摘要
用基于Cahn-Hilliard方程的相场法研究了Fe-Cr-Ni系不锈钢中的铁素体在热老化和后续退火过程中调幅分解的演化过程,结果表明:在热老化过程中调幅分解生成相连的网络状α‘相,调幅分解引起的Cr成分波动的波长和振幅都随着热老化时间的延长而增大;在随后的退火过程中α’相逐渐溶解而Cr成分波动的振幅迅速减小,但是波长继续增大。还讨论了热老化时的调幅分解对铁素体纳米压痕硬度的影响以及退火温度对调幅分解回复(α‘相溶解)所需时间的影响,结果表明:铁素体的纳米压痕硬度主要与调幅分解的振幅有关,且随着振幅的增大而提高。同时,提高退火温度能显著缩短调幅分解回复所需的时间,退火回复时间与退火温度之间有Arrhenius形式的关系。
关键词: 金属材料 ; 调幅分解 ; 相场模型 ; 热老化 ; 退火
Fe-Cr-Ni系不锈钢在核能领域有重要的应用[1]。例如,308L不锈钢焊材可用于制造压水堆主回路接管安全端的焊接件,CF3M、CF8M和国产Z3CN20-09M等不锈钢可用于制造主回路管道[2,3,4]。Fe-Cr-Ni系不锈钢具有奥氏体-铁素体混合组织,其力学性能和耐腐蚀性能良好[5,6]。但是,在工况温度280~330℃长期服役时不锈钢中的铁素体会析出富Cr的α‘相和富Ni的G相[7,8,9],使材料产生热老化脆性[10,11,12],成为核电站运行中严重的隐患[1]。将出现热老化脆性的材料在500~600℃进行短时间(约1 h)的退火可消除α’相,降低其脆性[13,14,15]。这一发现,为延长核电站的寿命提供了有效手段[16]。
在热老化和后续退火过程中,材料力学性能的演化与材料微观结构的演化有密切的关系[17]。奥氏体的热稳定性良好,在热老化和退火过程中热稳定性的变化很小[18,19]。材料力学性能的改变,取决于铁素体内微观结构的改变。当Fe-Cr-Ni系不锈钢中铁素体的成分和温度位于其相图中的调幅分解区时,铁素体因调幅分解机制生成富Cr的α‘相和贫Cr的α相。两相晶格错配产生的内应力和两相模量的差异给位错滑移产生额外的阻力,引起材料硬化和脆化[20,21]。退火回复,则是将产生热老化脆性的材料加热到固溶隙上限温度以上进行短时间保温以使铁素体中Cr的分布均匀化和α’相溶解,使材料的力学性能回复[16,22]。
关于铁素体的调幅分解,已有大量的文献。研究人员使用原子探针技术(APT)、小角度中子散射(SANS)、扫描透射电子显微镜(STEM)、纳米压痕(Nanoindentation)等手段,研究了Cr含量、热老化温度对调幅分解速度的影响,以及α‘相的结构与成分对铁素体硬度的影响[16,23,24,25,26]。但是,调幅分解尺度只有数纳米以及α’相与基体之间没有足够的衬度区分,影响实验的准确表征[23]。同时,热老化实验的时间成本和金钱成本非常高昂。Pareige等[7]发现:经过二十余年服役状态热老化,调幅分解仍然处在初期阶段;即使是在400℃的加速热老化实验,也需要数万小时才能完成[27]。
计算模拟能快速、实时地反映材料的微观组织转变,提供了一种高效、经济的研究手段。基于Cahn-Hilliard方程[28]的相场法是研究调幅分解的模拟方法之一。用相场法可解释Fe-Cr模型合金调幅分解的实验结果[29,30,31]。尽管Fe-Cr-Ni系不锈钢中铁素体的成分远比模型合金复杂,在α‘-α两相界面处有G相析出,并且G相和调幅分解之间的协同作用[7]可能影响调幅分解的演化速度,但是铁素体调幅分解的机制与Fe-Cr模型合金的调幅分解机制相同[32]。Chung等[33]发现,退火后材料的调幅分解结构消失而G相仍存在,但是其硬度和塑性明显回复。这表明,调幅分解是产生热老化脆性的主要原因,而影响较小的G相属于次要原因。另外,在现有模型中难以直接引入G相并考虑其对调幅分解的影响。因此,本模型主要考虑调幅分解的演化,而忽略G相的演化。但是,为了使Fe-Cr相场模型更好地模拟实际铁素体的调幅分解,用Fe-Cr-Ni正规溶液自由能替代Fe-Cr正规溶液自由能以考虑Ni对Fe-Cr固溶隙宽度的影响;同时,还引入扩散系数的调整因子来修正Ni、Si等其他合金元素和G相对调幅分解演化速度的影响[34]。
本文基于包含Cahn-Hilliard方程的相场法,使用文献中的热力学数据模拟Fe-Cr-Ni系不锈钢中铁素体在热老化以及后续退火过程中调幅分解的演变,讨论热老化后铁素体的纳米压痕硬度随调幅分解振幅的变化规律以及退火温度对调幅分解回复(α’相溶解)所需时间的影响。
1 相场模型
1.1 自由能表达
体系总的自由能F包括化学能和应变能,可表示为[28]

