摘要:分析论证了动电位极化法测量混凝土中钢筋析氢电流密度的合理性,并测试了不同水灰比的混凝土试件中钢筋的析氢电流密度大小。结果表明,混凝土试件的水灰比越大,钢筋的析氢电流密度越小,析氢反应越容易发生,因此在电化学修复中对不同水灰比的混凝土结构不宜采用统一的析氢电流密度作为析氢控制条件。
关键词:水灰比;能斯特方程;析氢反应;动电位极化曲线;电流密度
1 引言
由于海水和海洋气候等腐蚀环境的影响,沿海地区的钢筋混凝土结构容易受到Cl-侵蚀而出现钢筋腐蚀现象,导致混凝土结构失效,造成重大经济损失。电化学修复技术是目前提升既有钢筋混凝土结构耐久性的重要方法。然而,不少研究表明电化学修复过程中,若保护电流密度过大,作为阴极材料的钢筋会发生析氢反应,特别是 H2 浓度过高则会引起钢筋发生氢脆。可见使用电化学修复技术研究混凝土中钢筋析氢反应具有重要意义。
目前,国内外有很多学者对电化学方法修复混凝土结构过程中以钢筋作为阴极材料的析氢反应开展了相关研究。郑靓等[7]对受氯盐污染的混凝土在电化学除盐时阴极附近产生的气体进行收集和分析,结果表明只有电流密度大小超过析氢反应临界电流密度时才能发生析氢反应。Fujimoto对中性溶液和碱性溶液的 pH 值对钢筋析氢反应影响的研究表明,pH 值越大,钢筋的析氢电位就越负。徐玉野等[9]在对热镀锌钢在混凝土模拟孔隙溶液中电化学腐蚀行为进行研究的结果中也表明,随 pH 值的增加,钢筋的析氢电位朝负向增大。Carneiro-Neto 等采用有限元模拟方法研究了电镀和腐蚀中 pH 值的改变对相关电化学系统析氢反应的影响,结果表明随着基体溶液 pH 值的增加,析氢平衡电位向负向增加。Boiadjieva-Scherzer等对 Zn-Cr 合金作为阴极的析氢反应进行了研究,结果表明与 Zn 电极相比,Zn-Cr 合金电极在较低的负电位即发生析氢反应,且析氢反应速率随电位负向增加而更快地增加。杜敏等对电沉积 Ni-S 合金阴极的析氢反应研究表明,Ni-S 合金电极的析氢反应过电位比 Fe 的约低 350mV。
然而以往的研究主要关注于钢筋在模拟孔隙溶液中的析氢反应以及不同金属材料作为阴极材料时对析氢反应的影响,对于不同内环境的混凝土中钢筋析氢电流密度的区别则鲜有报道。根据腐蚀电化学中 Nernst 方程,析氢反应平衡电位和电极周围相关反应物和产物的活度或逸度与电极材料、温度等相关。在混凝土结构中,钢筋表面的混凝土内环境如 pH 值、孔隙结构等可能对相应物质的活度产生影响,进而影响钢筋析氢平衡电位。而水灰比作为混凝土配合比中非常重要的参数,对混凝土的孔隙结构及碱度都有很大影响。因此,研究不同混凝土内环境中钢筋的析氢电流密度对电化学修复技术在实际工程应用中析氢控制条件的选择是必要的。
本文论证了动电位极化曲线测试法测试混凝土结构中钢筋析氢电流密度的合理性,并对不同水灰比的钢筋混凝土试件中钢筋的析氢电流密度进行测试;研究了不同水灰比混凝土试件中钢筋析氢反应的难易程度,最终得到了不同水灰比试件中的析氢电流密度;并对不同水灰比的混凝土中钢筋析氢反应的差异进行了分析。
2.理论与方法
2.1 动电位极化曲线测试析氢电位的理论与方法
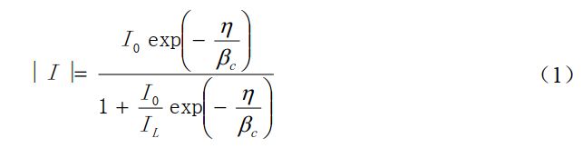
电化学反应中单个阴极反应的电流密度绝对值与过电位的关系如下:

