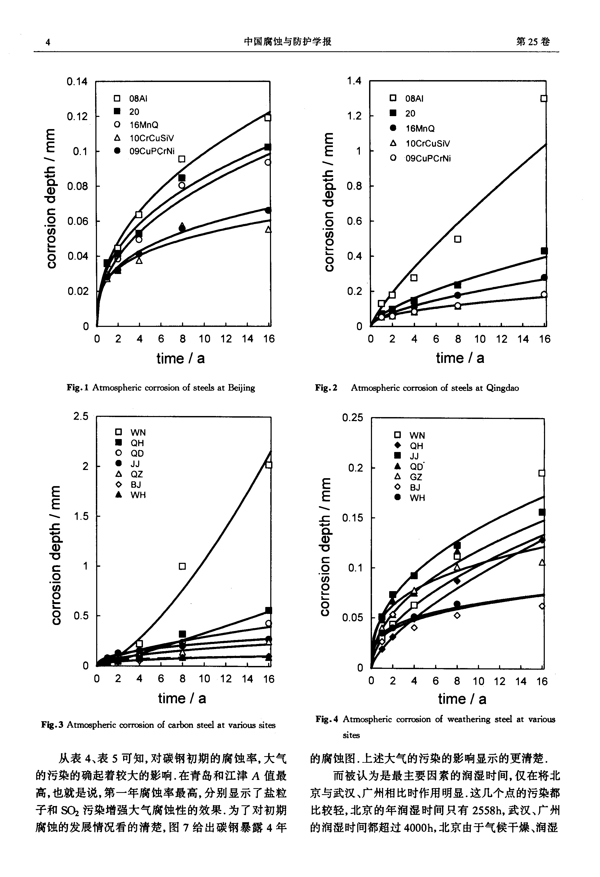
碳钢、低合金钢16年大气暴露腐蚀研究
2021-08-05 13:30:43 作者:梁彩凤;候文泰 来源:中国腐蚀与防护学报 分享至:

 

 

 

 

 

免责声明:本网站所转载的文字、图片与视频资料版权归原创作者所有,如果涉及侵权,请第一时间联系本网删除。