其中,Vm为不锈钢的摩尔体积,假定其为常数;V为体系的体积;Ech为化学能密度,f为Gibbs自由能密度,K为Cr浓度的梯度能系数,c为Cr的浓度;Eel为弹性能密度,η为单位Cr浓度引起的铁素体晶格常数变化的系数,E为杨氏模量,μ为泊松比,c0为铁素体内Cr的平均浓度。
Fe-Cr-Ni系不锈钢铁素体中主要的合金元素是Cr和Ni[19]。因为Ni会改变固溶隙宽度[34],直接使用Fe-Cr正规溶液自由能可能引入较大的偏差,因此本工作使用Fe-Cr-Ni正规溶液自由能。由于Ni参与G相的形成,而本模型忽略G相的演化,故将Ni的浓度设为常量(仅代入f的表达式,但不求解)。于是f可表示为[35]

假定K只与Fe-Cr相互作用系数相关,其表达式为[35]

式中,为原子间距。
1.2 控制方程
α相和α‘相同属于铁素体,其晶格结构相同而Cr含量不同,Fe-Cr调幅分解的动力学过程实际上是Cr的扩散过程,特别是上坡扩散过程。因此,控制方程只使用描述Cr浓度场演化的Cahn-Hilliard方程[28]

Fe-Cr-Ni系不锈钢的成分远比Fe-Cr模型合金复杂,如果直接使用Fe-Cr互扩散实验[40]给出的扩散系数Di,得到的模拟结果会明显滞后于文献[19]中热老化和退火的实验结果。产生这种差异的原因可能有:Ni、Si等其他合金元素促进Fe、Cr的扩散[41],G相加速调幅分解波长、振幅随时间的演化[7],以及更高温度下测定的扩散系数同热老化、退火温度下的扩散系数真值之间存在偏差。因此,本文参照文献[42]的方法在式(8)中引入调整因子d。通过改变扩散速度调整调幅分解波长、振幅随时间的演化速度,使模拟结果与实验结果一致。根据文献[19]热老化7000 h和后续退火1 h的实验结果,d的取值标定为10.7。这样,标定后的物理模型可在实验点以外作适当的模拟预测。
1.3 模拟条件
本文建立了一个尺寸为30 nm×30 nm×60 nm的三维模拟区域,控制方程为偏微分方程,采用有限单元法(FEM)[43] 求解,单元为0.5 nm×0.5 nm×0.5 nm的六面体,时间步长为0.001 h,边界条件为Neumann边界条件。先模拟在410℃下热老化7000 h的演化,之后升温到550℃模拟退火1 h的演化;Cr的初始浓度及其波动范围、Ni的平均浓度都与文献[19]中308L不锈钢的实验数据相同。模拟参数的设定列于表1,表1中和
随温度的变化与f和Di随温度的变化相比很小,因此在本模拟中设这些参数与温度无关。
表1 相场模型使用的参数值

