双相不锈钢 (DSS) 具有较高的强度,较好的抗应力腐蚀和点蚀的能力,在石油化工和海洋工程等领域推广很快[1]。双相不锈钢与铁素体不锈钢相比,其韧性高、耐晶间腐蚀能力及焊接性能好,而且具有铁素体钢导热系数高、膨胀系数小的优点[2]。与奥氏体不锈钢相比,其具有比304L和316L更高的屈服强度和更好的耐点蚀的性能,成本却更加低廉[3,4]。近年来,双相不锈钢的发展呈现出两种趋势:一是充分发挥资源节约的优势,减少Ni,Mo等的使用,发展SAF2304、LDX2101等节镍型双相不锈钢;二是提高钢中合金元素含量,发展2507、2906等超级双相不锈钢,获得更高强度和耐蚀性能,以满足特殊条作和环境的应用[5]。
双相不锈钢的固溶组织中铁素体相与奥氏体相约各占一半。由于双相不锈钢中存在大量的相界和晶界,合金元素在两相中分布不均匀,特别是在热加工和焊接过程中,由于冷却速度难以控制,经常出现σ相,氮化物及碳化物等中间相析出现象[6,7]。析出相的出现会严重影响到材料的抗蚀能力和力学性能,尤其是耐点蚀性能和耐晶间腐蚀性能,而点蚀和晶间腐蚀是材料应力腐蚀开裂的主要诱导因素[8,9],因此,如何避免中间相的析出是不锈钢热点研究的问题 [10,11,12,13]。
近年来对双相不锈钢的耐蚀性研究主要集中在Fe-Cr-Ni型的2205和2507钢,及Fe-Cr-Mn型的2101节镍双相不锈钢,对于SAF2304钢相关方面的研究还比较少。Evangelista等[14]研究了2304和2205两种节约型双相不锈钢在1000~1200 ℃温度范围内的高温使用性能; Straffelini等[15]研究了在550~850 ℃温度范围内不同温度和不同时效处理时间下2304和2101两种节约型双相不锈钢的力学性能;Zhang 等[16]研究了不同固溶处理温度对2304双相不锈钢的微观结构演变及耐蚀性能的影响规律;文献[17]用恒电位沉积法在2304双相不锈钢基板上制备了纳米结构MnO2薄膜,并对其进行了表征和性能测试;文献[18]比对了SAF2304和304L在Cl-环境下的耐蚀能力。
本文对SAF2304双相不锈钢在1050 ℃进行固溶处理后,对试样在600~800 ℃温度范围内的析出相规律做了初步的研究。确定了SAF2304二次相析出的鼻尖敏感温度及热处理过程中应当避开的温度区间及时间。
1 实验方法
实验样品为SAF2304双相不锈钢,用线切割方法加工成12 mm×12 mm×5 mm,其合金成分为 (质量分数,%),C 0.018,Si 0.45,Mn 1.48,P 0.040,S 0.040,Cr 22.90,Ni 4.00,Mo 0.30,Fe余量。试样经1050 ℃固溶,固溶时间为1h,然后水淬处理。将固溶处理后的样品分为两组,对第一组试样在600,650,700,750和800 ℃进行时效处理2 h,然后水淬处理;对第二组试样在700 ℃时效处理0.25 h,0.5,1,2,3,4和5 h,然后水淬处理。两组试样均用60#~1200#砂纸逐级打磨,最终的试样经金相抛光机抛光,用腐蚀剂腐蚀后,显微观察金相组织。腐蚀剂为0.3 g K2S2O5,20 mL HCl (浓) 和80 mL水的混合溶液。
电化学实验采用CS350型电化学工作站测量系统,操作软件为Corrtest软件,工作电极为SAF2304节镍双相不锈钢试样,其有效工作面积为1 cm2,辅助电极为铂电极,参比电极为232型饱和甘汞电极 (SCE),测试溶液为3.5% (质量分数) NaCl溶液 (模拟海水浓度),温度为室温,扫描从-300 mV (相对开路) 开始向阳极方向扫描,扫描速率为0.5 mV/s,当腐蚀电流密度骤然上升,并超过100 μA/cm2后,再持续扫描1 min即停止实验。实验前试样先在溶液中进行0.5 h开路电位测试,使试样达到稳态,即电位浮动不超过10 mV再测试。