式中,I0为相应阴极反应交换电流密度,IL 为相应阴极反应极限扩散电流密度,η为阴极过电位,βc 为 Tafel 斜率。
如果极限扩散电流密度 IL 比交换电流密度 I0 大得多,而且阴极过电位绝对值可以达到相当大而不会发生其他电极反应,整个阴极反应过电位曲线可以表现为图 1 中的曲线形式。
在半对数坐标系统中,AB 段相当于极端情况
。此时,阴极过电位曲线符合 Tafel 式,即电极反应速率只受放电过程控制。BC 段相当于放电过程和扩散过程都对电极反应速率有影响,随着过电位|η|值的增大,阴极过电位曲线逐渐偏离 Tafel 直线,扩散过程的影响愈来愈重要。最后到达 C点后,阴极电流密度的绝对值等于极限扩散电流密度,电极反应速率完全受扩散过程所控制,η的数值不再对阴极电流密度产生影响。

图 1 有浓差极化时的阴极过电位曲线
但是图 1 只是反映单个阴极反应的理想情况,并不是所有条件下都能得到完全类似图 1 的曲线。如果在 IL 并不比 I0 大很多的情况下,可以不出现 Tafel 直线段;也可能在 IL 比较大的情况下,在阴极过电位绝对值|η|还没有大到可以使|I|等于 IL 的时候,就开始了另一个阴极反应。这时阴极电流密度的绝对值将随着电极电位向负的方向变化而进一步增大。
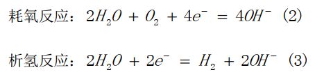
对于一般用于电化学修复中的钢筋混凝土结构中的钢筋,其阴极极化曲线就会表现出两个拐点,如图 2 所示;即在第一个 C 点之后电流密度继续增加,而不是如图 1 中 C 点结束后电流密度不再增加。图 2 中电位 E 与平衡电位 Ee 的差值为过电位。出现两个拐点的原因是在电化学修复过程中,阴极(钢筋表面)附近可能发生了如下电极反应:

在这两种反应中,氧的阴极还原反应本身的交换电流密度很小,因此在动极化过程中,随着电位的负向增加,O2 还原反应会优先发生。然而,随着电位进一步负向增加,电流密度逐渐趋近氧还原反应的极限扩散电流密度,曲线斜率的绝对值迅速变大,但是曲线斜率的绝对值并不会如图 1,最终趋于无穷大。这是由于 H2O 的还原反应在电流密度达到氧还原反应的极限扩散电流密度前已经开始进行,因此随着电位继续向负向增加,电流密度进一步增大。而极化曲线产生在第二个拐点后,逐步趋向于另一条斜直线。此时这条斜直线正是由 H2O 的还原反应控制,且由于对于 H2O 而言,一般不存在浓差极化,因此在第二个拐点后由 H2O 还原反应控制的极化曲线趋于一条斜线。Nesic 等人对于碳化腐蚀钢筋的动电位极化测试结果也表明电位及电流密度达到拐点 2 后,阴极反应由 H2O 的还原反应控制。
H2O 的还原反应会导致钢筋表面明显有 H2 生成,由析氢反应带来的负面效应-钢筋的氢脆也随之发生。因此,需要界定发生析氢反应(对混凝土中钢筋即 H2O 还原反应)的电流密度大小。而根据上述与阴极极化曲线相关的分析,可以判断临界析氢电流密度的位置很可能位于拐点 1 所对应的圆弧段。

图2 混凝土结构中钢筋的阴极极化曲线
杨兆艳对海水中 907 钢的动电位极化曲线的研究结果也指出,阴极极化曲线上第一个拐点位置可作为判断析氢反应发生的依据,但其并没有给出一个较为明确的判据以及理论依据,因为只根据阴极极化曲线来确定拐点 1 的位置只能确定一个大概的区间,因此需要做进一步分析来找到相对准确的位置来作为临界析氢电流密度位置的判据。李腾等对阴极极化曲线进行一阶求导,结果显示一阶导数在对应原阴极极化曲线第一个拐点的位置附近会发生突变,并认为突变点即为临界析氢电流密度位置所在,但是对于一阶导数判据的原理缺少论证。
考虑阴极极化曲线的一阶导数曲线,如果阴极反应只有氧的还原反应,那么根据阴极反应电流密度与过电位关系式容易得到相应阴极极化曲线的一阶导数曲线将持续增大且较为连续。而水的还原反应是在氧还原反应的电流密度未达到极限扩散电流密度 IL 之前发生的。那么,在阴极极化曲线的一阶导数曲线上,水的还原反应势必对其产生扰动,即会使阴极极化曲线的一阶导数曲线发生突变。因而可以取阴极极化曲线的一阶导数曲线上开始发生突变的位置作为临界析氢位置,相应的电位为析氢电位,相应的电流密度作为临界析氢电流密度。
2.2 影响阴极极化曲线中析氢电位的基础理论
腐蚀电化学中的 Nernst 方程如下:

