摘要
对目前绿色环保阻垢剂中研究和应用最为广泛的聚环氧琥珀酸 (PESA) 和聚天冬胺酸 (PASP) 及其衍生物、植物提取物及其衍生物、以及其他新型绿色环保阻垢剂-碳纳米粒子阻垢剂在水处理领域中的合成、改性进展以及技术难点进行综述,并分别对其未来的发展方向提出建议。
关键词: 聚天冬胺酸 (PASP) ; 聚环氧琥珀酸 (PESA) ; 化学改性 ; 植物提取物 ; 碳纳米粒子
在循环冷却水系统、海水淡化装置、二次采油工业用水等水处理领域中,结垢问题是降低用水和水处理效率、损坏设备以及产生安全隐患的最主要问题之一。目前,利用阻垢剂控制结垢是最为经济和高效的技术途径。在水处理领域中,阻垢剂的发展经历了含磷阻垢剂、共聚物类阻垢剂和绿色环保阻垢剂3个阶段。含磷阻垢剂分为无机磷阻垢剂和有机膦系阻垢剂,无机含磷阻垢剂阻垢效果差;有机膦系阻垢剂阻垢性能优异,在水处理领域应用最为广泛。但随着人们环保意识的不断提高,含磷阻垢剂由于富含P可作为微生物营养源,引起水体微生物滋生,导致水体富营养化以及加剧管网微生物腐蚀,因此含磷阻垢剂的使用逐渐受到限制。共聚物类阻垢剂同样具有较好的阻垢性能,但研究表明,共聚物类阻垢剂难以被微生物所降解,长期积累也会导致水体污染,危害人类健康[1]。因此,绿色环保阻垢剂已成为目前水处理阻垢剂的研发重点和热点。
目前,国内外学者对绿色环保阻垢剂的研发主要集中在聚天冬胺酸 (PASP) 和聚环氧琥珀酸 (PESA) 的衍生物和天然植物提取物及其衍生物上。同时,随着纳米合成技术的成熟,新型绿色环保阻垢剂-碳纳米粒子阻垢剂应用性能的相关研究也逐渐开展。因此,本文对上述3种绿色环保阻垢剂的合成、改性研究进展及技术难点进行归纳,并分别对未来的发展方向做出展望,以期为水处理领域中绿色环保阻垢剂的选择提供一定的理论指导和参考。
1 PASP和PESA的合成及其改性技术研发进展
PASP是由天门冬氨酸单体的氨基和羧基进行分子间缩合脱水而成的缩聚产物[2],其含量丰富的羧基和氨基使PASP具有较高的阻CaCO3垢和CaSO4垢特性[3]。PASP分子中具有类似于蛋白质的酰胺键结构,主链已被微生物分解成片段。研究表明,PASP在28 d内的降解率在60%以上,符合OECD标准[4]。PASP属于易生物降解物质。
PESA通常是以顺丁烯二酸酐作为原料,先后经过环氧化反应,与阴离子的聚合反应进行合成。PESA分子具有较高的羧基官能团,具有良好的阻CaCO3垢性能。同时,研究[5]表明,PESA的8 d生物降解率为69.9%,28 d生物降解率达90%,符合OECD标准,属于易生物降解物质。
然而PASP和PESA单体的阻垢分散性能还存在较多缺陷。如PASP单体的阻Ca3(PO4)2垢、分散Fe2O3性能差;PESA单体的阻CaSO4垢、阻Ca3(PO4)2垢、分散Fe2O3性能较差。同时,PASP和PESA作为单体绿色环保阻垢剂在水处理中的应用还存在投加量大、杂质含量高、耐温性能差等缺陷。因此,还需对PASP和PESA进行改性研究,以克服上述不足。
1.1 PASP和PESA的化学改性技术研发进展与技术难点
1.1.1 化学改性技术研发进展
目前,对PASP和PESA的化学改性主要是开环改性和共聚改性两种方法[6]。