电化学阻抗谱测试在室温环境下进行,施加幅值为10 mV的正弦电位,频率扫描范围为105~10-2 Hz。测试溶液为3.5%NaCl溶液 (模拟海水浓度),对采集的阻抗数据用Zview分析软件进行电化学等效电路参数拟合分析。实验开始前试样先在溶液中进行0.5 h开路电位测试,使试样达到稳态,即电位浮动不超过10 mV再测试。
2 结果与讨论
2.1 不同时效处理温度对析出物的影响规律
通过光学显微观察可以发现,如图1所示,在1050 ℃固溶状态下,相界清晰可见,观察不到析出物,金相组织中的基体铁素体α相和条状或岛状的奥氏体相γ相的比例约为1∶1;在600和650 ℃时效处理2 h的金相组织中,析出相很少,几乎观察不到;随着温度的升高,在700和750 ℃时效处理2 h的金相组织中,能清楚的观察到析出相,析出相以团聚状态沿着α相和γ相的相界分布。但是在γ相内并未发现析出相。前期的研究结果[19,20,21,22]表明,铁素体α相和奥氏体γ相相界的粒状析出相主要为Cr2N。随着温度进一步提升,当时效温度逐渐升高至800 ℃时,金相组织中很少观察到析出相。需要强调的是,由金相组织可以看出,700 ℃时效后的试样中析出相的析出量达到最大值。

图1 1050 ℃固溶处理1 h及不同温度时效处理2 h后样品的OM相
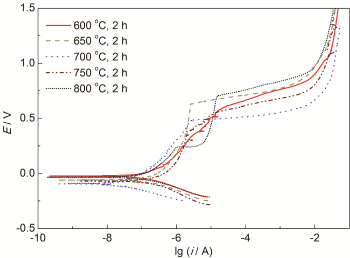
图2为在3.5%NaCl溶液中SAF2304钢在不同时效温度保温2 h后试样的动电位扫描极化曲线。由图可知,不同时效温度下均存在钝化区。钝化膜可以较好的保护材料免遭腐蚀。随着电压持续向阳极方向扫描,腐蚀电流会急剧上升,并逐步增大,表明在试样表面发生稳态点蚀。

图2 SAF2304钢在3.5%NaCl溶液中不同时效温度后试样的极化曲线
中温时效处理后,试样的耐蚀能力随着温度升高而下降,当时效温度为700 ℃时,试样的耐蚀能力最差;之后随着温度进一步升高,试样的耐蚀能力随温度升高反而升高。这表明,在中温时效条件下,析出了大量的析出相Cr2N[21,22],Cr2N中富含有Cr,造成其周围出现贫Cr区,因此,Cr2N周围的钝化膜相对薄弱,受到Cl-浸蚀后破裂或溶解但无法快速修复,点蚀优先在这些区域形成[23],从而使得试样整体点蚀抗力下降。在700 ℃时效处理条件下试样析出相含量达到最大,此时SAF2304双相不锈钢最容易发生点蚀。此后,随着时效温度的升高,析出相明显减少,试样的耐蚀能力增强。这与金相组织观察得到的析出相规律一致。
可见,不同温度时效处理后SAF2304钢的耐蚀性能依赖于微观组织的变化,时效后析出相含量越多,材料的腐蚀倾向越大。通过上述实验可以看出,析出相位置具有最差的耐蚀能力,铁素体α相耐蚀性较差,奥氏体γ相的耐蚀性较好。
2.2 不同时效处理时间对析出物的影响规律
图3为700 ℃时效处理不同时间后样品的OM像,可以看出,1050 ℃固溶处理后的试样经700 ℃/0.25 h时效处理,在α相和γ相的相界处,开始出现析出相;700 ℃/0.5 h时效处理后,析出相能较清晰地观察到;在700 ℃/5 h时效处理后,能观察到大量的析出相;通过金相组织观察可以发现,随着时间的延长,析出相呈现出逐渐增加的规律。值得注意的是,在析出物的周围分布着颜色较明亮的小区域,与奥氏体相接近,这些区域为二次奥氏体相[24]。
图3 700 ℃时效处理不同时间后样品的OM像
Ramirez等[24]系统研究了双相不锈钢UNS S32304、UNS S32205、S32550、S32750和S32760中氮化物的析出过程。通过组织观察和理论分析,提出了Cr2N析出过程伴随着二次奥氏体γ2的形成,即满足α→Cr2N+γ2。随着时效时间的延长,Cr2N析出相越来越多,研究显示,Cr2N是点蚀形核并发展的场所[23],因此,试样的耐蚀性能随着时效时间的延长逐渐变弱。
