温度与SRB协同作用下X70钢在海泥模拟溶液中应力腐蚀行为研究
摘要
研究了温度对硫酸盐还原菌 (SRB) 活性的影响,并采用慢应变速率拉伸实验研究了不同温度下X70钢在含SRB的海泥模拟溶液中应力腐蚀行为及其开裂机理。结果表明,SRB在海泥模拟溶液中生存温度范围为20~40 ℃,且随温度增加,SRB活性增加,数量增大。X70钢表面生物膜保护性与SRB活性和数量密切相关。20 ℃时,由于SRB数量最少,X70钢在含SRB海泥中应力腐蚀开裂 (SCC) 敏感性最小;30 ℃时,X70钢表面的生物膜与基体金属构成大阴极小阳极面积比的腐蚀原电池,耐蚀性最低,此时SCC机理为阳极溶解和氢致开裂共同作用下的混合断裂;40 ℃时SRB活性最好,X70钢表面形成较为完整生物膜,耐蚀性最好,但SCC敏感性最高,其开裂机理为氢致开裂。
关键词: X70钢 ; 海泥模拟溶液 ; 温度 ; 硫酸盐还原菌 ; 应力腐蚀开裂
Abstract
The stress corrosion cracking (SCC) behavior of X70 steel in an artificial sea mud solution containing SRB at different temperatures were studied by slow strain rate tensile tests. The results showed that SRB survived in the range of 20~40 ℃ in the artificial sea mud solution. The temperature has a great influence on the SRB activity. The activity and amount of SRB increased with the increase of temperature. The protectiveness of the biofilm formed on X70 steel surface was closely related with the activity and quantity of SRB. The amount of SRB was the least at 20 ℃, which resulted in the lowest SCC sensitivity of X70 steel in the simulated sea mud solution. At 30 ℃, corrosion galvanic cell with large ratio of cathode area to anode area could formed between the biofilm and the steel substrate, while the fracture of X70 steel was the mixed ductile-brittle fracture due to the action of anodic dissolution and hydrogen-induced cracking. The relatively complete biofilm formed on X70 steel at 40 ℃, in that case however, X70 steel exhibited the highest SCC sensitivity and the cracking mechanism was hydrogen induced cracking.
Keywords: X70 steel ; artificial sea mud solution ; temperature ; sulfate-reducing bacteria ; stress corrosion cracking