其中,Ee 为平衡电位,E-标准电位,aj 为相应离子物质的活度或相应气体的逸度,R 为理想气体常数,T为热力学温度,n 为离子价位数,F 为 Faraday 常数, 为相应物质参与反应电子数。
根据 Nernst 方程,化学反应中的物质包括反应物与生成物的活度 aj 项会对平衡电位产生影响。对于H2O 的还原反应即析氢反应而言,H2 的逸度与 OH-的活度会对析氢反应的平衡电位产生影响,且两者增加都会使平衡电位负移。而析氢反应平衡电位的负移对整个阴极极化曲线的影响表现为:析氢反应的介入时机更晚,即阴极极化曲线的斜率出现波动突变更晚。析氢反应平衡电位的负移对整个阴极极化曲线的一阶导数曲线的影响表现为:曲线发生波动突变的点更加靠近电流密度增大方向。
而混凝土内环境中,pH 值和钢筋附近的孔隙结构会对钢筋表面附近析氢反应相关物质的活度产生影响。pH 值会对 H+的离子活度产生影响,钢筋附近孔隙结构会对H2 的逸度产生影响,进而对反应的平衡电位产生影响,进一步影响析氢电流密度。
3.实验过程
为了进一步验证动电位极化测试临界析氢电流密度的效果,并探究内环境不同的钢筋混凝土结构中,钢筋临界析氢电流密度的差异,本文设计了不同水灰比的混凝土试件,研究其临界析氢电流密度差异,并对试件的 pH 值以及钢筋附近孔隙大小与数量进行了测试与统计。
3.1 试件设计

(a) (b)
图 3 试件尺寸示意图(单位:mm)
钢筋混凝土试件尺寸为 150mm×150mm×100 mm,混凝土保护层厚度为 40mm,内置两根直径 12mm 的 HPB300 裸圆钢筋,长度 190mm,两端各伸出试件 20mm,如图 3。试件浇筑拆模后,在钢筋外露部分连接导线,固定后涂抹环氧树脂进行密封,防止其锈蚀。水泥采用 42.5 号普通硅酸盐水泥;砂子为Ⅱ区天然河砂,含水率为 3.3%;石子为 5~16mm 连续级配碎石,含水率为 0.6%;H2O采用清洁的民用自来水。分别采用 0.43,0.48 和 0.53 3 种水灰比,配合比见表 1,每种配合比分别设置 5 个试块。试件置于标准养护室中,养护 28 d。标准养护结束后,将试件在室外静置 90 d 再进行电化学测试。
表 1 混凝土试件配合比

3.2 测试方法
3.2.1 电化学测试
采用 Reference 600 电化学工作站对钢筋混凝土试件中的腐蚀体系进行电化学测试,电化学工作站如图 4 所示。实验前先将混凝土试件在水中浸泡 24 h,使混凝土达到饱水状态,降低混凝土试件的电阻。

图 4 动电位极化曲线测定实验装置
实验采用三电极系统,两根内置钢筋分别作为工作电极和辅助电极,参比电极为饱和甘汞电极(SCE)。动电位极化曲线测试参数为:扫描范围+0.05~-1.50V(vs.Eoc),扫描速率 20mV/min。 3.2.2 混凝土内 pH 值测试
3.2.2 混凝土内 pH 值测试
将试件破形,剔除粗骨料,分别取各试块钢筋表面 5mm 处的水泥砂浆碎块经研磨筛分,取通过 4900 孔筛的粉末约 5g,在 105oC 温度下烘干 2h 后,取出放入干燥器内备用。称取各试样 2.00g,分别放入溶液瓶中,加入 200mL 蒸馏水,摇匀,静置 48h,待样品中 Ca(OH)2 充分溶解后,采用 PH-100A pH 计测试各组溶液 pH 值。
3.2.3 混凝土气孔分布测试
使用混凝土芯样切割机将每个试件切出 3 片样品,样品厚度 15~20mm。将样品表面抛光后,使用黑色记号笔将样品表面涂黑作为底色。然后使用 BaSO4 粉末填充样品表面孔隙,形成黑白两色对,如图 5。之后采用混凝土气孔扫描仪(TR-AHS)对样品表面进行扫描,得到样品表面孔隙分布,并对钢筋附近边长为 30mm 的正方形区域的气孔数目进行统计分析。