2 模拟结果
图1给出了相场模拟的热老化和退火过程中不同时间Cr的分布。采用略高于平均Cr浓度的35%为等浓度面作图[19],以其作为α’和α的相界面则等浓度面包围的区域为α‘相,外部为α相。图1a1中相场模型初始状态的Cr分布和图2a中未热老化样品的实验结果都表明:在热老化之前样品中原本就存在Cr浓度高于35%的颗粒状团簇,在基体中随机分布。在410℃热老化后(图1a2~a5)已有的α’相随着调幅分解的进行逐渐长大,并产生新的α‘相。这些α’相渐渐相连,形成调幅分解标志性的网络状结构。之后,设定模拟温度为550℃模拟退火过程(实验中,样品到温入炉后很快达到退火温度,升温时间与退火时间相比很短,故在模拟中忽略升温过程的影响)。如图1b1~b5所示,可见α‘相逐渐溶解,调幅分解的网络结构消失,而未热老化时Cr含量较高的团簇在退火过程中需要更长的时间才能溶解。模拟结果表明,经过1.23 h的退火后(图1b4)Cr成分波动的振幅恢复到初始值(5.21%),2.35 h后(图1b5)Cr浓度高于35%的α’相完全溶解。分别对比热老化7000 h的模拟结果(图1a5)与实验结果(图2b)和退火1 h的模拟结果(图1b3)与实验结果(图2c),可见相场模型良好地复现了308L中铁素体在热老化及退火过程中调幅分解的演化(图2a和2c中,α‘相在样品顶端有部分聚集,可能是样品中Cr浓度分布不均匀所致)。

图1 模拟的热老化和退火不同时间的Cr浓度分布,图中的等值面为35% Cr(原子分数)

图2 文献[19]中APT实验测得的Cr元素分布
为了与实验一维成分分布的结果对比,提取模型高度方向一条直线上Cr的浓度数据,并分析其频率分布,结果如图3所示。模拟与实验的一维成分分布曲线(图3a)有相似的波长和振幅。尽管退火后实验曲线(图3a3蓝色实线)的波长明显小于模拟曲线,但是平滑后(图3a3红色实线)则与模拟曲线的波长接近。对比模拟与实验的频率分布曲线(图3b),可见两者频率分布曲线的形式大致相同:未热老化时模拟和实验的Fe、Cr浓度频率分布都满足二项分布(Binomial frequency distribution);热老化7000 h后都偏离二项分布,且在高Cr(低Fe)浓度范围内的频率分布增加;退火1 h后,又恢复二项分布。但是模拟和实验的频率分布曲线也有一定差别——模拟的浓度分布更加集中,并且Fe的曲线整体向高浓度方向偏移。模拟的浓度分布比实验更加集中,其主要原因是APT需要对包含一定原子数量的区块进行采样统计取平均,得到的浓度值不连续并且其变化可能比真实情况更加平缓[46];Fe的曲线整体向高浓度方向偏移的主要原因则是,若保持Cr、Ni浓度分别与308L铁素体中Cr、Ni浓度一致,则其他合金元素都将计为Fe的浓度,自然引起Fe的模拟曲线整体向高浓度方向偏移。