陈旭, 马炯, 李鑫, 吴明, 宋博。 温度与SRB协同作用下X70钢在海泥模拟溶液中应力腐蚀行为研究。 中国腐蚀与防护学报[J], 2019, 39(6): 477-483 DOI:10.11902/1005.4537.2019.004
CHEN Xu, MA Jiong, LI Xin, WU Ming, SONG Bo. Synergistic Effect of SRB and Temperature on Stress Corrosion Cracking of X70 Steel in an ArtificialSea Mud Solution. Journal of Chinese Society for Corrosion and Protection[J], 2019, 39(6): 477-483 DOI:10.11902/1005.4537.2019.004
随着国内外海上石油资源的广泛开发和应用,海底油气管道数量日益增加,其大部分浸没于海泥中,而一小部分浸没于海水中,遭受着海泥及海水的强烈腐蚀[1]。除此之外,海泥中含有大量的微生物,其中硫酸盐还原菌 (SRB) 对金属材料的腐蚀危害性最大[2,3]。因此,研究海底管线在海泥中的腐蚀行为和机理十分重要。
应力腐蚀开裂 (SCC) 是指由应力和腐蚀介质共同作用所产生的材料破坏过程。这个过程往往是突发性的、灾难性的,并引起爆炸、火灾之类事故,因而是破坏形式最大的腐蚀形态之一[4,5]。油气管道的SCC事故在世界范围内屡见不鲜,加拿大、美国、前苏联、澳大利亚、伊朗和巴基斯坦等国家都有报道[6,7]。因此,研究SCC对确保安全生产、提高生产效率具有重要意义,国内外科研及工程人员对应力腐蚀进行了大量的研究。王胜荣等[8]研究了Q235与X70钢在新加坡土壤中的应力腐蚀行为,结果表明,点蚀的发生和酸性土壤环境促进了Q235钢与X70钢SCC的发生,SCC过程主要受阳极溶解控制,同时可能存在氢致开裂的混合控制。王炳英等[9]研究了X80管线钢在近中性pH值溶液中的SCC行为,结果表明,随着外加电位的负移,X80管线钢的SCC敏感性增加,应力腐蚀断口呈现穿晶准解理特征。Eslami等[10]研究了X65钢在近中性pH值溶液中的SCC行为,结果表明,压力和点蚀是增加裂纹萌生最可能的因素,微裂纹产生于点蚀坑处。
另一方面,现场失效分析表明,SRB或其他微生物对SCC过程有促进作用[11,12,13,14]。随后实验室开展了微生物致SCC的研究。Wu等[15]研究了X80钢在近中性pH值溶液中外加电位与SRB协同作用下的SCC行为,认为随阴极保护程度增加,SRB作用减弱;SRB在快速繁殖期对SCC敏感性影响最大。Biezma[16]评价了在微生物腐蚀 (MIC) 过程中氢的作用,指出SCC裂纹萌生和扩展速率取决于SRB的数量。SRB是氢的主要来源,能在局部化学条件上起主要作用。
温度对微生物的生长活性和生长周期有很大影响,进而可能对金属的腐蚀行为产生影响。然而,SRB对管线钢在不同温度下SCC行为的影响鲜有报道。本实验以X70钢为材料,以海泥模拟溶液为实验介质,探究在SRB与温度协同作用下X70钢在海泥中SCC行为及其开裂机制。
1 实验方法
1.1 实验材料和溶液
实验材料为X70管线钢,其化学成分 (质量分数,%) 为:C 0.045,Si 0.26,Mn 1.48,Nb 0.033,Ni 0.16,Cr 0.17,Cu 0.21,S 0.001,P 0.0017,Fe余量。线切割慢应变速率拉伸实验 (SSRT) 试样的形状和尺寸如图1所示。试样依次用80~2000号水砂纸逐级打磨,打磨方向为试样轴向,以避免可能的预裂纹。打磨后用去离子水、丙酮清洗,去掉表面的油污。