图 5 气孔扫描测试图
TR-AHS 扫描装置见图 5。其扫描统计方式为隔断式扫描统计,具体扫描统计步骤为:(1)输入扫描的范围(本实验中扫描范围为 80mm×80mm)。(2)镜头从(-40,-40)坐标起开始拍摄图片,直至坐标(40,40)止,并自动增强图片的对比度。(3)统计气孔数量:采用间隔为 0.002mm 的平行线对图片进行扫描,遇到白色,扫描线即被隔断,每隔断一次计一个气孔,隔断长度计作该气孔直径,依次统计全部扫描区域的气孔数量与分布。
3.2.4 扫描电镜观察与分析
分别在钢筋表面附近人工凿出 3 个直径约 1cm 的混凝土块体,对每个块体表面进行清理喷金后,放置于 Phenom 台式扫描电子显微镜(SEM)下沿钢筋周围等间距分别采用 5000 和 20000 倍倍数扫描 5 个点。SEM 测试样品及装置如图 6 所示。之后对 SEM 像采用 Prometric 软件进行孔隙率分析。

图 6 电镜扫描观察与分析图
4.结果与讨论
4.1 动电极化曲线测试结果与分析
经过动电位极化曲线测试,各水灰比试件的阴极极化曲线如图 7 所示。对测得的阴极极化曲线进行一阶求导,其一阶导数曲线分别如图 8 所示。
由图 8 可知,同一水灰比的混凝土试件极化曲线一阶导数的拐点发生的位置普遍比较集中:水灰比分别为 0.43,0.48 和 0.53 时,拐点分别在-2.51,-2.68 和-2.92 附近。根据动电位极化曲线方法,第一个较为明显的拐点所对应的电位即为析氢电位,所对应的电流密度即为析氢电流密度。各拐点所对应的析氢电流密度见表 2。水灰比分别为 0.43,0.48 和 0.53 时,平均析氢电流密度分别为 0.55,0.38 和 0.22A/m2,标准差分别为 0.0734,0.1039 和 0.0311 A/m2。 各组析氢电流密度离散性均较小,且随水灰比的增大而减小,即水灰比越大,析氢反应越容易发生。

图 7 不同水灰比试样的阴极极化曲线

图 8 不同水灰比试样阴极极化曲线一阶导数
表 2 不同水灰比(W/C)各试块析氢电流密度值

4.2 混凝土内环境对析氢反应影响的讨论
根据 Nernst 方程,化学反应中的物质包括产物与生成物的活度 aj 项会对平衡电位产生影响。而混凝土内环境中可能对钢筋表面附近析氢反应相关物质的活度产生影响的因素为 pH 值和钢筋附近的孔隙结构。
pH 值而言,试件钢筋表面附近混凝土的 pH 值测试结果表明:水灰比低的试件,其 pH 值相对较高,如图 9。即随水灰比的减小,混凝土内环境的碱度增加, OH-离子活度增加,根据 Nernst 方程,如果 OH-活度项 aOH- 降低,则平衡电位 Ee 会负移,从而导致析氢过电位负移,相应的析氢电流密度增大。另一方面,pH 值的大小也会影响作为阴极的钢筋的表面状态,如粒子排列状态、钝化膜完整度以及粗糙度等。而一般情况下,阴极表面比表面积越大,其相应的析氢催化活性越高,即析氢反应发生所需过电位越低,析氢反应更容易发生。处于 pH 值较低环境中的钢筋,其表面致密氧化膜相对不够完善,钢筋表面的比表面积相对较大,相应的析氢催化活性会更高,从而析氢过电位会相对较低,析氢反应更容易发生。

图 9 不同水灰比试件 pH 值图
就钢筋附近混凝土孔隙结构而言,根据混凝土中孔隙的分类,直径大于 200nm 的孔即视为多害孔,多害孔有利于混凝土外部有害离子以及气体的入侵和扩散,同时也有利于钢筋在电化学修复过程中氢气的扩散。
在实验仪器 TR-AHS 精度范围内,通过对混凝土试件中钢筋附近 3cm×3cm 区域直径位于 0.01~0.2mm 的气孔数量进行测量统计,得到钢筋表面附近气孔直径小于 0.2mm 的平均数目统计图,见图 10。可见,水灰比较小的混凝土中,钢筋表面附近直径 0.01~0.2mm 的孔隙数量较少。