图3 模拟的Cr一维成分分布、频率分布与实验结果[19]的对比
3 讨论
3.1 调幅分解的波长、振幅随着热老化和退火时间的变化
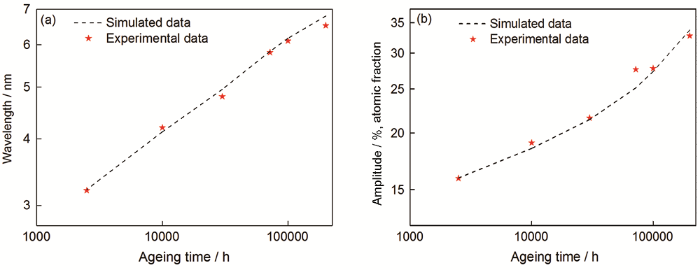
调幅分解的波长(λ),是Cr浓度峰值点到下一个峰值点的平均距离,可由一维成分曲线的自相关分析(Autocorrelation analysis)得到[46]。取图3中数据的采样直线上不同时间的一维成分分布进行自相关分析,得到调幅分解的波长随热老化和退火时间的变化,如图4所示。在热老化过程中,模拟和实验得到的波长都随着时间的延长而增大,模拟曲线的形式与文献[46]的模拟结果类似。在退火过程中,由于温度位于固溶隙以外α’相溶解、Cr浓度均匀化,波长应该随着退火的进行而增大。但是,退火后的实验曲线(图3a3蓝色实线)甚至比未经热老化的实验曲线(图3a1)波长更小,说明退火后成分分布曲线的波动可能是APT自身的波动所致。将实验曲线平滑处理后(图3a3红色实线),再进行自相关分析得到的波长值为6.00 nm,与模拟值5.42 nm接近。

图4 模拟的调幅分解波长随着热老化时间和退火时间的变化,图中星形为308L不锈钢的实验结果[19]
调幅分解的振幅(A),是α‘和α两相的平均Cr浓度之差[46],其随着热老化和退火时间的变化如图5所示。在热老化过程中模拟曲线呈“S型”增长,表明调幅分解经历了慢-快-慢的演变过程,曲线形式与文献[46]的模拟结果类似。退火时较高的温度显著提高了Fe、Cr的扩散速度,振幅很快地降低,1 h的模拟值为6.69%,与实验值6.62%接近。

图5 模拟的调幅分解的振幅随热老化时间和退火时间的变化,图中的星形为308L不锈钢的实验结果[19]
本文的模型也适用于模拟其他Fe-Cr-Ni系不锈钢铁素体的调幅分解。调整模型中Cr的初始浓度、波动范围、Ni的平均浓度以及热老化温度,同文献[7]中CF3M双相钢的实验数据一致,并模拟CF3M中铁素体调幅分解波长、振幅的演化(图6)。模拟结果与实验的结果接近,表明模型具备较大的适用范围。对比图6和图4a、图5a,可见热老化温度降低、Cr浓度下降显著减慢调幅分解的演化,与调幅分解的一般规律相符。

图6 模拟的调幅分解波长和振幅随热老化时间的变化,图中星形为CF3M双相钢的实验结果[7]。注意此处=27.38%(原子分数),=5.42%(原子分数),T=623 K
3.2 调幅分解振幅与铁素体纳米压痕硬度的关系
热老化时铁素体发生调幅分解,其屈服强度和硬度升高而韧性降低;奥氏体难以发生调幅分解,其力学性能变化较小。因此,Fe-Cr-Ni系不锈钢的宏观力学性能取决于两相的比例,例如:以铁素体为主的S2205钢的屈服强度随热老化的进行显著升高[22];以奥氏体为主的308L、Z3CN20-09M钢的屈服强度随热老化的进行只略微升高[3,47]。
Lin等[48]使用纳米压痕测定了文献[19]中同一308L不锈钢样品的铁素体在不同热老化时间后的硬度变化。结果表明,铁素体的硬度随热老化时间呈“S型”增长,其形状(图7中的红色实线)与图5中调幅分解的振幅变化曲线类似。对此,本文简要探讨调幅分解的振幅同铁素体的纳米压痕硬度()的关系。Kato[20]和Park[21]基于连续介质力学理论,提出了用于解释调幅分解对铁素体屈服强度影响的Kato-Park模型
![]()
式中第一项为α’相和α相晶格错配对铁素体屈服强度的贡献,第二项为两相模量差异的贡献,
为铁素体屈服强度增量,m为泰勒因子(m=3.06),A为调幅分解的振幅,为单位Cr浓度引起的铁素体晶格常数变化的系数,Y与杨氏模量E相关(,μ为泊松比),b为位错Burgers矢量的模,为调幅分解的波长。若各参数取值同表1并以初始状态的铁素体屈服强度为基准,将模拟得到的热老化不同时间的A、值代入式(9),可计算出铁素体屈服强度增量,如图7中的虚线所示。