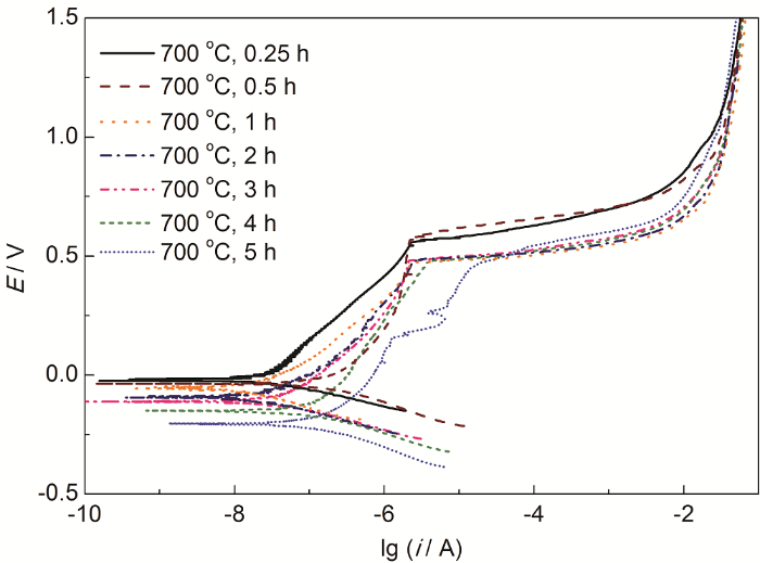
图4为SAF2304钢在不同时效时间保温后的动电位扫描极化曲线。在700 ℃/0.25 h时效处理下,试样表现出较好的耐蚀性能;之后随着时效处理时间的延长,试样的耐蚀能力逐渐变弱;当时效时长达到5 h时,试样的耐蚀能力明显下降。总之,在700 ℃,随着时效处理时间的延长,试样的耐蚀能力呈现出逐渐变弱的规律,这与金相组织观察得到的结论一致。

图4 SAF2304钢在3.5%NaCl溶液中700 ℃时效不同时间后试样的极化曲线
上述现象产生的原因是:在700 ℃/0.25 h时效处理下,试样开始出现析出相,析出相导致周围形成贫Cr区,即二次奥氏体γ2;由于γ2中Cr含量比铁素体α相和奥氏体γ相更低,导致点蚀在此区域形成;随着时效处理时间的延长,析出相含量越来越多,试样表面发生了稳态点蚀;当时效处理时长达到5 h时,Cr2N及二次奥氏体γ2大量的析出,试样的腐蚀成为二次奥氏体γ2的选择性腐蚀[25]。综上所述,析出相的含量对于点蚀的形核及长大起了关键性作用,并对试样的耐蚀性能产生了显著的影响。
图5是SAF2304钢在700 ℃时效不同时间后的阻抗谱图。试样在0.25~5 h时效处理后对应的阻抗谱曲线表明,0.25 h时效处理时长下电化学腐蚀时,试样表面形成的钝化膜最为致密,即耐蚀性最好;5 h时效处理时长下,试样的耐蚀性最差。这一结果和图4中的极化曲线相对应;而其他时效时长所对应的阻抗谱曲线来看,钝化膜的致密性处于0.25和5 h之间,即耐蚀性处于两者之间,这一结果也与图4中变化趋势一致。

图5 SAF2304钢在700 ℃时效不同时间后的阻抗谱图
图6是SAF2304钢在700 ℃时效不同时间后的阻抗谱等效电路。其中RS为溶液电阻,Q为常相位角元件,RCT为电荷转移电阻。在阻抗谱的整个频率范围内,阻抗谱曲线为近似半圆的容抗弧,这与整个电化学过程中的电荷转移及物质传输有关。在电化学过程中,电解液中的金属原子得失电子的能力用电荷转移电阻来表征,电荷转移电阻值越大,表明原子得失电子越困难,而容抗弧半径越大表明电阻值越大,即试样耐蚀性越好。
图6 SAF2304钢在700 ℃时效不同时间后的阻抗谱等效电路
结合图5阻抗图谱来看,时效时间从0.25 h延长至0.5 h,容抗弧半径减小,表明试样耐蚀性能变差,这与图4中极化曲线及图3中析出相规律相一致;当时效时间延长至1 h,容抗弧半径继续减小,其程度比0.25和0.5 h更大,这与图3中1 h时析出相开始大量出现有关,也与图4中极化曲线相对应;当时效时间延长至5 h,容抗弧半径继续减小,并在5 h程度最大,这与图3中5 h析出相大量析出有关,也与图4中极化曲线相对应。综上所述,阻抗图谱,电化学极化曲线和金相组织观察所得的结论是一致的。
3 结论
(1) SAF2304双相不锈钢,经1050 ℃固溶1 h,并经600,650,700,750和800 ℃时效处理2 h后,700和750 ℃试样中析出相明显增多,尤以700 ℃试样中α/γ相界处析出相最多,表明700 ℃是SAF2304析出相的敏感析出温度,即对应于析出时间最短的温度。
(2) 固溶态SAF2304双相不锈钢在700 ℃时效处理后试样耐蚀性能弱于其他时效温度,且在0.25~5 h范围内,时效时间越长,其耐蚀能力越差,析出相与基体形成的界面往往是点蚀形成的位置,这一现象与时效过程中析出相相关联,即析出相越多耐蚀性越差。
免责声明:本网站所转载的文字、图片与视频资料版权归原创作者所有,如果涉及侵权,请第一时间联系本网删除。
官方微信
《中国腐蚀与防护网电子期刊》征订启事
- 投稿联系:编辑部
- 电话:010-62316606-806
- 邮箱:fsfhzy666@163.com
- 中国腐蚀与防护网官方QQ群:140808414