图 10 不同水灰比试件钢筋表面气孔分布平均图
对于 0.01mm 以下的孔隙,采用 5000 和 20000?两个倍数进行 SEM 观察,各试件 SEM 像见图 11 和 12 所示。在低倍数下,0.01mm 以上的孔隙基本可以避开而只统计分析 0.01mm 以下的孔隙。分别对不同水灰比试件在钢筋附近取 15 个点进行孔隙率分析。考虑到微观结构下数据的离散型,将各测点孔隙率取平均值,水灰比分别为 0.43,0.48 和 0.53 时,平均孔隙率分别为 8.34%,9.67%和 10.38%。结果表明,对于 0.01mm 以下的孔隙,水灰比越大的试件,其孔隙率越大。另外,根据两个倍数下的 SEM 像可以看出:对于水灰比为 0.43 的试件,其钢筋附近微观结构更为均匀密实。而水灰比为 0.48 和 0.53 的两组试件,
其钢筋附近微观结构显得相对松散,物相粒子连接不够紧密。尤其是对于水灰比为 0.53 的试件,明显看出其水化效果不佳的纤维状和树枝装结构,且有较多连通空洞存在。

图 11 不同水灰比试件在 5000倍率下的 SEM 像

图 12 不同水灰比试件在 20000倍率下 SEM 像
可以看出,不论 TR-AHS 扫描分析还是 SEM 扫描分析,均表明水灰比越小的试件,其钢筋表面附近的孔隙相对越少,连通性较差。而钢筋表面附近的孔隙少,孔隙连通性差,则钢筋表面阴极反应产生 H2 的扩散空间相对较小,也就是说当阴极反应产生相同的 H2,钢筋附近孔隙少的,其 H2 逸度即 aH2 项相对较高。而根据 Nernst 方程,产物逸度的增加会对反应产生阻碍。H2 作为析氢反应产物,其逸度即 aH2 项的增加,会导致平衡电位进一步负向移动,从而导致定义的临界析氢电流密度增加。
严格意义上来讲,临界析氢电流密度应该为析氢反应开始发生时的电流密度。但是如 2.1 中所述理论,本研究中动电位极化曲线确定临界析氢电流密度位置发生的方法只考虑了电化学反应中放电步骤极化和浓差极化两个主要步骤。因此,其所确定的阴极极化曲线一阶导数突变位置可能与实际的临界析氢电流密度存在一定偏差。如果实际的临界析氢电流密度小于本研究中所确定的一阶导数突变点位置,则析氢反应于突变点之前就开始进行,从而钢筋附近孔隙结构会对阴极极化曲线一阶导数曲线突变点即本研究中定义的临界析氢位置产生影响。因而孔隙结构的不同是否会对严格意义上的析氢反应开始条件产生影响,有待于进一步研究。
综合上述 pH 值和孔隙结构两种原因分析,表明水灰比小的试件,其析氢临界电位较高,析氢反应更不容易发生;水灰比大的试件,其析氢临界电位较低,析氢反应更容易发生。
5.结论
1)从理论上分析论证了采用测定动电位极化曲线的方法来测定不同水灰比的混凝土结构对应的析氢电流密度的合理性;验证了测定动电位极化曲线的方法可以用于分析电化学修复过程中析氢反应发生的情况,从而判断钢筋氢脆是否可能发生。
2)随着混凝土水灰比的增加,其析氢电位增大,析氢电流密度减小,析氢反应更容易发生。原因是低水灰比混凝土结构中 pH 值相对较高,会促使平衡电位负移,从而导致析氢过电位负移,析氢电流密度增加;低水灰比的混凝土孔隙结构更密实,不利于H2 扩散,即不利于析氢反应的正向进行而增加析氢反应的进行难度。但是,孔隙结构对严格意义上的临界析氢电流密度的影响需要进一步研究。
3)所论证的动电位极化曲线测试析氢电流密度方法在理论上主要考虑了放电过程极化和阴极附近反应物浓差极化两个主要因素。但是对于完整的电化学反应,还存在粒子吸附、脱附等步骤,这些步骤对于反应的控制也有一定影响。因此今后有必要对这些因素进行系统研究,进一步完善动电位极化曲线测试析氢电流密度的方法。
免责声明:本网站所转载的文字、图片与视频资料版权归原创作者所有,如果涉及侵权,请第一时间联系本网删除。
官方微信
《中国腐蚀与防护网电子期刊》征订启事
- 投稿联系:编辑部
- 电话:010-62316606-806
- 邮箱:fsfhzy666@163.com
- 中国腐蚀与防护网官方QQ群:140808414