图7 使用式(9)计算出的铁素体屈服强度增量和文献[48]中铁素体纳米压痕硬度增量与热老化时间的关系
从式(9)中可以看出,
主要受A的影响,两者之间呈正相关,而的影响较小[21]。另外,有研究[49,50]表明,在双相钢的铁素体中有如下近似关系:

式中 为铁素体纳米压痕硬度增量,
为铁素体维氏硬度增量,
为铁素体屈服强度增量。显然有:

由此可见,也主要受A的影响,且随着A的增大而增大。式(12)的近似关系也反映在图7中,这就解释了为何铁素体的纳米压痕硬度随时间的变化曲线同调幅分解的振幅随时间的变化曲线相似,同时这种相似性从侧面反映了本工作相场模型的有效性。
3.3 退火温度对调幅分解回复所需时间的影响
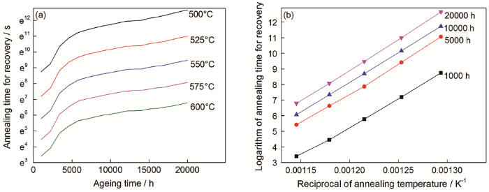
鉴于模型与实验结果[7,19]符合较好,计算了不同热老化时间(0~20000 h)后308L不锈钢铁素体在不同退火温度(500~600℃)回复到初始状态(以振幅下降到初始值5.21%为判断标准)所需要的退火时间,结果如图8a所示。热老化2500~5000 h后退火回复时间显著提高,5000 h后曲线逐渐趋于平缓。如图5a所示,调幅分解的振幅在2500~5000 h之间迅速增大,5000 h后则缓慢增大。因此,以振幅下降到初始值为判断标准的退火回复时间,具有相似的变化趋势。并且,提高退火温度能显著缩短退火回复时间。其原因是,温度越高热激活越显著,扩散系数越大。研究表明,不锈钢中的热激活过程服从Arrhenius形式的关系式[14,51]
![]()
其中,分别为
温度下达到相同状态所需的时间,Q为相应的激活能,R为理想气体常数。图8a中以退火回复时间的自然对数为纵坐标时,不同温度的曲线近似平行,与式(13)的形式相符。为了进一步确定退火回复时Q的取值,取热老化不同时间后退火回复时间的自然对数对退火绝对温度的倒数作图(图8b),使用线性回归得到直线斜率的平均值为38031 K,进而计算出