图1 SSRT试样示意图
实验用海泥取自三亚浅海海底,对其进行理化数据分析检测。根据检测结果中海泥的主要成分和pH值等理化数据特征,用分析纯化学试剂和去离子水配置实验室用海泥模拟溶液,最终得到模拟溶液的化学成分为:10.906 g/L NaCl,15.162 g/L Na2SO4。溶液用5% (体积分数) 的NaOH溶液调节pH值到8.0。
1.2 SRB培养和富集
SRB通过海泥分离纯化获得。使用液体培养基 (I) 为0.5 g/L K2HPO4+0.5 g/L Na2SO4+1 g/L NH4Cl+0.1 g/L CaCl2+2 g/L MgSO4·7H2O+1 g/L酵母粉+乳酸钠3 mL,用5%NaOH溶液调节培养基pH值至7.2,在121 ℃压力蒸汽灭菌器中消毒15 min,冷却后加入经圆筒式过滤器紫外线杀菌处理的培养基II (0.1 g/L抗坏血酸+0.1 g/L保险粉+0.1 g/L硫酸亚铁铵)。接种操作在生物安全柜中进行,按照1∶1∶2的比例混合培养基I、II和模拟溶液,再按照1∶50的比例接种SRB,即为有菌介质。调节后的有菌溶液放入生化培养箱恒温培养,培养温度分别为10,20,30,40和50 ℃。
1.3 SRB生长曲线及自腐蚀电位测量
采用光密度 (OD值) 测量SRB在不同温度的溶液中的生长曲线。当光线通过细菌悬浊液时,光线的透光量会因菌体的散射和吸收而降低。细菌的浓度与透光量之间成反比。光密度或者透光度可以通过紫外分光光度计准确测出[17]。因此通过测定OD值,绘制OD值-时间曲线,就可以得出细菌浓度随时间的变化规律,即生长曲线。本实验采用UV-2550型紫外分光光度计,每天测定实验介质的OD值。
电化学测试系统采用两电极体系,工作电极为X70管线钢,参比电极为饱和甘汞电极 (SCE)。用万用表每天测量不同温度下X70钢在含SRB的海泥模拟溶液中的自腐蚀电位 (Ecorr)。
1.4 SSRT实验
在WDML-3型应力腐蚀试验机上进行SSRT实验。拉伸试样取中间段25 cm,并进行标记,在此标记范围之外用704硅胶对试样进行密封,只留出中间段。将封好的拉伸试样放在特制的容器中,注入有菌溶液,并用硅胶密封浸泡4 d后开始拉伸。拉伸速率为10-6 s-1。拉伸时,保持SRB培养温度恒定。试样拉断后,用除锈液超声清洗,酒精擦拭,吹干,测量试样断口的截面面积和试样的延伸量,计算试样的断口收缩率和延伸率。用SU8010型场发射电子扫描显微镜 (FE-SEM) 对拉伸试样断口及侧面的形貌进行观察。
1.5 SCC敏感性评价
根据应力腐蚀前后的断面收缩率和延伸率的变化来评定应力腐蚀开裂敏感性的大小:
式中,Φ为试样的断面收缩率,δ为试样的延伸率,A0和A1分别为初始横截面和断口横截面的面积,L0和L1分别为初始标距长度和拉断后的标距长度。Φ和δ越小,表示材料的应力腐蚀开裂的倾向性越大,应力腐蚀的程度越严重。
2 实验结果
2.1 温度对SRB生长曲线的影响
OD值测量结果表明,SRB在10和50 ℃条件下不能繁殖。SRB在20,30和40 ℃下的生长曲线如图2所示。在20 ℃时,1~5 d内SRB处于对数生长期,OD值快速增加;在5~9 d时OD值达到最大值,此时处于一段稳定期,即新增SRB数量与死亡SRB数量基本持平;10~14 d时OD值持续降低,SRB进入衰亡阶段,即SRB死亡数量大于新繁殖数量。在30 ℃条件下,OD值明显增加,表明SRB的繁殖数量增加,1~3 d为粘滞生长期,4~6 d为对数生长期,6~10 d时 OD值稳定在最大值,SRB处于稳定生长期,11~14 d时SRB进入衰亡期。在40 ℃条件下,前7 d时曲线位于最上方,表明40 ℃为SRB繁殖最适宜温度,1~6 d内SRB急剧增长,OD值变化较大,然后在7~14 d时OD值快速下降,表明SRB开始死亡。由此可见,温度对SRB的生长情况有显著影响,SRB生存的温度范围为20~40 ℃。其中,在20 ℃时SRB活性最差;30 ℃时稳定生长期最长;40 ℃时生长情况最好,但活性时间最短。