开环改性法分为开环-共聚改性和开环-交联改性,主要是通过对中间体聚琥珀酰亚胺 (PSI) 或环氧琥珀酸 (ESA) 进行开环,引入特定功能性基团,再聚合或交联,以达到特定的阻垢效果。共聚法则是利用含有一种或多种功能基团的试剂与PESA或PASP进行缩聚反应,生成相对应的衍生物。但不论是开环改性技术还是共聚改性技术,其本质均是在阻垢剂的分子链主链或者支链上引入功能性基团如磺酸基 (—SO3H)、羧基 (—COOH)、氨基 (—NH2)、羟基 (—OH) 等,改变分子的极性和空间结构,以达到特定的阻垢效果或多种阻垢效果。Li等[7]给出了含有多功能基团阻垢剂分子的阻垢机理图,见图1。表1列出了PASP和PESA化学改性常见引入的功能基团的阻垢分散性和生物降解性。

图1 含多种官能团阻垢剂的阻垢机理图[8]
表1 特定功能基团及其相应的阻垢分散性[9,10,11]

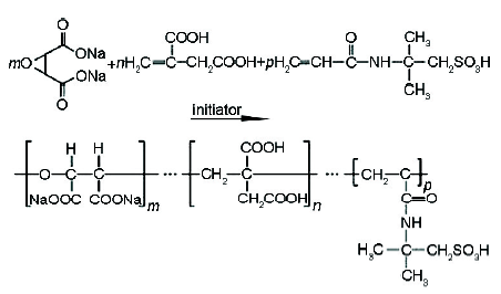
柳鑫华等[11]利用衣康酸 (IA) 与通过顺酐合成的ESA聚合制得IA-PESA,即在PESA中引入了羧基,最佳摩尔比为ESA∶IA=2∶1,合成温度95 ℃,反应时间5 h,过硫酸铵作引发剂用量为反应物的8%,产物分子量为465.28。合成反应式如下:
在Ca2+浓度为10 mmol/L时,CaCO3阻垢率可达90%以上,CaSO4阻垢率也约在95%。IA-PESA分散Fe(III) 和稳Zn2+性能均优于PESA。
(1)
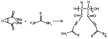
肖静等[12]利用硫脲 (CSN) 与PESA合成了改性聚环氧琥珀酸 (CSN-PESA),即在PESA中引入氨基、酰胺基和C=S双键。合成反应式如下:
当反应温度为90 ℃,CSN∶PESA的摩尔比1.1∶2,反应时间为2 h时,合成的改性环氧琥珀酸 (CSN-PESA) 阻垢效果最佳。与PESA相比,对CaCO3和Ca3(PO4)2的阻垢率提高10%~20%,均可高达90%,缓蚀率达97.8%;且有较高的钙离子容忍度,同时28 d微生物降解率达到86.2%,易生物降解。
(2)
高美玲等[13]以马来酸酐 (MA)、衣康酸 (IA) 和2-丙烯酰胺基-2-甲基丙磺酸 (AMPS) 为原料,引发剂为过硫酸铵,合成了三元共聚物 ESA/IA/AMPS,即在PESA中同时引入IA中的羧基和AMPS中的磺酸基团。通过正交试验和单因素试验的方法筛选出了共聚物的最优合成条件,原料质量比例为MA∶IA∶AMPS=3∶1∶1,引发剂过硫酸铵的质量为单体总质量的12%,聚合温度为95 ℃,最佳聚合时间为4 h。对共聚物的阻垢分散性能研究表明,三元共聚物ESA/IA/AMPS的CaCO3阻垢率为80.9%,Ca3(PO4)2阻垢率可达100%,分散Fe2O3透光率为56%。MA-IA-AMPS的合成方程式如下:
(3)
Chen等[14]以丝氨酸上的氨基作为亲核基团对PSI进行开环改性得到接枝共聚物 (Ser-PASP)。阻垢实验结果显示:Ser-PASP在浓度为4 mg/L时,对CaCO3的阻垢效率接近100%;浓度为22 mg/L时,对Ca3(PO4)2的阻垢效率达到100%,对CaSO4的阻垢效率接近100%。
表2列举了近三年国内外经化学改性的PASP和PESA衍生物的阻垢分散性能和生物降解性能测试结果。根据表1和2,通过向PASP和PESA单体中引入单种或多种功能基团,能够克服CaSO4阻垢、Ca3(PO4)2阻垢和分散Fe2O3等方面的性能缺陷;同时,部分衍生物还在较高的钙硬度、高碱度条件下仍有较高的阻垢分散性。同时,在改性的同时,通过优化分子的空间结构,可以更好地被生物所降解利用。
表2 PESA和PASP衍生物的阻垢分散性能[15,16,17,18,19]

1.1.2 技术难点
目前,通过向PASP和PESA中引入功能基团的改性技术在阻垢分散性能方面和绿色环保方面还存在着较多技术难点。