图8 模拟的不同退火温度下回复到初始状态所需要的退火时间随热老化时间的变化,以及热老化不同时间后退火回复时间的自然对数同退火绝对温度的倒数的关系
4 结论
(1) 以Fe-Cr-Ni正规溶液自由能为基础建立的Fe-Cr相场模型,标定参数后能良好地描述Fe-Cr-Ni系不锈钢中铁素体在热老化和退火过程中调幅分解的演化。
(2) 模拟与实验结果符合得很好:热老化引起铁素体的调幅分解,生成彼此相连的网络状α‘相;Cr成分波动的波长和振幅都随着热老化时间的延长而增大;退火使α’相完全溶解,Cr成分波动的振幅随之降低而波长继续增大。
(3) 热老化后铁素体的纳米压痕硬度主要受调幅分解振幅影响,因为屈服强度与振幅正相关(Kato-Park模型),而纳米压痕硬度增量与其屈服强度增量之间又存在近似的正比关系。
(4) 提高退火温度可显著降低调幅分解回复(α‘相溶解)所需的时间。热老化相同时间后在不同温度下退火达到相同的退火回复状态,需要的时间与退火温度之间存在Arrhenius形式的关系。
参考文献
[1] Zhang B, Xue F, Li S L, et al. Non-uniform phase separation in ferrite of a duplex stainless steel [J]. Acta Mater., 2017, 140: 388
[2] Dong L, Han E H, Peng Q J, et al. Environmentally assisted crack growth in 308L stainless steel weld metal in simulated primary water [J]. Corros. Sci., 2017, 117: 1
[3] Brooks J A, Thompson A W. Microstructural development and solidification cracking susceptibility of austenitic stainless steel welds [J]. Int. Mater. Rev., 1991, 36(1): 16
[4] Wang W, Luo K L, Lu Y H. Microstructure of welding seam and its effect on propagation of microcracks in nuclear grade Z3CN20-09M stainless steel [J]. Chin. J. Mater. Res., 2014, 28(11): 809
[4] (王玮, 罗奎林, 陆永浩. 核级不锈钢Z3CN20-09M焊缝组织及对裂纹扩展的影响 [J]. 材料研究学报, 2014, 28(11): 809)
[5] Vitek J M, David S A, Alexander D J, et al. Low temperature aging behavior of type 308 stainless steel weld metal [J]. Acta Mater., 1991, 39(4): 503
[6] Takeuchi T, Kameda J, Nagai Y, et al. Study on microstructural changes in thermally-aged stainless steel weld-overlay cladding of nuclear reactor pressure vessels by atom probe tomography [J]. J. Nucl. Mater., 2011, 415(2): 198
[7] Pareige C, Novy S, Saillet S, et al. Study of phase transformation and mechanical properties evolution of duplex stainless steels after long term thermal ageing (>20 years) [J]. J. Nucl. Mater., 2011, 411(1-3): 90
[8] Vitek J M. G-phase formation in aged type 308 stainless steel [J]. Metall. Mater. Trans. A, 1987, 18(1): 154
[9] Danoix F, Auger P. Atom probe studies of the Fe-Cr system and stainless steels aged at intermediate temperature: a review [J]. Mater. Charact., 2000, 44(1-2): 177
[10] Soriano-Vargas O, Avila-Davila E O, Lopez-Hirata V M, et al. Effect of spinodal decomposition on the mechanical behavior of Fe-Cr alloys [J]. Mater. Sci. Eng. A, 2010, 527(12): 2910
[11] Chung H M, Leax T R. Embrittlement of laboratory and reactor aged CF3, CF8, and CF8M duplex stainless steels [J]. Mater. Sci. Technol., 1990, 6(3): 249
[12] Guo X F, Ni Y Y, Gong J M, et al. Formation of G-phase in 20Cr32Ni1Nb stainless steel and its effect on mechanical properties [J]. Acta Metall. Sin. (Engl. Lett.), 2017, 30(9: 829
[13] Mateo A, Palomino J L, Salan N, et al. Mechanical evaluation of a reversion heat treatment for a duplex stainless steel thermally embrittled [A]. Proceedings of the 11th Biennial European Conference on Fracture [C]. Warley, 1996
[14] Chung H M. Aging and life prediction of cast duplex stainless steel components [J]. Int. J. Pres. Ves. Pip., 1992, 50(1-3): 179
[15] Konosu S. Effect of reversion heat treatments on the mechanical properties of a 13% Cr steel subjected to 475℃ embrittlement [J]. Scr. Mater., 1992, 26(10): 1631
