的交流电流密度值比公式计算得到的小得多,这可能与土壤电阻率及测试时间段高铁造成的交流干扰大小不同有关。根据上文中的判定指标,嘉兴段天然气管道交流干扰程度判定为“强”的测试桩有1处,判定为“中”的测试桩有7处,判定为“弱”的测试桩有4处。
图2 嘉兴段管道的交流电位测量结果
图3 嘉兴段管道的交流电流密度测量结果
由图2和图3可见,受沪杭铁路干扰的管段,其交流电位曲线和电流密度曲线表现较为平稳,交流电位较小,说明火车经过各测试桩时造成的交流干扰较小且较稳定;而受沪杭高铁干扰的管段,其交流电位曲线和电流密度曲线波动起伏剧烈,交流电位较大,数值是前面的几倍,说明高铁经过各测试桩时造成的交流干扰与管道和高铁之间的距离关系很大,距离越近,管道的交流电位越大,受干扰越严重。
对受交流干扰程度较强的30号和32号测试桩进行了48h交流电位测试,结果如图4所示。可见每天23∶00~3∶00间,除去00∶30有一处峰值,管道的交流电位基本稳定在1V左右,交流电位曲线平稳无大波动,说明此时间段内除00∶30有一趟高铁经过外,其他时间无高铁经过,交流电位与白天现场测试无高铁经过时的结果基本一致;而在其他时间段,交流电位曲线震荡起伏剧烈,波动幅度较大,有许多明显的尖峰,管道受到的交流干扰有明显的时段性和高频次性,属于动态交流干扰。
(a) 30号
(b) 32号
图4 排流前30号和32号测试桩处的交流电位测试结果
管道受干扰的时间段与沪杭高铁经过嘉兴段管道的时间段吻合,说明造成两处测试桩交流电位剧烈波动的干扰源为沪杭高铁,针对这种随时间变化的动态交流干扰,需要利用带有数据远传或存储功能的电位数据记录仪进行长时间监测才能清楚了解管道的受干扰情况。
排流设计
根据上述测试结果,并考虑管道受交流干扰程度、土壤电阻率、现场施工环境等因素的影响,以高效低成本为原则,采用国内常用的“固态去耦合器+接地铜缆”的排流方式进行排流。
固态去耦合器具有通交隔直、过度电压保护及去耦合功能,标准配置阈值为-2V/+2V,当直流电压低于阈值时,隔断直流电流只放行交流电流;当直流电压高于阈值时,允许所有电流通过。管道的阴保电位为-0.85~-1.2V,处于标准阈值范围,故采用“固态去耦合器+接地铜缆”进行排流可实现管道上交流电流的排放并保证管道上的阴保电流不流失。
根据前期的详细测试结果,在三个受交流干扰最严重的测试桩位置安装3个DEI SSD-2/2-3.7-100型固态去耦合器进行排流,接地材料采用截面积35 mm2,长300m的裸铜线,安装示意如下图所示:
图5 固态去耦合器安装示意图
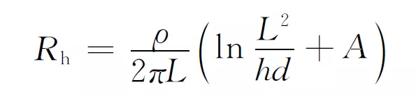
目前,国内外标准未明确油气管道交流排流的接地极接地电阻的取值范围,本工作参照文献中的取值规定:土壤电阻率ρ小于100Ω·m,接地电阻小于2Ω。单根水平接地裸铜缆接地电阻的计算可参照文献中的公式:
式中:Rh为水平接地极接地电阻,Ω;L为水平接地极总长度,m,取300m;h为水平接地极埋设深度,m,取2m;d为水平接地极直径或等效直径,m,取0.0067m;A为水平接地极形状系数,对于线型接地极,为-0.6;ρ为土壤电阻率,取20Ω·m。
经式(2)计算,本工作所采用的水平接地裸铜缆的接地电阻为0.16Ω,满足设计要求。
排流效果评价
根据GB/T 50698-2011规定:在土壤电阻率不大于25Ω·m的区域,管道交流干扰电压低于4V;在土壤电阻率大于25Ω·m的地区域,交流电流密度小于60A/m2。
在嘉兴段管道上安装好三个固态去耦合器后,立即对12根测试桩的交流电位进行测试,排流前后管道交流电位测试结果对比见图6。
图6 嘉兴段管道排流前后交流电位对比
可知经过固态去耦合器和接地铜缆排流后,嘉兴段管道上的交流电位最大值和平均值均低于4V,排流效果良好,达到了国标要求。
对30号和32号测试桩进行了24h交流电位测试,结果如图7所示。可以看出经过排流,30号测试桩的交流电位由排流前的最高值20.21V降为1.97V,32号测试桩的交流电位由排流前的最高值31.81V降为2.98V。
(a) 30号
(b) 32号
图7 测试桩排流后24h交流电位测试结果
对比图4和图7可知:经过排流,管道的交流电位大幅度下降,排流效果良好,有效缓解了嘉兴段管道附近电气化铁路的交流干扰。
结论与建议
(1) 嘉兴段天然气管道的交流干扰检测结果表明:在相同距离下,高铁对管道的交流干扰电位明显大于普通铁路的干扰,约为普通铁路的4~6倍。在相同时间段内,高铁速度快,车次多,对临近的油气管道造成的交流干扰频次多,影响更大。电气化铁路对管道的交流干扰与二者之间的距离关系很大,距离越小干扰越强,建议新建管道选址时尽量避开高铁,若不可避免要尽可能拉开间距。
(2) 电气化铁路对埋地金属管道的交流干扰是具有时段性、高频次的动态交流干扰,建议测试人员利用具有数据远传或存储功能的管道电位测试设备进行长时间监测,以便防腐蚀工程师能准确地掌握管道的受干扰状况,进行后续的排流防护设计工作。
(3) 固态去耦合器接地的排流方法可有效缓解电气化铁路对油气管道的交流干扰,排流效果能满足国家标准要求。但固态去耦合器在长时间运行后可能会出现故障。接地铜缆埋设在氧浓度高且潮湿的土壤中,表面易生成绿色铜锈而使接地电阻增大,进而影响排流效果。建议定期对相关设施进行测试维护,保证管道得到有效防护。
免责声明:本网站所转载的文字、图片与视频资料版权归原创作者所有,如果涉及侵权,请第一时间联系本网删除。
相关文章
官方微信
《中国腐蚀与防护网电子期刊》征订启事
- 投稿联系:编辑部
- 电话:010-62316606-806
- 邮箱:fsfhzy666@163.com
- 中国腐蚀与防护网官方QQ群:140808414
点击排行
PPT新闻
“海洋金属”——钛合金在舰船的
点击数:7130
腐蚀与“海上丝绸之路”
点击数:5741