由表1可知,—OH的引入不利于阻CaCO3垢。Feng等[20]以部分乙醇胺改性的聚琥珀酰亚胺、对甲基苯磺酰氯和3-氨基-9-乙基咔唑为反应单体成功合成具有羟基、多元环等多种基团的PASP衍生物FPASP。由于分子FPASP中亲水性羧基被疏水性羟基所取代,虽然有助于对Ca3(PO4)2的吸附,但使易与CaCO3结合的羧基含量在链中降低,羟基具有影响分子链卷曲度的能力,增加空间位阻,不利于分子链缠绕Ca2+,CaCO3阻垢性能反而降低。
有研究表明[21],膦酰基团 (—PO3H2) 的引入会增加绿色阻垢剂分子对CaCO3的阻垢能力,但其阻Ca3(PO4)2和CaSO4垢的能力反而下降,因为—PO3H2增加了空间位阻,削弱了主链的阻垢作用。同时,—SO3H显著降低了阻垢剂的可生物降解性,且随着引入磺酸基比例的增加而降低,原因可能是由于引入的磺酸基团严重影响了生物降解过程中酶的聚集造成的[22]。
1.2 未来发展方向
通过以上对PASP和PESA的合成、改性及应用进展与技术难点的总结,对PASP和PESA改性未来的方向提供如下建议:
(1) 进一步优化PASP和PESA改性产物的空间结构,功能基团在阻垢剂分子主链上的键合位置与CaCO3晶体、CaSO4晶体以及Ca3(PO4)2晶体等的稳定晶型中的Ca2+间距的匹配性,也是影响其阻垢性能的关键因素。阻垢剂具有合理的空间结构,可节约改性过程中原料的使用量。同时,建议针对PASP和PESA的改性,不仅要引入弱酸基团 (如羧酸基),还需要引入亲水性较强的强酸基团 (如磺酸基、氨基等),可以有效防止弱酸基团生成不溶解的钙凝胶。
(2) 提高阻垢剂分子的可生物降解性能。通过引入一些有助于微生物降解的官能团,如亲水性酰胺基团、氨基基团、羧基基团,为微生物提供较好的湿度环境;或者引入“C=C”等;可促进生物氧化作用。
(3) 同时,阻垢剂的开发不仅限于最终产品的无毒,还要注意原料的选择和中间的合成环节,并顾及最终对生态环境的影响。进一步完善合成方法,优化合成工艺,从源头上控制污染,扩大工业使用范围。
2 植物提取物的研究进展
2.1 研究进展与技术难点
天然绿色环保阻垢剂以植物提取物为主,与传统的合成阻垢缓蚀剂相比,具有可再生、易获得、生产成本低等优点。目前,关于植物提取物作阻垢剂的研究例如淀粉 (St)、壳聚糖、菊粉和藻酸盐、木质素、单宁类是一类天然聚合物,它们含有丰富的官能团,包括羟基、羧基和氨基,具有良好的螯合和分散效果[23,24,25,26],后续研发的新的天然阻垢剂大多是对上述聚合物的化学改性。
淀粉及其接枝物是良好的环境友好型的水处理剂,由于其廉价、易得和阻垢的高效性,被广泛应用[27,28]。淀粉接枝聚丙烯酸 (St-g-PAA) 作为一种简单易得的天然聚合物基双功能水处理剂,兼具高效率的阻垢和絮凝作用,且环境友好[28]。St-g-PAA的合成条件和阻垢性能如表3所示,研究[30]表明,St-g-PAA具有良好的阻CaCO3垢性能。XRD衍射峰分析表明,St-g-PAA的加入使CaCO3晶型由稳定的方解石转变为最不稳定的文石晶型,阻垢作用明显。另一方面,由于St-g-PAA具有独特的线性支链结构和两亲水性特征而导致的分散和/或晶格畸变的影响,间接提高了已经形成的CaCO3晶体的阻垢效率[34]。图2则给出了St-g-PAA的阻垢机理图。具有不同结构形态的St-g-PAA遵循不同的阻垢机制。研究表明,在相似的接枝率下,具有较短而多的接枝链的St-g-PAA具有更好的阻CaCO3性能。
表3 典型植物提取物的阻垢性能[29,30,31,32,33]