[16] Li S L, Zhang H L, Wang Y L, et al. Annealing induced recovery of long-term thermal aging embrittlement in a duplex stainless steel [J]. Mater. Sci. Eng. A, 2013, 564: 85
[17] Ding X P, Liu X, He Y L, et al. Evolution of precipitated phase during aging treatment in 316L austenitic stainless steel [J]. Chin. J. Mater. Res., 2009, 23(3): 269
[17] (丁秀平, 刘雄, 何燕霖等. 316L奥氏体不锈钢中时效条件下析出相演变行为的研究 [J]. 材料研究学报, 2009, 23(3): 269)
[18] Takeuchi T, Kameda J, Nagai Y, et al. Microstructural changes of a thermally aged stainless steel submerged arc weld overlay cladding of nuclear reactor pressure vessels [J]. J. Nucl. Mater., 2012, 425(1-3): 60
[19] Lin X D, Peng Q J, Han E H, et al. Effect of annealing on microstructure of thermally aged 308L stainless steel weld metal [J]. Acta Metall. Sin., 2019, 55(5): 555
[19] (林晓冬, 彭群家, 韩恩厚等. 退火对热老化308L不锈钢焊材显微结构的影响 [J]. 金属学报, 2019, 55(5): 555) doi: 10.11900/0412.1961.2018.00365
[20] Kato M. Hardening by spinodally modulated structure in bcc alloys [J]. Acta Mater., 1981, 29(1): 79
[21] Park K H, LaSalle J C, Schwartz L H, et al. Mechanical properties of spinodally decomposed Fe-30wt% Cr alloys: Yield strength and aging embrittlement [J]. Acta Mater., 1986, 34(9): 1853
[22] Shamanth V, Ravishankar K S. Dissolution of alpha-prime precipitates in thermally embrittled S2205-duplex steels during reversion-heat treatment [J]. Results Phys., 2015, 5: 297
[23] Xu X, Westraadt J E, Odqvist J, et al. Effect of heat treatment above the miscibility gap on nanostructure formation due to spinodal decomposition in Fe-52.85 at% Cr [J]. Acta Mater., 2018, 145: 347
[24] Ujihara T, Osamura K. Kinetic analysis of spinodal decomposition process in Fe-Cr alloys by small angle neutron scattering [J]. Acta Mater., 2000, 48(7): 1629
[25] Leax T R, Brenner S S, Spitznagel J A. Atom probe examination of thermally ages CF8M cast stainless steel [J]. Metall. Mater. Trans. A, 1992, 23(10): 2725
[26] Danoix F, Auger P, Chambreland S, et al. A 3D study of G-phase precipitation in spinodally decomposed α-ferrite by tomographic atom-probe analysis [J]. Microsc. Microanal. Microstruct., 1994, 5(2): 121
[27] Fujii K, Fukuya K. Effects of radiation on spinodal decomposition of ferrite in duplex stainless steel [J]. J. Nucl. Mater., 2013, 440(1-3): 612
[28] Cahn J W. On spinodal decomposition [J]. Acta Mater., 1961, 9(9): 795
[29] Miller M K, Hyde J M, Hetherington M G, et al. Spinodal decomposition in Fe-Cr alloys: Experimental study at the atomic level and comparison with computer models-I. Introduction and methodology [J]. Acta Mater., 1995, 43(9): 3385
[30] Li Y S, Li S X, Zhang T Y. Effect of dislocations on spinodal decomposition in Fe-Cr alloys [J]. J. Nucl. Mater., 2009, 395(1-3): 120
[31] Li Y S, Zhu H, Zhang L, et al. Phase decomposition and morphology characteristic in thermal aging Fe-Cr alloys under applied strain: A phase-field simulation [J]. J. Nucl. Mater., 2012, 429(1-3): 13
[32] Emo J, Pareige C, Saillet S, et al. Kinetics of secondary phase precipitation during spinodal decomposition in duplex stainless steels: A kinetic Monte Carlo model - Comparison with atom probe tomography experiments [J]. J. Nucl. Mater., 2014, 451(1-3): 361