图2 SRB在不同温度下南海海泥模拟溶液中的生长曲线
2.2 温度对Ecorr的影响
对X70钢在含SRB的不同温度的海泥溶液中浸泡14 d的Ecorr进行监测,结果见图3。可知,X70钢在不同温度含SRB的海泥溶液中的Ecorr随时间增加总体上均表现为下降趋势,这是由于金属在溶液中不断腐蚀造成的。根据SRB生长曲线,随温度增加,SRB生长活性和数量增加。但随温度增加,Ecorr表现出先降低后增加的趋势。金属的Ecorr反映了其腐蚀的热力学倾向,Ecorr越大腐蚀热力学倾向越小,即耐蚀性越好。因此,X70钢在30 ℃时的腐蚀倾向最大,40 ℃时腐蚀倾向最小。

图3 X70钢在不同温度含SRB的海泥溶液中的Ecorr
2.3 SSRT实验
2.3.1 SSRT曲线
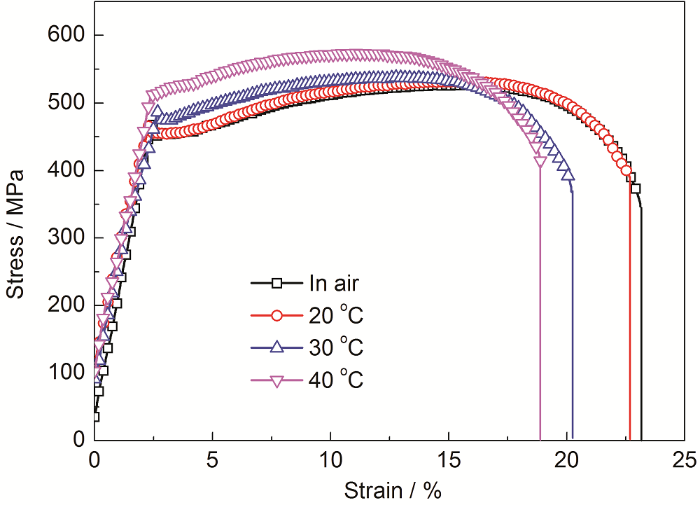
X70管线钢在空气和海泥模拟溶液中不同温度下的SSRT结果如图4所示。断面收缩率、延伸率等应力腐蚀敏感性评价指标随温度变化曲线见图5。可以看出,各温度下试样的应变、断面收缩率和伸长率都明显低于空拉状态的,表明试样在该溶液中存在一定的应力腐蚀敏感性。其中,20 ℃时,X70钢的应力-应变曲线与空拉时相差不多,表明此时X70钢的应力腐蚀行为与空拉接近。由图5可知,试样在40 ℃时断面收缩率和延伸率最小,说明试样在40 ℃条件下SCC敏感性最强;试样在20 ℃时断面收缩率和延伸率最大,说明试样在20 ℃条件下SCC敏感性最弱。在有菌海泥溶液中,X70钢的抗拉强度随温度的升高而增加。

图4 X70钢在不同温度下含SRB海泥模拟溶液中的SSRT曲线

图5 X70钢在不同温度下含SRB海泥模拟溶液中延伸率和断面收缩率的变化
2.3.2 断口形貌
图6是X70钢在有菌的海泥模拟溶液中不同温度下的主断口和断口侧面的SEM像。X70钢在空拉时,主断口微观形貌呈典型的韧窝形貌,具有明显的韧性特征;而侧断口呈现拉伸条纹。当温度为20 ℃时,主断口以浅韧窝为主,但与空拉相比韧窝深度减小,侧断口出现二次裂纹,表明断裂呈现出一定脆性,但仍是以韧性为主的解理性断裂。在30 ℃条件下,主断口的浅韧窝密度与深度均明显减小,并且侧断口面的颈缩部分能观察到明显的较大微裂纹,试样表面有明显的腐蚀坑。在40 ℃条件下,主断口仍以浅韧窝为主,但断口基本呈现出平整的状态,且断口侧面二次裂纹较大,表现出较高的SCC敏感性。故随温度升高,X70钢的SCC敏感性增大。

图6 X70钢在不同温度含SRB海泥溶液中的断口SEM像
3 分析与讨论
在含有SRB的海泥溶液中,SRB的代谢活动产生的阴极去极化作用生成铁的硫化物,再加上细菌体、胞外聚合物 (EPS) 和其他腐蚀产物,形成了微生物腐蚀产物膜,对腐蚀的发生和发展都有影响[18]。在SRB对数生长期,溶液中的SRB迅速在金属表面附着形成微生物膜,但这层膜易脱落,且呈团簇状分布,造成基体表面不均匀,促进局部腐蚀电池的形成;暴露的新鲜金属相对未发生膜破裂的部位是阳极相,电极电位较低,容易发生溶解反应,促进点蚀的形成和发展,并生成腐蚀产物[19]。
随温度增加,SRB活性增加,繁殖速度加快,因此在20 ℃时因其活性较差,金属表面难以形成大面积的生物膜,此时X70钢腐蚀行为主要受溶液中侵蚀性阴离子 (如Cl-) 影响,表现为阳极溶解为主的准解理断裂。随着温度升高到30 ℃,SRB数量增加,金属表面生物膜面积增加,此时在SRB作用下,EPS中的有机酸电离产生H+,与Fe溶解提供的电子相结合得到H原子[20],反应如下:
溶液中的SO42-作为电子受体消耗了阴极电极上的氢,将SO42-还原成S2-:
S2-通过与阳极溶解的Fe2+相互吸附、沉积在电极表面:
这一过程促进了X80钢的阳极溶解反应,从而诱发了点蚀,试样电极表面形成腐蚀坑。FeS腐蚀产物膜相对于X70钢电位较正,在腐蚀原电池中也为阴极。因此,在30 ℃下金属表面阴极面积增加,达到大阴极小阳极的面积比,使X70钢耐蚀性下降,Ecorr达到最小值。此时,在拉应力作用下,点蚀坑成为裂纹萌生处,坑内形成的微裂纹互相连接、聚合,在拉应力的作用下裂纹由金属表面向内部扩展。
当温度增加至40 ℃,SRB数量达到最大值,金属表面能够形成完整的生物膜,对基体起保护作用,Ecorr达到最小值。SRB的生长繁殖由于氢化酶的存在会消耗溶液中的H+,并释放大量的代谢产物H2S[21,22]:
H2S的浓度是影响管线钢SCC的重要环境因素。H2S具有较强渗氢能力,既提高了H的含量,又因为其本身的毒化效果,大大降低了H原子组合为H2的能力,使钢表面的H浓度增加,加速了X70管线钢在海泥模拟溶液中的腐蚀过程。同时由于H进入金属表面,使金属表面性能发生改变,进一步产生了氢损伤。此外,腐蚀产物FeS一般有其自身的缺陷性,且与金属表面的粘合力较小,容易发生氧化,易脱落,连续的塑性变形导致试样表面的生物膜破裂,降低生物膜的保护性,从而促进了H的进入[23]。H一部分合成H2逸出,另一部分通过吸附和去吸附作用进入试样,在发生应力腐蚀时,裂尖氢浓度通常大于基体氢浓度。裂纹内部与金属表面构成浓差电池,促进裂纹尖端阳极快速溶解[24]。在拉应力的作用下蚀坑内基体部分晶界被破坏,晶格发生畸变,微裂纹从蚀坑内萌生,并相互聚合、连接,裂纹逐渐增大扩展[25],最终导致试样断裂。
此外,在有菌海泥溶液中,X70钢的抗拉强度随温度的升高而增加。这与SRB新陈代谢产生的H2S的浓度密切相关。钢中H原子浓度增加能够导致氢致韧性[26],因此随SRB活性增加,X70钢抗拉强度上升。
由此可见,X70管线钢在含有微生物的海泥中的SCC行为与SRB活性密切相关,其机理包括阳极溶解、硫化物SCC和氢致开裂机理 (HIC) 共同作用下的混合断裂,而硫化物SCC的本质也是HIC。20 ℃时,X70钢SCC敏感性最小;30 ℃时其开裂机理为阳极溶解和HIC共同作用下的混合断裂;40 ℃条件下SRB活性最高,存活量最大,代谢产物H2S量最大,因此SCC敏感性最高,其开裂机理为HIC。
4 结论
(1) SRB在海泥中的生长温度范围为20~40 ℃。温度对SRB在对数生长期的活性影响较大,随温度增加,SRB活性增加,数量增大;但温度升高也加速了SRB的死亡。
(2) 随温度增加,SRB在X70钢表面生物膜完整性逐渐增大。30 ℃时,生物膜与新鲜金属表面构成大阴极小阳极腐蚀原电池,使X70钢耐蚀性下降;40 ℃时,金属表面形成较为完整生物膜,X70钢耐蚀性最好。
(3) 20 ℃时,X70钢在含SRB海泥中SCC敏感性最小;30 ℃时其开裂机理为阳极溶解和氢致开裂共同作用下的混合断裂;40 ℃条件下X70钢SCC敏感性最高,其开裂机理为硫化物SCC和氢致开裂机理共同作用下的脆性断裂。
免责声明:本网站所转载的文字、图片与视频资料版权归原创作者所有,如果涉及侵权,请第一时间联系本网删除。
相关文章
无相关信息
官方微信
《中国腐蚀与防护网电子期刊》征订启事
- 投稿联系:编辑部
- 电话:010-62316606-806
- 邮箱:fsfhzy666@163.com
- 中国腐蚀与防护网官方QQ群:140808414
点击排行
PPT新闻
“海洋金属”——钛合金在舰船的
点击数:7204
腐蚀与“海上丝绸之路”
点击数:5800