图2 淀粉-接枝-聚 (丙烯酸) (St-g-PAA) 的阻垢机理图[34]
Macedo等[35]利用壳聚糖、水和异丙醇通过控制反应物比例和反应条件合成了水溶性羧甲基壳聚糖 (CMC),羧甲基化度均为0.45,水溶性pH值范围为1~11。CMC在150~250 mg/L浓度下与CaCO3自沉淀盐水相容。毛细管流动实验结果表明,合成的CMC可有效控制CaCO3的沉淀,在压力条件为6.895 MPa下,最低抑制浓度为170 mg/L,适用于巴西东北部油井。从阻垢机理来看,其分子结构中的—COOH、—OH和—NH2基团上的孤对电子可与钙离子产生有效相互作用,从而防止水垢沉积。
聚 (柠檬酸) (PCA)[29]是潜在的环境友好型的高性能CaSO4阻垢剂,具体阻垢性能见表3。聚柠檬酸 (PCA) 可以由柠檬酸 (CA) 制备。由于柠檬酸分子中存在3个羧基和1个羟基,因此聚合后形成的超支化分子结构含有许多羧基,可与Ca2+络合,从而在加热的模拟水环境中保持较高的钙浓度,并使CaSO4垢晶格变形,阻止CaSO4的沉积。
烟草提取物因其含有丰富的官能团 (例如—COOH和—OH),可在高碱度、高硬度的海水中保持优异的阻垢性能,具体阻垢性能见表3。烟草占烟草植物重量的60%以上,资源丰富,具有作为水处理领域阻垢剂的潜力。
2.2 未来发展方向
天然绿色阻垢剂在工业使用过程中存在用量大且性质不稳定、成本较高、产量少、难以满足工业生产所需等缺点。建议绿色天然阻垢剂未来的发展应该更加优化提取工艺,研发阈值效应优异的天然绿色阻垢剂。同时进一步对常用的植物提取物进行改性研究,以期在复杂的水质背景下,有更加高效和稳定的阻垢效果。
3 碳纳米粒子阻垢剂研发进展
纳米流体的概念由Choi等[36]于1997年提出,是指通过在碱液中分散纳米颗粒获得的新的流体,相对于传统的流体其表现出优异的导热性。纳米流体在工业热交换系统中具有广阔的应用前景,因为它们可以显著提高传热和传质效率[37]。目前,对纳米流体的研究主要集中于碳纳米颗粒、碳纳米管和碳量子点,均具有绿色环保且优异的阻垢性能。
3.1 研发进展与技术难点
3.1.1 碳纳米颗粒
Wan等[38]研究表明,粒径约在20 nm的碳纳米颗粒在水溶液中具有优异的阻CaCO3垢性能;钙硬度为600 mg/L时,添加100 mg/L碳纳米粒子,阻CaCO3率为97%。其阻垢机理为:碳纳米颗粒改变了CaCO3的晶体形式,如图3,将稳定的方解石结构转变为不稳定的文石,从而使其难以吸附在热交换表面。也有研究[39]表明,壳聚糖纳米颗粒可以将CaCO3的晶体形式从方解石变为球霰石。Kiaei等[40]制备了基于二亚乙基三胺五 (亚甲基膦酸酯) (DTPMP) 的纳米阻垢剂Ca-DTPMP,研究了其在海水水质背景下对CaCO3晶体生长的影响,认为Ca-DTPMP纳米阻垢剂可以增加溶液中Ca2+的溶解度并干扰方解石晶体的形成。

图3 空白和含有100 mg/L碳纳米颗粒的结垢溶液中形成的CaCO3晶体的SEM像[41]
3.1.2 碳纳米管 (CNTs)
碳纳米管的强吸附力使阻垢剂具有更长的保留时间和更高的吸附浓度[41]。Ghorbani等[42]利用CNTs作为载体吸附阻垢剂聚膦酸羧酸 (PPCA),使PPCA表现出更好的阻垢性能。同时,PPCA羟基化的单壁碳纳米管促进了无定形CaCO3的形成并减少了CaCO3在固体表面上的吸附,将CaCO3的主要晶体形式从方解石转变为文石。研究[43]表明,表面活化的多壁碳纳米管 (MWCNT) 可以用作硅酸钙生长的载体,添加MWCNT可以控制由CaCO3和硅酸形成的Ca2SiO4形态。