[33] Theus G J, Weeks J R. Environmental Degradation of Materials in Nuclear Power Systems-Water Reactors [M]. Pennsylvania: The Metallurgical Society of AIME, 1988
[34] Miller M K, Anderson I M, Bentley J, et al. Phase separation in the Fe-Cr-Ni system [J]. Appl. Surf. Sci., 1996, 94: 391
[35] Cahn J W, Hilliard J E. Free energy of a nonuniform system. I. Interfacial free energy [J]. J. Chem. Phys., 1958, 28(2): 258
[36] Dinsdale A T. SGTE data for pure elements [J]. CALPHAD, 1991, 15(4): 317
[37] Miettinen J. Thermodynamic reassessment of Fe-Cr-Ni system with emphasis on the iron-rich corner [J]. CALPHAD, 1999, 23(2): 231
[38] Andersson J O, Agren J. Models for numerical treatment of multicomponent diffusion in simple phases [J]. J. Appl. Phys., 1992, 72(4): 1350 doi: 10.1063/1.351745
[39] Wheeler A A, Boettinger W J, McFadden G B. Phase-field model for isothermal phase transitions in binary alloys [J]. Phys. Rev. A, 1992, 45(10): 7424 doi: 10.1103/PhysRevA.45.7424
[40] Dieter G E, Bacon D J. Mechanical Metallurgy [M]. New York: McGraw-Hill, 1986
[41] Rothman S J, Nowicki L J, Murch G E. Self-diffusion in austenitic Fe-Cr-Ni alloys [J]. J. Phys. F, 1980, 10(3): 383
[42] Honjo M, Saito Y. Numerical simulation of phase separation in Fe-Cr binary and Fe-Cr-Mo ternary alloys with use of the Cahn-Hilliard equation [J]. ISIJ Int., 2000, 40(9): 914.
[43] COMSOL Multiphysics software. Version 5.3. Stockholm (Sweden): COMSOL Inc. 2017
[44] Mehrer H, Stolica N. Diffusion in Solid Metals and Alloys [M]. Berlin: Springer, 1990
[45] Pareige C, Emo J, Saillet S, et al. Kinetics of G-phase precipitation and spinodal decomposition in very long aged ferrite of a Mo-free duplex stainless steel [J]. J. Nucl. Mater., 2015, 465: 383
[46] Hyde J M, Miller M K, Hetherington M G, et al. Spinodal decomposition in Fe-Cr alloys: Experimental study at the atomic level and comparison with computer models-II. Development of domain size and composition amplitude [J]. Acta Mater., 1995, 43(9): 3403
[47] Li S, Wang Y, Li S, et al. Microstructures and mechanical properties of cast austenite stainless steels after long-term thermal aging at low temperature [J]. Mater. Des., 2013, 50: 886
[48] Lin X, Peng Q J, Han E H, et al. Assessment of thermal aging of austenitic stainless steel weld metal by using the double loop electrochemical potentiokinetic reactivation technique [J]. Corrosion, 2018, 75(4): 377
[49] Liu X, Wang R, Ren A, et al. Evaluation of radiation hardening in ion-irradiated Fe based alloys by nanoindentation [J]. J. Nucl. Mater., 2014, 444(1-3): 1
[50] Tabor D. The physical meaning of indentation and scratch hardness [J]. Br. J. Appl. Phys., 1956, 7(5): 159
[51] Pumphrey P H, Akhurst K N. Aging kinetics of CF3 cast stainless steel in temperature range 300~400℃ [J]. Mater. Sci. Technol., 1990, 6(3): 211 doi: 10.1179/mst.1990.6.3.211
免责声明:本网站所转载的文字、图片与视频资料版权归原创作者所有,如果涉及侵权,请第一时间联系本网删除。
官方微信
《中国腐蚀与防护网电子期刊》征订启事
- 投稿联系:编辑部
- 电话:010-62316606-806
- 邮箱:fsfhzy666@163.com
- 中国腐蚀与防护网官方QQ群:140808414