3.1.3 碳量子点 (CQDs)
碳量子点 (CQDs) 也是一种有前途的纳米材料,因为它们具有较小的粒径和亲水性含氧基团 (例如羟基 (—OH) 和羧基 (—COOH)),使其具有出色的生物相容性。至今为止,所有对碳量子点毒性的评估都表明碳量子点无毒性,对细胞生长无影响[44]。Hao等[45]通过一种简单的柠檬酸热分解方法,合成了一种新型的绿色阻垢剂羧基碳量子点 (CCQDs)。在热解温度80 ℃和热解时间30 h的条件下,得到的CCQDs羧基含量最高,其对CaSO4和BaSO4具有优异的阻垢性能。静态阻垢实验表明,在CCQD添加剂含量为25 mg/L时,阻垢效果可以达到95%。适用于pH值碱性条件大于8,且具有很高的Ca2+容忍度。Ca2+浓度为5 g/L,仍有高于90%的阻垢率,且溶液保持澄清。根据XRD衍射谱 (图4),CCQDs的投加使无水CaSO4垢转变为了半水合硫酸钙垢。CCQDs的阻垢机理如图5所示,CCQDs吸附在无机盐的微晶上,增加了颗粒之间的排斥力,阻碍了其聚集;同时,布朗运动使碳量子点的快速移动加剧了CaSO4晶体的破坏,导致CaSO4晶体异常生长而发生晶格畸变。

图4 不同CCQDs投加量下的硫酸钙垢的XRD谱[45]

图5 羧基碳量子点 (CCQDs) 阻垢剂对CaSO4阻垢机理图[45]
虽然将碳量子点首次应用于阻垢方面,为绿色环保阻垢剂的研制提供了一个全新的视野,也拓宽了碳量子点的应用范围。但也存在诸多技术难点,如在高温条件下羧基修饰碳量子点阻垢剂要想达到较好的阻垢效果其用量会比较多。在动态放大实验以及其他水质背景下的阻垢性能实验还需要进一步探究。
3.2 未来发展方向
以碳纳米粒子作为绿色阻垢剂的载体,其优势在于阻垢和分散性能更加优于传统的绿色环保阻垢剂;同时,更加适应高硬度水质条件的阻垢作用。未来的研究方向建议将更多种类的阻垢剂引入到碳纳米粒子中,探究其阻垢分散机理和性能;研究不同水质背景下,碳纳米粒子的阻垢分散适应性,并进行动态放大实验。
4 总结与展望
随着人类环保意识的不断提高,绿色高效阻垢剂的合成与应用已成为水处理领域研究的发展趋势。聚天冬胺酸 (PASP) 和聚环氧琥珀酸 (PESA) 因具有无毒、高效、可生物降解的特点而被广泛利用,但存在对高碱度、高硬度水质条件适应性较差,阻垢性能较单一等缺点,抑制了其广泛应用。因此,通过对PESA和PASP进行开环改性和共聚改性,引入阻垢功能性基团和改变分子空间结构来使其阻垢更加具有针对性、多功能性和复杂水质的适应性,这已是近几年的研究热点以及未来的研发方向。同时,植物提取物及其化学改性的衍生物因具有出色的阻垢性能、易生物降解性能和资源丰富、价格低的优势,已成为目前新型绿色环保阻垢剂的研究方向。但植物提取物主要存在投加量大、适应性较差等问题,同时其阻垢机理尚不十分明了,还有待后续更进一步的研究。以纳米颗粒作为阻垢剂载体的新型纳米粒子阻垢剂是一种新型的绿色环保阻垢剂,具有优于合成绿色阻垢剂的阻垢、分散性能,具有较大的应用潜力和价值,但目前以纳米粒子作为新型绿色环保阻垢剂的研究才刚刚起步,工业化应用及其适应性还有待进一步探究。
免责声明:本网站所转载的文字、图片与视频资料版权归原创作者所有,如果涉及侵权,请第一时间联系本网删除。
-
标签: 聚天冬胺酸 (PASP), 聚环氧琥珀酸 (PESA), 化学改性, 植物提取物, 碳纳米粒子
官方微信
《中国腐蚀与防护网电子期刊》征订启事
- 投稿联系:编辑部
- 电话:010-62316606-806
- 邮箱:fsfhzy666@163.com
- 中国腐蚀与防护网官方QQ群:140808414



